Product Images Omeprazole

View Photos of Packaging, Labels & Appearance

Product Label Images

The following 2 images provide visual information about the product associated with Omeprazole NDC 53808-0746 by State Of Florida Doh Central Pharmacy, such as packaging, labeling, and the appearance of the drug itself. This resource could be helpful for medical professionals, pharmacists, and patients seeking to verify medication information and ensure they have the correct product.

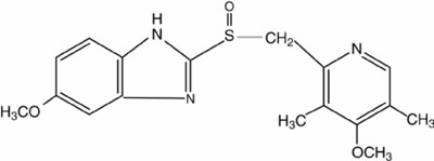
Structural Formula - 44260509 a91c 4906 bcc7 4eb5d3465ded 01

Structural Formula - 44260509 a91c 4906 bcc7 4eb5d3465ded 01

Omeprazole Delayed-Release Capsules 20 mg - Omeprazole DR 20mg(Mylan)

Omeprazole Delayed-Release Capsules 20 mg - Omeprazole DR 20mg(Mylan)