Product Images Clindamycin Hydrochloride

View Photos of Packaging, Labels & Appearance

Product Label Images

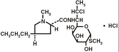
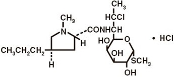
The following 2 images provide visual information about the product associated with Clindamycin Hydrochloride NDC 53002-0622 by Rpk Pharmaceuticals, Inc., such as packaging, labeling, and the appearance of the drug itself. This resource could be helpful for medical professionals, pharmacists, and patients seeking to verify medication information and ensure they have the correct product.

structure - clindamycinhclstructure

structure - clindamycinhclstructure

Label Image - lbl530020622

Label Image - lbl530020622