FDA Label for Phentermine Hydrochloride
View Indications, Usage & Precautions
- 1 INDICATIONS AND USAGE
- 2.1 EXOGENOUS OBESITY
- 2.2 DOSAGE IN PATIENTS WITH RENAL IMPAIRMENT
- 3 DOSAGE FORMS AND STRENGTHS
- 4 CONTRAINDICATIONS
- 5.1 COADMINISTRATION WITH OTHER DRUG PRODUCTS FOR WEIGHT LOSS
- 5.2 PRIMARY PULMONARY HYPERTENSION
- 5.3 VALVULAR HEART DISEASE
- 5.4 DEVELOPMENT OF TOLERANCE, DISCONTINUATION IN CASE OF TOLERANCE
- 5.5 EFFECT ON THE ABILITY TO ENGAGE IN POTENTIALLY HAZARDOUS TASKS
- 5.6 RISK OF ABUSE AND DEPENDENCE
- 5.7 USAGE WITH ALCOHOL
- 5.8 USE IN PATIENTS WITH HYPERTENSION
- 5.9 USE IN PATIENTS ON INSULIN OR ORAL HYPOGLYCEMIC MEDICATIONS FOR DIABETES MELLITUS
- 6 ADVERSE REACTIONS
- 7.1 MONOAMINE OXIDASE INHIBITORS
- 7.2 ALCOHOL
- 7.3 INSULIN AND ORAL HYPOGLYCEMIC MEDICATIONS
- 7.4 ADRENERGIC NEURON BLOCKING DRUGS
- 8.1 PREGNANCY
- 8.3 NURSING MOTHERS
- 8.4 PEDIATRIC USE
- 8.5 GERIATRIC USE
- 8.6 RENAL IMPAIRMENT
- 9.1 CONTROLLED SUBSTANCE
- 9.2 ABUSE
- 9.3 DEPENDENCE
- 10 OVERDOSAGE
- 10.1 ACUTE OVERDOSAGE
- 10.2 CHRONIC INTOXICATION
- 11 DESCRIPTION
- 12.1 MECHANISM OF ACTION
- 12.2 PHARMACODYNAMICS
- 12.3 PHARMACOKINETICS
- 13.1 CARCINOGENESIS, MUTAGENESIS, IMPAIRMENT OF FERTILITY
- 14 CLINICAL STUDIES
- 16 HOW SUPPLIED/STORAGE AND HANDLING
- 17 PATIENT COUNCELING INFORMATION
- PACKAGE LABEL.PRINCIPAL DISPLAY PANEL - PHENTERMINE HYDROCHLORIDE CAPSULES, USP 37.5 MG
Phentermine Hydrochloride Product Label
The following document was submitted to the FDA by the labeler of this product Unit Dose Services. The document includes published materials associated whith this product with the essential scientific information about this product as well as other prescribing information. Product labels may durg indications and usage, generic names, contraindications, active ingredients, strength dosage, routes of administration, appearance, warnings, inactive ingredients, etc.
1 Indications And Usage
Phentermine hydrochloride, USP 37.5 mg is indicated as short-term (a few weeks) adjunct in a regimen of weight reduction based on exercise, behavioral modification and caloric restriction in the management of exogenous obesity for patients with an initial body mass index greater than or equal to 30 kg/m 2, or greater than or equal to 27 kg/m 2 in the presence of other risk factors (e.g., controlled hypertension, diabetes, hyperlipidemia).
Below is a chart of Body Mass Index (BMI) based on various heights and weights.
BMI is calculated by taking the patient’s weight, in kilograms (kg), divided by the patient’s height, in meters (m), squared. Metric conversions are as follows: pounds ÷ 2.2 = kg; inches x 0.0254 = meters.
The limited usefulness of agents of this class, including Phentermine hydrochloride, [see CLINICAL PHARMACOLOGY ( 12.1, 12.2) ] should be measured against possible risk factors inherent in their use such as those described below.
2.1 Exogenous Obesity
Dosage should be individualized to obtain an adequate response with the lowest effective dose.
The usual adult dose is one tablet (37.5 mg) or one capsule (37.5 mg) daily, as prescribed by the physician, administered before breakfast or 1 to 2 hours after breakfast. The dosage may be adjusted to the patient’s need. For some patients, half tablet (18.75 mg) daily may be adequate, while in some cases it may be desirable to give half-tablets (18.75 mg) two times a day.
Phentermine is not recommended for use in pediatric patients ≤ 16 years of age.
Late Evening medication should be avoided because of the possibility of resulting insomnia.
