FDA Label for Meclizine Hydrochloride
View Indications, Usage & Precautions
- DESCRIPTION
- CLINICAL PHARMACOLOGY
- PHARMACOKINETICS
- ABSORPTION
- DISTRIBUTION
- METABOLISM
- ELIMINATION
- INDICATIONS AND USAGE
- CONTRAINDICATIONS
- WARNINGS
- PEDIATRIC USE
- PREGNANCY CATEGORY B
- NURSING MOTHERS
- HEPATIC IMPAIRMENT
- RENAL IMPAIRMENT
- DRUG INTERACTIONS
- ADVERSE REACTIONS
- DOSAGE AND ADMINISTRATION
- HOW SUPPLIED
- STORAGE AND HANDLING
- OTHER
- PRINCIPAL DISPLAY PANEL - 12.5 MG TABLET BOTTLE LABEL
- PRINCIPAL DISPLAY PANEL - 25 MG TABLET BOTTLE LABEL
- PRINCIPAL DISPLAY PANEL - 50 MG TABLET BOTTLE LABEL
Meclizine Hydrochloride Product Label
The following document was submitted to the FDA by the labeler of this product Wilshire Pharmaceuticals Inc. The document includes published materials associated whith this product with the essential scientific information about this product as well as other prescribing information. Product labels may durg indications and usage, generic names, contraindications, active ingredients, strength dosage, routes of administration, appearance, warnings, inactive ingredients, etc.
Description
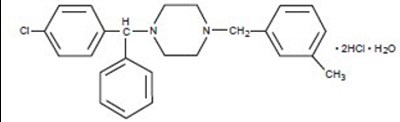
Meclizine hydrochloride, an oral antiemetic, is a white, slightly yellowish, crystalline powder which has a slight odor and is tasteless. It has the following structural formula:
Chemically, Meclizine hydrochloride, USP, is 1-(p-chloro-α-phenylbenzyl)-4-(m-methylbenzyl) piperazine dihydrochloride monohydrate.
Inert ingredients for the tablets are: colloidal silicon dioxide; lactose monohydrate; magnesium stearate; microcrystalline cellulose; sodium starch glycolate; corn starch; FD&C Red # 40.
Each Meclizine hydrochloride 12.5 mg tablet contains 12.5 mg of meclizine dihydrochloride equivalent to 10.53 mg of meclizine free base.
Each Meclizine hydrochloride 25 mg tablet contains 25 mg of meclizine dihydrochloride equivalent to 21.07 mg of meclizine free base.
Each Meclizine hydrochloride 50 mg tablet contains 50 mg of meclizine dihydrochloride equivalent to 42.14 mg of meclizine free base.
Clinical Pharmacology
Meclizine hydrochloride is an antihistamine that shows marked protective activity against nebulized histamine and lethal doses of intravenously injected histamine in guinea pigs. It has a marked effect in blocking the vasodepressor response to histamine, but only a slight blocking action against acetylcholine. Its activity is relatively weak in inhibiting the spasmogenic action of histamine on isolated guinea pig ileum.
Pharmacokinetics
The available pharmacokinetic information for Meclizine hydrochloride following oral administration has been summarized from published literature.
Absorption
Meclizine is absorbed after oral administration with maximum plasma concentrations reaching at a median Tmax value of 3 hours post-dose (range: 1.5 to 6 hours) for the tablet dosage form.
Distribution
Drug distribution characteristics for meclizine in humans are unknown.
Metabolism
The metabolic fate of meclizine in humans is unknown. In an in vitro metabolic study using human hepatic microsome and recombinant CYP enzyme, CYP2D6 was found to be the dominant enzyme for metabolism of meclizine.
The genetic polymorphism of CYP2D6 that results in extensive-, poor-, intermediate- and ultrarapid metabolizer phenotypes could contribute to large inter-individual variability in meclizine exposure.
Elimination
Meclizine has a plasma elimination half-life of about 5-6 hours in humans.
Indications And Usage
Meclizine hydrochloride tablets are indicated for the treatment of vertigo associated with diseases affecting the vestibular system.
Contraindications
Meclizine hydrochloride is contraindicated in individuals who have shown a previous hypersensitivity to it.
Warnings
Since drowsiness may, on occasion, occur with use of this drug, patients should be warned of this possibility and cautioned against driving a car or operating dangerous machinery.
Patients should avoid alcoholic beverages while taking this drug.
