Product Images Lurasidone Hydrochloride

View Photos of Packaging, Labels & Appearance

Product Label Images

The following 9 images provide visual information about the product associated with Lurasidone Hydrochloride NDC 53746-882 by Amneal Pharmaceuticals Of New York Llc, such as packaging, labeling, and the appearance of the drug itself. This resource could be helpful for medical professionals, pharmacists, and patients seeking to verify medication information and ensure they have the correct product.

10 - lurasidone hydrochloride tablets 1

10 - lurasidone hydrochloride tablets 1

1 - lurasidone hydrochloride tablets 2

1 - lurasidone hydrochloride tablets 2

This provided text outlines information related to drug interactions involving Lurasidone, a medication affected by certain inhibitors and inducers of the CYP3A4 enzyme, along with the impact of other drugs on its pharmacokinetics (PK). Specific drugs mentioned include Ketoconazole as a strong CYP3A4 inhibitor, Diltiazem as a moderate CYP3A4 inhibitor, and Rifampin as a strong CYP3A4 inducer. The text also briefly mentions the effect on parameters like Cmax and AUC, providing a basis for evaluating the impact of these drug interactions on Lurasidone's PK profile.*

2 - lurasidone hydrochloride tablets 3

2 - lurasidone hydrochloride tablets 3

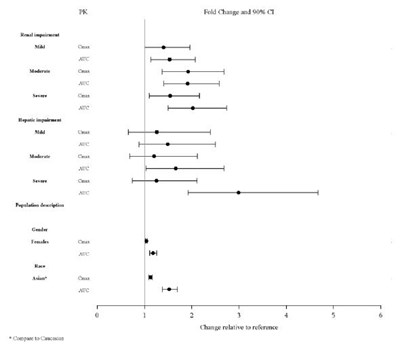
This text seems to include information about interacting drugs, substrates, and contraceptive medications such as Digonin, CYPIAL substrates, Actan, and Norcgestromin. The text also mentions dosages and percentages related to drug interactions. It suggests the comparison of fold change and confidence intervals when in combination with other drugs.*

3 - lurasidone hydrochloride tablets 4

3 - lurasidone hydrochloride tablets 4

20 mg label - lurasidone hydrochloride tablets 5

20 mg label - lurasidone hydrochloride tablets 5

This is a medication guide for Lurasidone Hydrochloride Tablets. The guide provides information such as the National Drug Code (NDC) 53746-879-30, instructions for use, and a reminder to pharmacists to dispense the Medication Guide to each patient. It is important for healthcare professionals to follow the instructions provided to ensure proper use of the medication.*

40 mg label - lurasidone hydrochloride tablets 6

40 mg label - lurasidone hydrochloride tablets 6

60 mg label - lurasidone hydrochloride tablets 7

60 mg label - lurasidone hydrochloride tablets 7

80 mg label - lurasidone hydrochloride tablets 8

80 mg label - lurasidone hydrochloride tablets 8

120 mg label - lurasidone hydrochloride tablets 9

120 mg label - lurasidone hydrochloride tablets 9

* The product label images have been analyzed using a combination of traditional computing and machine learning techniques. It should be noted that the descriptions provided may not be entirely accurate as they are experimental in nature. Use the information in this page at your own discretion and risk.