Product Images Gabapentin

View Photos of Packaging, Labels & Appearance

Product Label Images

The following 8 images provide visual information about the product associated with Gabapentin NDC 54868-5219 by Physicians Total Care, Inc., such as packaging, labeling, and the appearance of the drug itself. This resource could be helpful for medical professionals, pharmacists, and patients seeking to verify medication information and ensure they have the correct product.

image of 600 mg package label - 600mg package label

image of 600 mg package label - 600mg package label

The text appears to be a partial label of a medicine container. It shows that the medicine is gabapentin with a strength of 600 mg and comes in a package of 20 tablets. The name "PHYSICIANS TOTAL CARE" suggests that it is the name of the company that manufactures the drug or is responsible for delivering it to the market. The last word "eye" does not seem to be relevant to the medication description.*

image of 800 mg package label - 800mg package label

image of 800 mg package label - 800mg package label

Gabapentin 800 mg is a medication presented in a package of 60 tablets. It is produced by Physicians Total CareĀ®.*

image of figure 1 - Figure 1

image of figure 1 - Figure 1

image of figure 2 - Figure 2

image of figure 2 - Figure 2

image of figure 3 - Figure 3

image of figure 3 - Figure 3

image of figure 4 - Figure 4

image of figure 4 - Figure 4

image of Glenmark logo - Glenmark logo

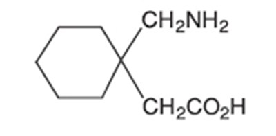
image of chemical structure - chemical structure

image of chemical structure - chemical structure

* The product label images have been analyzed using a combination of traditional computing and machine learning techniques. It should be noted that the descriptions provided may not be entirely accurate as they are experimental in nature. Use the information in this page at your own discretion and risk.