FDA Label for Ambien Cr
View Indications, Usage & Precautions
- 1 INDICATIONS AND USAGE
- 2 DOSAGE AND ADMINISTRATION
- 2.1 DOSAGE IN ADULTS
- 2.2 SPECIAL POPULATIONS
- 2.3 USE WITH CNS DEPRESSANTS
- 2.4 ADMINISTRATION
- 3 DOSAGE FORMS AND STRENGTHS
- 4 CONTRAINDICATIONS
- 5.1 NEED TO EVALUATE FOR CO-MORBID DIAGNOSES
- 5.2 SEVERE ANAPHYLACTIC AND ANAPHYLACTOID REACTIONS
- 5.3 ABNORMAL THINKING AND BEHAVIORAL CHANGES
- 5.4 WITHDRAWAL EFFECTS
- 5.5 CNS DEPRESSANT EFFECTS
- 6 ADVERSE REACTIONS
- 7.1 CNS-ACTIVE DRUGS
- 7.2 DRUGS THAT AFFECT DRUG METABOLISM VIA CYTOCHROME P450
- 7.3 OTHER DRUGS WITH NO INTERACTION WITH ZOLPIDEM
- 7.4 DRUG-LABORATORY TEST INTERACTIONS
- OTHER
- 8.2 LABOR AND DELIVERY
- 8.3 NURSING MOTHERS
- 8.4 PEDIATRIC USE
- 8.5 GERIATRIC USE
- 9.1 CONTROLLED SUBSTANCE
- 9.2 ABUSE
- 9.3 DEPENDENCE
- 10.1 SIGNS AND SYMPTOMS
- 10.2 RECOMMENDED TREATMENT
- 11 DESCRIPTION
- 12.1 MECHANISM OF ACTION
- 12.3 PHARMACOKINETICS
- 14.1 CONTROLLED CLINICAL TRIALS
- 16 HOW SUPPLIED/STORAGE AND HANDLING
- 17 PATIENT COUNSELING INFORMATION
- 17.1 SEVERE ANAPHYLACTIC AND ANAPHYLACTOID REACTIONS
- 17.2 SLEEP-DRIVING AND OTHER COMPLEX BEHAVIORS
- 17.3 ADMINISTRATION INSTRUCTIONS
- BOXED WARNING
Ambien Cr Product Label
The following document was submitted to the FDA by the labeler of this product Physicians Total Care, Inc.. The document includes published materials associated whith this product with the essential scientific information about this product as well as other prescribing information. Product labels may durg indications and usage, generic names, contraindications, active ingredients, strength dosage, routes of administration, appearance, warnings, inactive ingredients, etc.
1 Indications And Usage
Ambien CR (zolpidem tartrate extended-release tablets) is indicated for the treatment of insomnia characterized by difficulties with sleep onset and/or sleep maintenance (as measured by wake time after sleep onset).
The clinical trials performed in support of efficacy were up to 3 weeks (using polysomnography measurement up to 2 weeks in both adult and elderly patients) and 24 weeks (using patient-reported assessment in adult patients only) in duration [see Clinical Studies (14)].
2 Dosage And Administration
The dose of Ambien CR should be individualized.
2.1 Dosage In Adults
The recommended dose of Ambien CR for adults is 12.5 mg once daily immediately before bedtime. The total Ambien CR dose should not exceed 12.5 mg per day.
2.2 Special Populations
Elderly or debilitated patients may be especially sensitive to the effects of zolpidem tartrate. Patients with hepatic insufficiency do not clear the drug as rapidly as normals. The recommended dose of Ambien CR in both of these patient populations is 6.25 mg once daily immediately before bedtime [see Warnings and Precautions (5.6)].
2.3 Use With Cns Depressants
Dosage adjustments may be necessary when Ambien CR is combined with other CNS depressant drugs because of the potentially additive effects [see Warnings and Precautions (5.5)].
2.4 Administration
Ambien CR extended-release tablets should be swallowed whole, and not be divided, crushed, or chewed. The effect of Ambien CR may be slowed by ingestion with or immediately after a meal.
3 Dosage Forms And Strengths
Ambien CR is available as extended-release tablets containing 6.25 mg or 12.5 mg of zolpidem tartrate for oral administration. Tablets are not scored.
Ambien CR 6.25 mg tablets are pink, round, bi-convex, and debossed with A~ on one side.
Ambien CR 12.5 mg tablets are blue, round, bi-convex, and debossed with A~ on one side.