Due to its potential anticholinergic action, this drug should be used with caution in patients with asthma, glaucoma, or enlargement of the prostate gland.
Pediatric Use
Clinical studies establishing safety and effectiveness in children have not been done; therefore, usage is not recommended in children under 12 years of age.
Pregnancy Category B
Reproduction studies in rats have shown cleft palates at 25-50 times the human dose. Epidemiological studies in pregnant women, however, do not indicate that meclizine increases the risk of abnormalities when administered during pregnancy. Despite the animal findings, it would appear that the possibility of fetal harm is remote. Nevertheless, meclizine, or any other medication, should be used during pregnancy only if clearly necessary.
Nursing Mothers
It is not known whether this drug is excreted in human milk. Because many drugs are excreted in human milk, caution should be exercised when meclizine is administered to a nursing woman.
Hepatic Impairment
The effect of hepatic impairment on the pharmacokinetics of meclizine has not been evaluated. As meclizine undergoes metabolism, hepatic impairment may result in increased systemic exposure of the drug. Treatment with meclizine should be administered with caution in patients with hepatic impairment.
Renal Impairment
The effect of renal impairment on the pharmacokinetics of meclizine has not been evaluated. Due to a potential for drug/metabolite accumulation, meclizine should be administered with caution in patients with renal impairment and in the elderly as renal function generally declines with age.
Drug Interactions
There may be increased CNS depression when meclizine is administered concurrently with other CNS depressants, including alcohol, tranquilizers, and sedatives. (see WARNINGS)
Based on in-vitro evaluation, meclizine is metabolized by CYP2D6. Therefore there is a possibility for a drug interaction between meclizine and CYP2D6 inhibitors.
Adverse Reactions
Anaphylactoid reaction, drowsiness, dry mouth, headache, fatigue, vomiting and, on rare occasions, blurred vision have been reported.
To report SUSPECTED ADVERSE REACTIONS, contact Wilshire Pharmaceuticals, Inc. at 1-877-495-6856 or FDA at 1-800 -FDA- 1088 or www.fda.gov/medwatch.
Dosage And Administration
The recommended dosage is 25 mg to 100 mg daily administered orally, in divided dosage, depending upon clinical response.
How Supplied
Meclizine Hydrochloride Tablets, USP 12.5 mg - Pink mottled, round shaped, biconvex tablets, debossed with 'I50' on one side and plain on other side.
Tablets are supplied as: Bottle of 100 (NDC 52536-129-01) and Bottle of 1000 (NDC 52536-129-10).
Meclizine Hydrochloride Tablets, USP 25 mg - Pink mottled, round shaped, biconvex tablets, debossed with 'I60' on one side and plain on other side.
Tablets are supplied as: Bottle of 100 (NDC 52536-133-01) and Bottle of 1000 (NDC 52536-133-10).
Meclizine Hydrochloride Tablets, USP 50 mg - Pink mottled, oval shaped, biconvex tablets, debossed with 'I171' on one side and partial breakline on other side.
Tablets are supplied as: Bottle of 100 (NDC 52536-137-01) and Bottle of 1000 (NDC 52536-137-10).
Storage And Handling
Store between 20°C and 25°C (68°F and 77°F); excursions permitted between 15°C and 30°C (59°F and 86°F) [see USP Controlled Room Temperature].
Dispensed in tight, light-resistant containers (USP).
Keep this and all medication out of the reach of children.
Other
Rx only
Manufactured for:
Wilshire Pharmaceuticals, Inc.
Atlanta, GA 30328
Product of India
Rev. 03/2019
MEC-PI-01
Principal Display Panel - 12.5 Mg Tablet Bottle Label
NDC 52536-129-01
Meclizine HCl
Tablets, USP
12.5 mg
Rx Only
100 Tablets
WILSHIRE®
PHARMACEUTICALS, INC
Principal Display Panel - 25 Mg Tablet Bottle Label
NDC 52536-133-01
Meclizine HCl
Tablets, USP
25 mg
Rx Only
100 Tablets
Mfd. for: Wilshire Pharmaceuticals, Inc.,
Atlanta, GA 30328
Principal Display Panel - 50 Mg Tablet Bottle Label
NDC 52536-137-01
Meclizine HCl
Tablets, USP
50 mg
Rx Only
100 Tablets
Mfd. for: Wilshire Pharmaceuticals, Inc.,
Atlanta, GA 30328
* Please review the disclaimer below.



