Product Images Cefotan
View Photos of Packaging, Labels & Appearance
Product Label Images
The following 3 images provide visual information about the product associated with Cefotan NDC 52565-052 by Teligent Pharma, Inc., such as packaging, labeling, and the appearance of the drug itself. This resource could be helpful for medical professionals, pharmacists, and patients seeking to verify medication information and ensure they have the correct product.
2 gram carton PDP - Cefotan 2 g carton

Not available. The text contains only letters, symbols and numbers without forming a coherent description.*
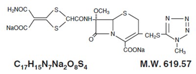
cefotetan-structure - cefotetan for injection, usp figure 1 cefotetan structure

This seems to be a chemical formula for a compound named "Loona". It includes the elements Carbon, Nitrogen, Hydrogen, Sodium, and Oxygen. The formula reads "Cy7HisN;Na,048", with a molecular weight of 619.57. Without further context, it is impossible to provide more information about the compound.*
* The product label images have been analyzed using a combination of traditional computing and machine learning techniques. It should be noted that the descriptions provided may not be entirely accurate as they are experimental in nature. Use the information in this page at your own discretion and risk.