2.2 Dosage In Patients With Renal Impairment
The recommended maximum dosage of phentermine hydrochloride is 15 mg daily for patients with severe renal impairments (eGFR 15 to 29 mL/min/1.73 m 2). Avoid use of phentermine hydrochloride in patients with eGFR less than 15 mL/min/1.73 m 2 or end-stage renal disease requiring dialysis [see Use in Specific Populations ( 8.6) and Clinical Pharmacology ( 12.3) ].
3 Dosage Forms And Strengths
Capsules containing 37.5 mg phentermine hydrochloride (equivalent to 30 mg phentermine base).
Tablets containing 37.5 mg phentermine hydrochloride (equivalent to 30 mg phentermine base).
4 Contraindications
- History of cardiovascular disease (e.g., coronary artery disease, stroke, arrhythmias, congestive heart failure, uncontrolled hypertension)
- During or within 14 days following the administration of monoamine oxidase inhibitors
- Hyperthyroidism
- Glaucoma
- Agitated states
- History of drug abuse
- Pregnancy [see Use in Specific Populations ( 8.1) ]
- Nursing [see Use in Specific Populations ( 8.3) ]
- Known hypersensitivity, or idiosyncrasy to the sympathomimetic amines
5.1 Coadministration With Other Drug Products For Weight Loss
Phentermine is indicated only as short-term (a few weeks) monotherapy for the management of exogenous obesity. The safety and efficacy of combination therapy with phentermine and any other drug products for weight loss including prescribed drugs, over-the-counter preparations, and herbal products, or serotonergic agents such as selective serotonin reuptake inhibitors (e.g., fluoxetine, sertraline, fluvoxamine, paroxetine), have not been established. Therefore, coadministration of phentermine and these drug products is not recommended.
5.2 Primary Pulmonary Hypertension
Primary Pulmonary Hypertension (PPH) – a rare, frequently fatal disease of the lungs – has been reported to occur in patients receiving a combination of phentermine with fenfluramine or dexfenfluramine. The possibility of an association between PPH and the use of phentermine alone cannot be ruled out; there have been rare cases of PPH in patients who reportedly have taken phentermine alone. The initial symptom of PPH is usually dyspnea. Other initial symptoms may include angina pectoris, syncope or lower extremity edema. Patients should be advised to report immediately any deterioration in exercise tolerance. Treatment should be discontinued in patients who develop new, unexplained symptoms of dyspnea, angina pectoris, syncope or lower extremity edema, and patients should be evaluated for the possible presence of pulmonary hypertension.
5.3 Valvular Heart Disease
Serious regurgitant cardiac valvular disease, primarily affecting the mitral, aortic and/or tricuspid valves, has been reported in otherwise healthy persons who had taken a combination of phentermine with fenfluramine or dexfenfluramine for weight loss. The possible role of phentermine in the etiology of these valvulopathies has not been established and their course in individuals after the drugs are stopped is not known. The possibility of an association between valvular heart disease and the use of phentermine alone cannot be ruled out; there have been rare cases of valvular heart disease in patients who reportedly have taken phentermine alone.
5.4 Development Of Tolerance, Discontinuation In Case Of Tolerance
When tolerance to the anorectant effect develops, the recommended dose should not be exceeded in an attempt to increase the effect; rather, the drug should be discontinued.
5.5 Effect On The Ability To Engage In Potentially Hazardous Tasks
Phentermine may impair the ability of the patient to engage in potentially hazardous activities such as operating machinery or driving a motor vehicle; the patient should therefore be cautioned accordingly.
5.6 Risk Of Abuse And Dependence
Phentermine is related chemically and pharmacologically to amphetamine (d- and d/l-amphetamine) and to other related stimulant drugs have been extensively abused. The possibility of abuse of phentermine should be kept in mind when evaluating the desirability of including a drug as part of a weight reduction program. See Drug Abuse and Dependence ( 9) and Overdosage ( 10).
The least amount feasible should be prescribed or dispensed at one time in order to minimize the possibility of overdosage.
5.7 Usage With Alcohol
Concomitant use of alcohol with phentermine may result in an adverse drug reaction.
5.8 Use In Patients With Hypertension
Use caution in prescribing phentermine for patients with even mild hypertension (risk of increase in blood pressure).
5.9 Use In Patients On Insulin Or Oral Hypoglycemic Medications For Diabetes Mellitus
A reduction in insulin or oral hypoglycemic medications in patients with diabetes mellitus may be required.
