Product Images Naftifine Hydrochloride
View Photos of Packaging, Labels & Appearance
Product Label Images
The following 2 images provide visual information about the product associated with Naftifine Hydrochloride NDC 51672-1362 by Sun Pharmaceutical Industries, Inc., such as packaging, labeling, and the appearance of the drug itself. This resource could be helpful for medical professionals, pharmacists, and patients seeking to verify medication information and ensure they have the correct product.
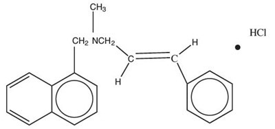
Chemical Structure - naftifine 01

HCl refers to Hydrochloric acid, a strong, highly corrosive acid commonly used in industry and laboratory settings for various applications including pickling and metal cleaning.*
Principal Display Panel - 90 g Tube Carton - naftifine 02

This is a description of a medication called Naftifine Hydrochloride 1% cream. The cream is composed of different ingredients including purified water, sodium, and isopropyl myristate. The cream is used for topical use only and is used on the affected skin area by gently massaging it. The medication must be stored at a controlled room temperature between 5° to 77°F. The packaging contains important prescription information about the proper dosage to be applied to the affected area. The medication should be kept out of the reach of children.*
* The product label images have been analyzed using a combination of traditional computing and machine learning techniques. It should be noted that the descriptions provided may not be entirely accurate as they are experimental in nature. Use the information in this page at your own discretion and risk.