Product Images Terconazole

View Photos of Packaging, Labels & Appearance

Product Label Images

The following 6 images provide visual information about the product associated with Terconazole NDC 51672-1302 by Sun Pharmaceutical Industries, Inc., such as packaging, labeling, and the appearance of the drug itself. This resource could be helpful for medical professionals, pharmacists, and patients seeking to verify medication information and ensure they have the correct product.

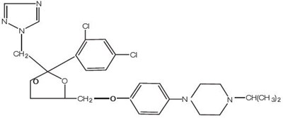
Chemical Structure - terconazole 01

Chemical Structure - terconazole 01

Figure 1 - terconazole 02

Figure 1 - terconazole 02

Figure 2 - terconazole 03

Figure 2 - terconazole 03

Figure 3 - terconazole 04

Figure 3 - terconazole 04

Figure 4 - terconazole 05

Figure 4 - terconazole 05

This appears to be a list of anatomical structures in the pelvic region of the body: the urinary opening, the vagina, and the rectum.*

PRINCIPAL DISPLAY PANEL - 20 g Tube Carton - terconazole 06

PRINCIPAL DISPLAY PANEL - 20 g Tube Carton - terconazole 06

This is a leaflet containing important patent information for a vaginal cream with terconazole 0.8%. It includes instructions for use, storage information, medication precautions, and a warning to keep it out of reach of children. The leaflet also mentions a combined insert for pharmacists and instructions for dispensing prescription medication. Additionally, there are some unreadable characters and a code at the end.*

* The product label images have been analyzed using a combination of traditional computing and machine learning techniques. It should be noted that the descriptions provided may not be entirely accurate as they are experimental in nature. Use the information in this page at your own discretion and risk.