Product Images Avastin

View Photos of Packaging, Labels & Appearance

Product Label Images

The following 12 images provide visual information about the product associated with Avastin NDC 50242-061 by Genentech, Inc., such as packaging, labeling, and the appearance of the drug itself. This resource could be helpful for medical professionals, pharmacists, and patients seeking to verify medication information and ensure they have the correct product.

Figure 1 - avastin 01

Figure 1 - avastin 01

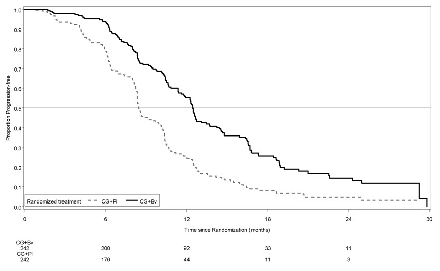
This is a graph showing the duration of survival in months for two groups of patients. The groups are referred to as IFL + Placebo and IFL + Avastin, and the graph shows the number of patients at risk at different time intervals. However, without more context, it is difficult to draw any conclusions.*

Figure 2 - avastin 02

Figure 2 - avastin 02

Figure 3 - avastin 03

Figure 3 - avastin 03

Figure 4 - avastin 04

Figure 4 - avastin 04

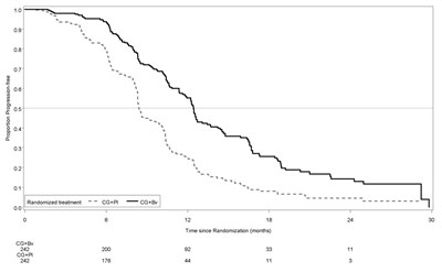
This is a chart displaying the Progression Free Survival rate of two treatments: Placebo + IFN-alfa and Avastin + IFN-affa. The rate is measured in months and ranges from 2 to 49 months for Placebo + IFN-alfa and 8 to 87 months for Avastin + IFN-alfa. The chart also indicates the number of patients who received each treatment (n=322 for Placebo + IFN-alfa and n=327 for Avastin + IFN-alfa).*

Figure 5 - avastin 05

Figure 5 - avastin 05

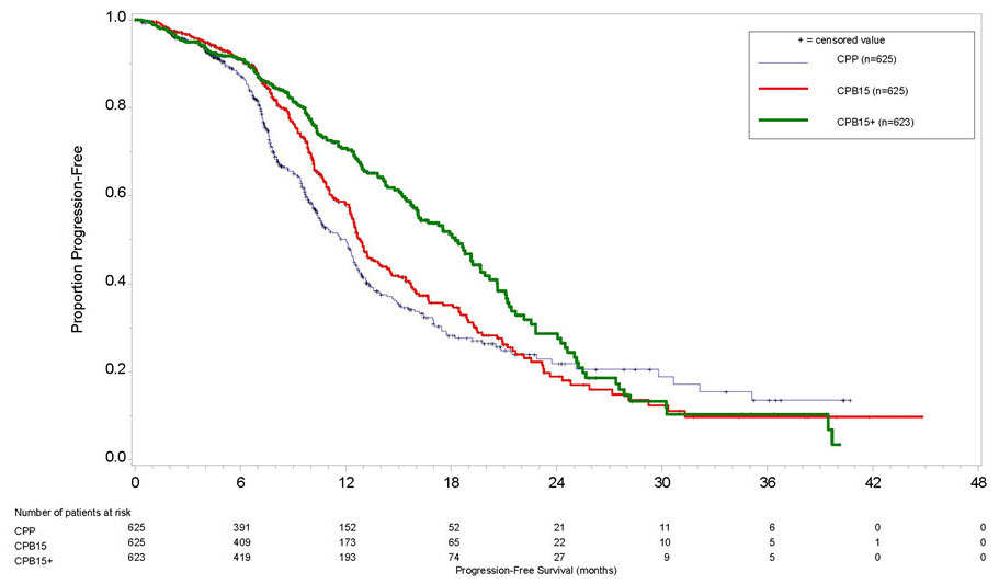
This appears to be a table or graph displaying data on the number of patients at risk and the proportion of overall survival for a treatment group receiving chemotherapy alone versus chemotherapy plus a drug called Bev. However, the text obtained by is not readable and therefore a useful description cannot be generated.*

Figure 6 - avastin 06

Figure 6 - avastin 06

Figure 7 - avastin 07

Figure 7 - avastin 07

Figure 8 - avastin 08

Figure 8 - avastin 08

PRINCIPAL DISPLAY PANEL - 4 mL Vial Carton - avastin 09

PRINCIPAL DISPLAY PANEL - 4 mL Vial Carton - avastin 09

avastin 09a

avastin 09a

This appears to be a chart with data showing the number of patients at risk over time for two treatments, AVASTIN + atezolizumab and Sorafenib. The numbers seem to be split into different time points (months) with a percentage and a count of patients at risk for each. However, the text is not clear in some places, making the information difficult to interpret accurately.*

PRINCIPAL DISPLAY PANEL - 4 mL Vial Carton - avastin 10

PRINCIPAL DISPLAY PANEL - 4 mL Vial Carton - avastin 10

This is a description of Avastin, a medication that comes in a single-dose vial for intravenous use. The NDC (National Drug Code) number is 50242-060-01 and it contains 100 mg/4 mL of bevacizumab. The vial should be discarded after use and it does not contain any preservatives. The lot number for this specific vial is 10213744.*

avastin 11

avastin 11

NDC 50242-061-01 is the code for a single-dose vial of AvastinĀ® (bevacizumab) injection which contains 400 mg/16mL with a strength of 25 mg/mL. This medication is used for intravenous use only and does not contain any preservatives. The product should be used once as it is a single-dose vial and any unused portion should be discarded. The information on the vial includes a unique product identification number (10213746) and the manufacturer's name (Ronly).*

* The product label images have been analyzed using a combination of traditional computing and machine learning techniques. It should be noted that the descriptions provided may not be entirely accurate as they are experimental in nature. Use the information in this page at your own discretion and risk.