Product Images Metformin Hydrochloride

View Photos of Packaging, Labels & Appearance

Product Label Images

The following 2 images provide visual information about the product associated with Metformin Hydrochloride NDC 50436-0700 by Unit Dose Services, such as packaging, labeling, and the appearance of the drug itself. This resource could be helpful for medical professionals, pharmacists, and patients seeking to verify medication information and ensure they have the correct product.

Label Image - lbl504360700

Label Image - lbl504360700

This is a medication description for Metformin Hydrochloride Extended-Release tablets. It contains 500mg of the active ingredient in each of the 90 tablets in the bottle. The manufacturer is listed as Orj Hetron Proe Horde and the medication is made in Shifazhuang, Hebei, China. There are warnings listed to keep the medication out of reach of children and to store it at room temperature. There is also a note to refer to the dosage information on page SO for dosage instructions.*

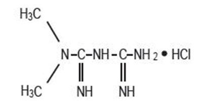
Chemical Structure - metformin 01

Chemical Structure - metformin 01

* The product label images have been analyzed using a combination of traditional computing and machine learning techniques. It should be noted that the descriptions provided may not be entirely accurate as they are experimental in nature. Use the information in this page at your own discretion and risk.