6 Adverse Reactions
The following adverse reactions are described, or described in greater detail, in other section:
- Primary pulmonary hypertension [ see Warnings and Precautions ( 5.2) ]
- Valvular heart disease [ see Warnings and Precautions ( 5.3) ]
- Effect on the ability to engage in potentially hazardous tasks [ see Warnings and Precautions ( 5.5) ]
- Withdrawal effects following prolonged high dosage administration [ seeDrug Abuse and Dependence ( 9.3) ]
The following adverse reactions to phentermine have been identified:
Cardiovascular:
Primary pulmonary hypertension and/or regurgitant cardiac valvular disease, palpitation, tachycardia, elevation of blood pressure, ischemic events.
Central Nervous System:
Overstimulation, restlessness, dizziness, insomnia, euphoria, dysphoria, tremor, headache, psychosis.
Gastrointestinal:
Dryness of the mouth, unpleasant taste, diarrhea, constipation, other gastrointestinal disturbances.
Allergic:
Urticaria.
Endocrine:
Impotence, changes in libido.
7.1 Monoamine Oxidase Inhibitors
Use of phentermine is contraindicated during or within 14 days following the administration of monoamine oxidase inhibitors because of the risk of hypertensive crisis.
7.2 Alcohol
Concomitant use of alcohol with phentermine may result in an adverse drug reaction.
7.3 Insulin And Oral Hypoglycemic Medications
Requirements may be altered [ see Warnings and Precautions ( 5.9)].
7.4 Adrenergic Neuron Blocking Drugs
Phentermine may decrease the hypotensive effect of adrenergic neuron blocking drugs.
8.1 Pregnancy
Pregnancy category X
Phentermine is contraindicated during pregnancy because weight loss offers no potential benefit to a pregnant woman and may result in fetal harm. A minimum weight gain, and no weight loss, is currently recommended for all pregnant women, including those who are already overweight or obese, due to obligatory weight gain that occurs in maternal tissues during pregnancy. Phentermine has pharmacologic activity similar to amphetamine (d- and d/l-amphetamine) [ see Clinical Pharmacology ( 12.1) ]. Animal reproduction studies have not been conducted with phentermine. If this drug is used during pregnancy, or if the patient becomes pregnant while taking this drug, the patient should be apprised of the potential hazard to a fetus.
8.3 Nursing Mothers
It is not known if Phentermine is excreted in human milk; however, other amphetamines are present in human milk. Because of the potential for serious adverse reactions in nursing infants, a decision should be made whether to discontinue nursing or to discontinue the drug, taking into account the importance of the drug to the mother.
8.4 Pediatric Use
Safety and effectiveness in pediatric patients have not been established. Because pediatric obesity is a chronic condition requiring long-term treatment, the use of this product, approved for short-term therapy, is not recommended.
8.5 Geriatric Use
In general, dose selection for an elderly patient should be cautious, usually starting at the low end of the dosing range, reflecting the greater frequency of decreased hepatic, renal, or cardiac function, and of concomitant disease or other drug therapy.
This drug is known to be substantially excreted by the kidney, and the risk of toxic reactions to this drug may be greater in patients with impaired renal function. Because elderly patients are more likely to have decreased renal function, care should be taken in dose selection, and it may be useful to monitor renal function.
8.6 Renal Impairment
Based on the reported excretion of Phentermine in urine, exposure increases can be expected in patients with renal impairment [ see Clinical Pharmacology ( 12.3) ].
Use caution when administering phentermine hydrochloride to patients with renal impairment. In patients with severe renal impairment (eGFR 15 to 29 mL/min/1.73 m 2), limit the dosage of phentermine hydrochloride to 15 mg daily [see Dosage and Administration ( 2.2)]. Phentermine hydrochloride has not been studied in patients with eGFR less than 15 mL/min/1.73 m 2, including end-stage renal disease requiring dialysis; avoid use in these populations.
9.1 Controlled Substance
Phentermine is a Schedule IV controlled substance.
9.2 Abuse
Phentermine is related chemically and pharmacologically to the amphetamines. Amphetamines and other stimulant drugs have been extensively abused and the possibility of abuse of phentermine should be kept in mind when evaluating the desirability of including a drug as part of a weight reduction program.
9.3 Dependence
Abuse of amphetamines and related drugs may be associated with intense psychological dependence and severe social dysfunction. There are reports of patients who have increased the dosage of these drugs to many times that recommended. Abrupt cessation following prolonged high dosage administration results in extreme fatigue and mental depression; changes are also noted on the sleep EEG. Manifestations of chronic intoxication with anorectic drugs include severe dermatoses, marked insomnia, irritability, hyperactivity and personality changes. A severe manifestation of chronic intoxication is psychosis, often clinically indistinguishable from schizophrenia.
