Product Images Epipen
View Photos of Packaging, Labels & Appearance
Product Label Images
The following 11 images provide visual information about the product associated with Epipen NDC 54868-2804 by Physicians Total Care, Inc., such as packaging, labeling, and the appearance of the drug itself. This resource could be helpful for medical professionals, pharmacists, and patients seeking to verify medication information and ensure they have the correct product.
image of 0.3 mg package label - 2804

This appears to be a label or record of a medical product distributed by Physicians Total Care, with the specific product being an EpiPen auto-injector with a strength of 1:1600. The lot number is "8ggee" and the expiration date is "61760." However, the last line of text is not clear and may not be relevant to the product information.*
image of 0.15 mg package label - 4819

This is a product label for an Epipen Jr with a strength of 8.15 mg and concentration of 1:2068 ml. This specific product has a lot number and expiration date listed. The distributor listed is Physicians Total Care.*
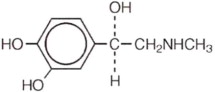
Figure - epi00 0006 09

This text seems to be a form to join the "EpiPen Center for Anaphylactic Support" and register for a program that sends reminders to purchase new EpiPen Auto-injectors. The program is free and requires the person to register their EpiPen and email address, and then they will receive reminders when it's time to update their injector. The form also includes questions about allergies for the person registering. The location or context in which this form was obtained is not-available.*
* The product label images have been analyzed using a combination of traditional computing and machine learning techniques. It should be noted that the descriptions provided may not be entirely accurate as they are experimental in nature. Use the information in this page at your own discretion and risk.