Product Images Fluoxetine

View Photos of Packaging, Labels & Appearance

Product Label Images

The following 3 images provide visual information about the product associated with Fluoxetine NDC 53002-2305 by Rpk Pharmaceuticals, Inc., such as packaging, labeling, and the appearance of the drug itself. This resource could be helpful for medical professionals, pharmacists, and patients seeking to verify medication information and ensure they have the correct product.

50111064701

50111064701

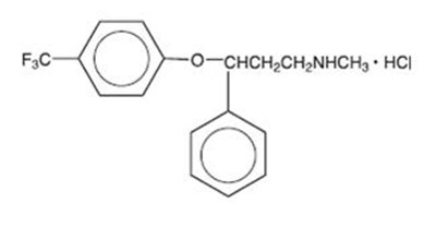
chem structure - fluoxetine capsule 076001 1

chem structure - fluoxetine capsule 076001 1

Label Image - lbl530022305

Label Image - lbl530022305