10 Overdosage
The least amount feasible should be prescribed or dispensed at one time in order to minimize the possibility of overdosage.
10.1 Acute Overdosage
Manifestations of acute overdosage include restlessness, tremor, hyperreflexia, rapid respiration, confusion, assaultiveness, hallucinations, and panic states. Fatigue and depression usually follow the central stimulation. Cardiovascular effects include tachycardia, arrhythmia, hypertension or hypotension, and circulatory collapse. Gastrointestinal symptoms include nausea, vomiting, diarrhea and abdominal cramps. Overdosage of pharmacologically similar compounds has resulted in fatal poisoning usually terminates in convulsions and coma.
Management of acute phentermine hydrochloride intoxication is largely symptomatic and includes lavage and sedation with a barbiturate. Experience with hemodialysis or peritoneal dialysis is inadequate to permit recommendations in this regard. Acidification of the urine increases phentermine excretion. Intravenous phentolamine (Regitine ®, CIBA) has been suggested on pharmacologic grounds for possible acute, severe hypertension, if this complicates overdosage.
10.2 Chronic Intoxication
Manifestations of chronic intoxication with anorectic drugs include severe dermatoses, marked insomnia, irritability, hyperactivity and personality changes. The most severe manifestation of chronic intoxications is psychosis, often clinically indistinguishable from schizophrenia. See Drug Abuse and Dependence ( 9.3) .
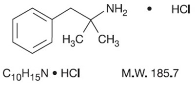
11 Description
Phentermine hydrochloride is a sympathomimetic amine anorectic. Its chemical name is α,α,-dimethylphenethylamine hydrochloride. The structural formula is as follows:
Phentermine hydrochloride is a white, odorless, hygroscopic, crystalline powder which is soluble in water and lower alcohols, slightly soluble in chloroform and insoluble in ether.
Phentermine hydrochloride is available as a capsule and tablet containing 37.5 mg of phentermine hydrochloride (equivalent to 30 mg of phentermine base).
Phentermine hydrochloride capsules, USP contain the inactive ingredients: corn starch, D&C Red #33, FD&C Blue #1, gelatin, lactose monohydrate, magnesium stearate and titanium dioxide.
Phentermine hydrochloride tablets, USP contain the inactive ingredients: corn starch, colloidal silicon dioxide, FD&C blue #1, lactose monohydrate, magnesium stearate, microcrystalline cellulose, stearic acid, and sucrose.
12.1 Mechanism Of Action
Phentermine is a sympathomimetic amine with pharmacologic activity similar to the prototype drugs of this class used in obesity, amphetamine (d- and d/l-amphetamine). Drugs of this class used in obesity are commonly known as “anorectics” or “anorexigenics.” It has not been established that the primary action of such drugs in treating obesity is one of appetite suppression since other central nervous system actions, or metabolic effects, may also be involved.
12.2 Pharmacodynamics
Typical actions of amphetamines include central nervous system stimulation and elevation of blood pressure. Tachyphylaxis and tolerance have been demonstrated with all drugs of this class in which these phenomena have been looked for.
12.3 Pharmacokinetics
Following the administration of Phentermine, Phentermine reaches peak concentrations (C max) after 3 to 4.4 hours.
Drug Interactions
In a single-dose study comparing the exposures after oral administration of a combination capsule of 15 mg Phentermine and 92 mg topiramate to the exposures after oral administration of a 15 mg Phentermine capsule or a 92 mg topiramate capsule, there is no significant topiramate exposure change in the presence of Phentermine. However in the presence of topiramate, Phentermine C max and AUC increase 13% and 42%, respectively.
Specific Populations
Renal Impairment
Cumulative urinary excretion of phentermine under uncontrolled urinary pH conditions was 62% to 85%.
Systemic exposure of phentermine may increase up to 91%, 45%, and 22% in patients with severe, moderate, and mild renal impairment, respectively [see Dosage and Administration ( 2.2) and Use in Specific Populations ( 8.6)].
13.1 Carcinogenesis, Mutagenesis, Impairment Of Fertility
Studies have not been performed with phentermine to determine the potential for carcinogenesis, mutagenesis or impairment of fertility.
14 Clinical Studies
In relatively short-term clinical trials, adult obese subjects instructed in dietary management and treated with “anorectic” drugs lost more weight on the average than those treated with placebo and diet.
