Product Images Vylibra

View Photos of Packaging, Labels & Appearance

Product Label Images

The following 8 images provide visual information about the product associated with Vylibra NDC 50102-235 by Afaxys Pharma, Llc, such as packaging, labeling, and the appearance of the drug itself. This resource could be helpful for medical professionals, pharmacists, and patients seeking to verify medication information and ensure they have the correct product.

fig1 - norgestimate fig1

fig1 - norgestimate fig1

fig2 - norgestimate fig2

fig2 - norgestimate fig2

fig3 - norgestimate fig3

fig3 - norgestimate fig3

This appears to be a list of various studies on women's contraceptive use, including the year of the study, whether it was ever use or current use, and some effect estimates. The text is not very clear, but it seems the studies were conducted between 2002 and 2017.*

fig4 - norgestimate fig4

fig4 - norgestimate fig4

This appears to be a chart or table comparing various methods of birth control and their effectiveness, as measured by the number of pregnancies per 100 women in one year. The methods listed include implants, injections, intrauterine devices (IUDs), sterilization, birth control pills, skin patch, vaginal ring with hormones, condoms, diaphragm, no sex during the most fertile days of the monthly cycle, spermicide, and withdrawal. The chart shows that these methods range in effectiveness from fewer than 1 pregnancy per 100 women per year to 1010 pregnancies per 100 women per year, with some methods being more effective than others.*

fig5 - norgestimate fig5

fig5 - norgestimate fig5

This text seems to include a label for a medication package, indicating day labels to be peeled and placed, dosage information, and a color-coding system to differentiate between different types of pills. No other information is available.*

PACKAGE LABEL-PRINCIPAL DISPLAY PANEL - 0.250 mg/0.035 mg Pouch Carton Label - norgestimate fig6

PACKAGE LABEL-PRINCIPAL DISPLAY PANEL - 0.250 mg/0.035 mg Pouch Carton Label - norgestimate fig6

norgestimate fig7

norgestimate fig7

This is a description of a pharmaceutical product with the brand name Afaxys. It contains tablets of Norgestimate and Ethinyl Estradiol, and is manufactured by Aurobindo Pharma Limited in India. The product has an NDC code of 50102-235-11. The rest of the text is not useful or readable.*

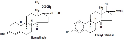
Chemical Structure - norgestimate str

Chemical Structure - norgestimate str

Ethinyl Estradiol is a synthetic hormone used in many hormonal birth control methods. It is a form of estrogen and works by preventing ovulation and thickening cervical mucus to block sperm from reaching an egg. Ethinyl Estradiol is commonly combined with progestin in birth control pills.*

* The product label images have been analyzed using a combination of traditional computing and machine learning techniques. It should be noted that the descriptions provided may not be entirely accurate as they are experimental in nature. Use the information in this page at your own discretion and risk.