Product Images Levetiracetam

View Photos of Packaging, Labels & Appearance

Product Label Images

The following 12 images provide visual information about the product associated with Levetiracetam NDC 51672-4136 by Taro Pharmaceuticals U.s.a., Inc., such as packaging, labeling, and the appearance of the drug itself. This resource could be helpful for medical professionals, pharmacists, and patients seeking to verify medication information and ensure they have the correct product.

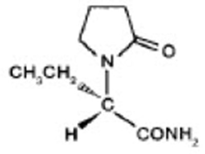
Chemical Structure - levetiracetam 01

Chemical Structure - levetiracetam 01

Figure 1 - levetiracetam 02

Figure 1 - levetiracetam 02

Figure 2 - levetiracetam 03

Figure 2 - levetiracetam 03

This appears to be a chart or a table that compares the effectiveness of a placebo versus two doses of levotiracetam (1000 mg/day and 2000 mg/day) in an unknown study. The rows seem to represent different percentages (35.2% and 6.3%), while the columns may detail the number of patients in each group (N) and may differentiate between the different doses of levotiracetam. Without more context or information, it is difficult to provide a more detailed description.*

Figure 3 - levetiracetam 04

Figure 3 - levetiracetam 04

Figure 4 - levetiracetam 05

Figure 4 - levetiracetam 05

This is a table showing the percentage distribution of patients in a clinical trial between a placebo group (97 patients) and a treatment group taking Levetiracetam (101 patients). However, there is no information regarding what is being studied or what the percentages represent.*

Figure 5 - levetiracetam 06

Figure 5 - levetiracetam 06

This text seems to contain numerical data related to a comparison of placebo and levetiracetam, a medication used to treat seizures. The numbers 19.6% and 431% could represent the effectiveness of the medication in some way, but without additional context, it is impossible to interpret the meaning correctly. The text also indicates that the study had 51 participants in the placebo group and 58 participants in the levetiracetam group.*

Figure 6 - levetiracetam 07

Figure 6 - levetiracetam 07

PRINCIPAL DISPLAY PANEL - 250 mg Tablet Bottle Label - levetiracetam 08

PRINCIPAL DISPLAY PANEL - 250 mg Tablet Bottle Label - levetiracetam 08

This appears to be a collection of drug-related information, including various identification numbers and dosage instructions, as well as a pharmacist's recommendation to store the medication in a tightly sealed, tamper-resistant container. The specific drug being referred to is unclear from this text, however, so further information would be needed to provide a more accurate description.*

PRINCIPAL DISPLAY PANEL - 500 mg Tablet Bottle Label - levetiracetam 09

PRINCIPAL DISPLAY PANEL - 500 mg Tablet Bottle Label - levetiracetam 09

PRINCIPAL DISPLAY PANEL - 750 mg Tablet Bottle Label - levetiracetam 10

PRINCIPAL DISPLAY PANEL - 750 mg Tablet Bottle Label - levetiracetam 10

This is a medication package for Levetiracetam tablets. The package contains 30 tablets of 6° strength, and the pharmacist is advised to dispense it in a light-resistant container with a child-resistant closure. The usual dosage and prescribing information can be found in the package insert. The tablets should be stored at 20°-25°C. The package also includes a medication guide for patients. The tablets are distributed by Taro Pharmaceuticals USA, based in Hawthorne, NY.*

PRINCIPAL DISPLAY PANEL - 1000 mg Tablet Bottle Label - levetiracetam 11

PRINCIPAL DISPLAY PANEL - 1000 mg Tablet Bottle Label - levetiracetam 11

This text is a prescription label for Levetiracetam medication produced by Taro Pharmaceutical Industries Limited and distributed by Taro Pharmaceuticals USA. It advises to dispense the medication in a tightly sealed container with a child-resistant closure and to store it at a temperature between 20°C-25°C. The label also indicates that the usual dosage should be determined by the package insert and full prescribing information.*

PRINCIPAL DISPLAY PANEL - 473 mL Bottle Label - levetiracetam 12

PRINCIPAL DISPLAY PANEL - 473 mL Bottle Label - levetiracetam 12

This is a medication called Levetiracetam Oral Solution, USP designed for prescription use only. The usual dosage information is available in the package insert. The medication guide is required for each patient. It should be stored in a light-resistant and child-resistant container at a controlled room temperature of 20°-25°C (68°77°F). The medication is manufactured by Taro Pharmaceuticals Industries Ltd in Israel, and it is distributed by Taro Pharmaceuticals U.S.A., Inc. The trademark of the product is TARO.*

* The product label images have been analyzed using a combination of traditional computing and machine learning techniques. It should be noted that the descriptions provided may not be entirely accurate as they are experimental in nature. Use the information in this page at your own discretion and risk.