The magnitude of increased weight loss of drug-treated patients over placebo-treated patients is only a fraction of a pound a week. The rate of weight loss is greatest in the first weeks of therapy for both drug and placebo subjects and tends to decrease in succeeding weeks. The possible origins of the increased weight loss due to the various drug effects are not established. The amount of weight loss associated with the use of an “anorectic” drug varies from trial to trial, and the increased weight loss appears to be related in part to variables other than the drugs prescribed, such as the physician-investigator, the population treated and the diet prescribed. Studies do not permit conclusions as to the relative importance of the drug and non-drug factors on weight loss.
The natural history of obesity is measured over several years, whereas the studies cited are restricted to a few weeks’ duration; thus, the total impact of drug-induced weight loss over that of diet alone must be considered clinically limited.
16 How Supplied/Storage And Handling
Available in tablets and capsules containing 37.5 mg phentermine hydrochloride (equivalent to 30 mg Phentermine base).
Phentermine hydrochloride capsules, USP 37.5 mg are supplied as bright blue opaque cap, white opaque body with black imprint “K 29” on both the cap and body, filled with powder.
Bottles of 30, NDC 10702-029-03
Bottles of 100, NDC 10702-029-01
Bottles of 1000, NDC 10702-029-10
Phentermine hydrochloride tablets, USP 37.5 mg (equivalent to 30 mg phentermine base), are supplied as blue and white mottled oval tablets debossed “K” left to bisect “25” on one side and plain on the other side.
Bottles of 30, NDC 10702-025-03
Bottles of 100, NDC 10702-025-01
Bottles of 1000, NDC 10702-025-10
Store at 20° to 25°C (68° to 77°F), with excursions permitted between 15° to 30°C (59° to 86°F) [See USP Controlled Room Temperature].
Dispense in a tight, light resistant container as defined in the USP/NF, with a child-resistant closure (as required).
Keep out of the reach of children
17 Patient Counceling Information
Patients must be informed that phentermine hydrochloride is a short-term (a few weeks) adjunct in a regimen of weight reduction based on exercise, behavioral modification and caloric restriction in the management of exogenous obesity, and that coadministration of Phentermine with other drugs for weight loss is not recommended [ see Indications and Usage ( 1) and Warnings and Precautions ( 5) ].
Patients must be instructed on how much phentermine to take, and when and how to take it [ see Dosage and Administration ( 2) ].
Advice pregnant women and nursing mothers not to use phentermine [ see Use in Specific Populations ( 8.1, 8.3) ].
Patients must be informed about the risks of use of phentermine (including the risks discussed in Warnings and Precautions), about the symptoms of potential adverse reactions and when to contact a physician and/or take other action. The risks include, but are not limited to:
- Development of primary pulmonary hypertension [ see Warnings and Precautions ( 5.2) ]
- Development of serious valvular heart disease [ see Warnings and Precautions ( 5.3) ]
- Effects on the ability to engage in potentially hazardous tasks [ see Warnings and Precautions ( 5.5) ]
- The risk of an increase in blood pressure [ see Warnings and Precautions ( 5.8) and Adverse Reactions ( 6) ]
- The risk of interactions [ see Contraindications ( 4), Warnings and Precautions ( 5) and Drug Interactions ( 7) ]
- the potential for developing tolerance and actions if they suspect development of tolerance [ see Warnings and Precautions ( 5.4) ] and
- th risk of dependence and the potential consequences of abuse [ see Warnings and Precautions ( 5.6), Drug Abuse and Dependence ( 9), and Overdosage ( 10)].
See also, for example, Adverse Reactions ( 6) and Use in Specific Populations ( 8) .
The patients must also be informed about
Tell patients to keep phentermine in a safe place to prevent theft, accidental overdose, misuse or abuse. Selling or giving away Phentermine may harm others and is against the law.
Regitine ® is a registered trademark of CIBA PHARMACEUTICAL PRODUCTS, INC.
Manufactured by:
KVK-TECH INC.
110 Terry Drive
Newtown, PA 18940
Item ID # 6071/07 05/2021
Manufacturer’s Code: 10702
Package Label.Principal Display Panel - Phentermine Hydrochloride Capsules, Usp 37.5 Mg
Pack Size: 21s
NDC 50436-2500-1
PHENTERMINE HYDROCHLORIDE CAPSULES, USP
37.5 mg
30 CAPSUL / 21 TAB
Rx Only
* Please review the disclaimer below.



