Product Images Omeprazole

View Photos of Packaging, Labels & Appearance

Product Label Images

The following 2 images provide visual information about the product associated with Omeprazole NDC 51655-061 by Northwind Pharmaceuticals, Llc, such as packaging, labeling, and the appearance of the drug itself. This resource could be helpful for medical professionals, pharmacists, and patients seeking to verify medication information and ensure they have the correct product.

Label - 51655 061 52 Master Bottle Label Approval Rev A 06 20

Label - 51655 061 52 Master Bottle Label Approval   Rev A 06 20

This is a medication called Omeprazole, with a National Drug Code of 51655-061-52. It comes in the form of Delayed-Release Capsules, with 30 capsules per container. Further information is not available.*

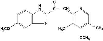
structure - structure

structure - structure

* The product label images have been analyzed using a combination of traditional computing and machine learning techniques. It should be noted that the descriptions provided may not be entirely accurate as they are experimental in nature. Use the information in this page at your own discretion and risk.