Product Images Tamsulosin Hydrochloride

View Photos of Packaging, Labels & Appearance

Product Label Images

The following 7 images provide visual information about the product associated with Tamsulosin Hydrochloride NDC 53808-0691 by State Of Florida Doh Central Pharmacy, such as packaging, labeling, and the appearance of the drug itself. This resource could be helpful for medical professionals, pharmacists, and patients seeking to verify medication information and ensure they have the correct product.

Label Image for 0.4mg - Tamsulosin HCL 0.4MG

Label Image for 0.4mg - Tamsulosin HCL 0.4MG

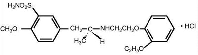
structured formula for tamsulosin - tamsulosinhydrochloride1 figure 01

structured formula for tamsulosin - tamsulosinhydrochloride1 figure 01

structured formula for tamsulosin - tamsulosinhydrochloride1 figure 02

structured formula for tamsulosin - tamsulosinhydrochloride1 figure 02

structured formula for tamsulosin - tamsulosinhydrochloride1 figure 03

structured formula for tamsulosin - tamsulosinhydrochloride1 figure 03

This text appears to be a table or chart, showing different treatments and their effects on "mean change" over a duration of treatment in weeks. The treatments listed are "©-0-008mg A A-pOim" and "Placebo". However, the table may contain errors or inconsistencies as some characters are not readable due to the process. Therefore, a clear and useful description cannot be provided.*

structured formula for tamsulosin - tamsulosinhydrochloride1 figure 04

structured formula for tamsulosin - tamsulosinhydrochloride1 figure 04

structured formula for tamsulosin - tamsulosinhydrochloride1 figure 05

structured formula for tamsulosin - tamsulosinhydrochloride1 figure 05

This appears to be a document related to medical treatment, with a section for recording the duration of treatment in weeks. However, the rest of the text is not legible due to errors from .*

structured formula for tamsulosin - tamsulosinhydrochloride1 figure 06

structured formula for tamsulosin - tamsulosinhydrochloride1 figure 06

This appears to be a table or chart with headings and data on the topic of "Treatment". The first column appears to be labeled "Duration of Treatment (weeks)" with numerical values likely indicating how long the treatment lasts. The remaining columns contain unclear symbols and words that are not recognizable as English. Therefore, it is not possible to provide a useful description.*

* The product label images have been analyzed using a combination of traditional computing and machine learning techniques. It should be noted that the descriptions provided may not be entirely accurate as they are experimental in nature. Use the information in this page at your own discretion and risk.