Product Images Digoxin
View Photos of Packaging, Labels & Appearance
Product Label Images
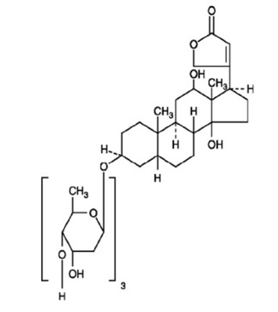
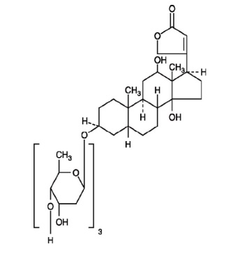
The following 2 images provide visual information about the product associated with Digoxin NDC 50268-238 by Avpak, such as packaging, labeling, and the appearance of the drug itself. This resource could be helpful for medical professionals, pharmacists, and patients seeking to verify medication information and ensure they have the correct product.
x - Label

This is a description of Digoxin tablets, USP, with NDC 50268-238-15. It comes in a pack of 50 tablets (5 X 10) as a unit dose. The text contains information about the prescription status and usage instructions for the medication. The specific dosage and composition details are not clearly readable.*
* The product label images have been analyzed using a combination of traditional computing and machine learning techniques. It should be noted that the descriptions provided may not be entirely accurate as they are experimental in nature. Use the information in this page at your own discretion and risk.