Product Images Reclipsen 28 Day

View Photos of Packaging, Labels & Appearance

Product Label Images

The following 5 images provide visual information about the product associated with Reclipsen 28 Day NDC 53002-1631 by Rpk Pharmaceuticals, Inc., such as packaging, labeling, and the appearance of the drug itself. This resource could be helpful for medical professionals, pharmacists, and patients seeking to verify medication information and ensure they have the correct product.

Label Image - lbl530021631

Label Image - lbl530021631

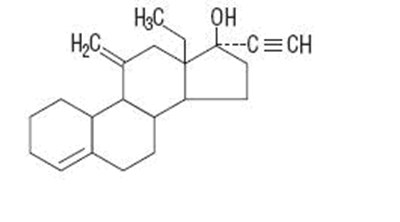
reclipsen 28 day desogestrel and ethinyl estradiol 1

reclipsen 28 day desogestrel and ethinyl estradiol 1

reclipsen 28 day desogestrel and ethinyl estradiol 2

reclipsen 28 day desogestrel and ethinyl estradiol 2

reclipsen 28 day desogestrel and ethinyl estradiol 3

reclipsen 28 day desogestrel and ethinyl estradiol 3

reclipsen 28 day desogestrel and ethinyl estradiol 4

reclipsen 28 day desogestrel and ethinyl estradiol 4