Product Images Meclizine Hydrochloride

View Photos of Packaging, Labels & Appearance

Product Label Images

The following 2 images provide visual information about the product associated with Meclizine Hydrochloride NDC 52959-033 by H.j. Harkins Company, Inc., such as packaging, labeling, and the appearance of the drug itself. This resource could be helpful for medical professionals, pharmacists, and patients seeking to verify medication information and ensure they have the correct product.

100 Counts of 25mg Tablets - Meclizine 121

100 Counts of 25mg Tablets - Meclizine 121

This is a description of a medication named Meclizine HCL in tablet form. The medication comes in a yellow color and it's to be taken as directed by a doctor or by checking the usual dosage information provided. The manufacturer of the medicine is JUBILANT and it compares to the drug Antivert RX. The lot number is MZ243P, and it has an expiry date of 10/10. The location of manufacturing is Salisbury, MD. However, there is some unclear text, so some information may not be available.*

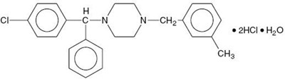
Structure of Meclizine HCl - Structure Meclizine HCl

Structure of Meclizine HCl - Structure Meclizine HCl

* The product label images have been analyzed using a combination of traditional computing and machine learning techniques. It should be noted that the descriptions provided may not be entirely accurate as they are experimental in nature. Use the information in this page at your own discretion and risk.