Product Images Clonidine Hydrochloride

View Photos of Packaging, Labels & Appearance

Product Label Images

The following 2 images provide visual information about the product associated with Clonidine Hydrochloride NDC 51655-445 by Northwind Pharmaceuticals, such as packaging, labeling, and the appearance of the drug itself. This resource could be helpful for medical professionals, pharmacists, and patients seeking to verify medication information and ensure they have the correct product.

Label - 51655 445 52 Master Bottle Label Approval Rev B 03 22

Label - 51655 445 52 Master Bottle Label Approval   Rev B 03 22

This is a description of Clonidine Hydrochloride tablets, USP with NDC number 51655-445-52. Each tablet contains 0.1 mg of clonidine hydrochloride, which is used to treat high blood pressure. The dosage of the medication should be as per the package insert. The tablets come in a pack of 30 and are for prescription use only. The medication should be stored at a temperature between 20°C - 25°C and kept out of reach of children. The details of the manufacturer, TruPhama, LLC, and Northwind Pharmaceuticals, responsible for repackaging are mentioned, along with the product's lot number, serial number, and expiration date.*

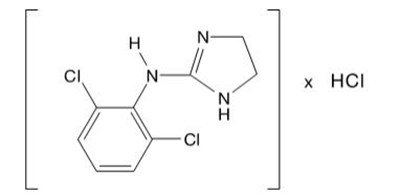
the structural formula for Clonidine hydrochloride is an imidazoline derivative and exists as a mesomeric compound. The chemical name is 2-(2,6-dichlorophenylamino)-2-imidazoline hydrochloride. - clonidine hydrochloride 01

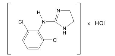
the structural formula for Clonidine hydrochloride is an imidazoline derivative and exists as a mesomeric compound. The chemical name is 2-(2,6-dichlorophenylamino)-2-imidazoline hydrochloride. - clonidine hydrochloride 01

* The product label images have been analyzed using a combination of traditional computing and machine learning techniques. It should be noted that the descriptions provided may not be entirely accurate as they are experimental in nature. Use the information in this page at your own discretion and risk.