4 Contraindications
Ambien CR is contraindicated in patients with known hypersensitivity to zolpidem tartrate or to any of the inactive ingredients in the formulation. Observed reactions include anaphylaxis and angioedema [see Warnings and Precautions (5.2)].
5.1 Need To Evaluate For Co-Morbid Diagnoses
Because sleep disturbances may be the presenting manifestation of a physical and/or psychiatric disorder, symptomatic treatment of insomnia should be initiated only after a careful evaluation of the patient. The failure of insomnia to remit after 7 to 10 days of treatment may indicate the presence of a primary psychiatric and/or medical illness that should be evaluated. Worsening of insomnia or the emergence of new thinking or behavior abnormalities may be the consequence of an unrecognized psychiatric or physical disorder. Such findings have emerged during the course of treatment with sedative/hypnotic drugs, including zolpidem.
5.2 Severe Anaphylactic And Anaphylactoid Reactions
Rare cases of angioedema involving the tongue, glottis or larynx have been reported in patients after taking the first or subsequent doses of sedative-hypnotics, including zolpidem. Some patients have had additional symptoms such as dyspnea, throat closing or nausea and vomiting that suggest anaphylaxis. Some patients have required medical therapy in the emergency department. If angioedema involves the throat, glottis or larynx, airway obstruction may occur and be fatal. Patients who develop angioedema after treatment with zolpidem should not be rechallenged with the drug.
5.3 Abnormal Thinking And Behavioral Changes
A variety of abnormal thinking and behavior changes have been reported to occur in association with the use of sedative/hypnotics. Some of these changes may be characterized by decreased inhibition (e.g. aggressiveness and extroversion that seemed out of character), similar to effects produced by alcohol and other CNS depressants. Visual and auditory hallucinations have been reported as well as behavioral changes such as bizarre behavior, agitation and depersonalization. In controlled trials, <1% of adults with insomnia who received zolpidem reported hallucinations. In a clinical trial, 7.4% of pediatric patients with insomnia associated with attention-deficit/hyperactivity disorder (ADHD), who received zolpidem reported hallucinations [see Use in Specific Populations (8.4)].
Complex behaviors such as "sleep-driving" (i.e., driving while not fully awake after ingestion of a sedative-hypnotic, with amnesia for the event) have been reported with sedative-hypnotics, including zolpidem. These events can occur in sedative-hypnotic-naive as well as in sedative-hypnotic-experienced persons. Although behaviors such as "sleep-driving" may occur with Ambien CR alone at therapeutic doses, the use of alcohol and other CNS depressants with Ambien CR appears to increase the risk of such behaviors, as does the use of Ambien CR at doses exceeding the maximum recommended dose. Due to the risk to the patient and the community, discontinuation of Ambien CR should be strongly considered for patients who report a "sleep-driving" episode. Other complex behaviors (e.g., preparing and eating food, making phone calls, or having sex) have been reported in patients who are not fully awake after taking a sedative-hypnotic. As with "sleep-driving", patients usually do not remember these events. Amnesia, anxiety and other neuro-psychiatric symptoms may occur unpredictably.
In primarily depressed patients, worsening of depression, including suicidal thoughts and actions (including completed suicides), have been reported in association with the use of sedative/hypnotics.
It can rarely be determined with certainty whether a particular instance of the abnormal behaviors listed above is drug induced, spontaneous in origin, or a result of an underlying psychiatric or physical disorder. Nonetheless, the emergence of any new behavioral sign or symptom of concern requires careful and immediate evaluation.
5.4 Withdrawal Effects
Following the rapid dose decrease or abrupt discontinuation of sedative/hypnotics, there have been reports of signs and symptoms similar to those associated with withdrawal from other CNS-depressant drugs [see Drug Abuse and Dependence (9)].
5.5 Cns Depressant Effects
Ambien CR, like other sedative/hypnotic drugs, has CNS-depressant effects. Due to the rapid onset of action, Ambien CR should only be taken immediately prior to going to bed. Patients should be cautioned against engaging in hazardous occupations requiring complete mental alertness or motor coordination such as operating machinery or driving a motor vehicle after ingesting the drug, including potential impairment of the performance of such activities that may occur the day following ingestion of Ambien CR. Ambien CR showed additive effects when combined with alcohol and should not be taken with alcohol. Patients should also be cautioned about possible combined effects with other CNS-depressant drugs. Dosage adjustments may be necessary when Ambien CR is administered with such agents because of the potentially additive effects.
6 Adverse Reactions
The following serious adverse reactions are discussed in greater detail in other sections of the labeling:
- Serious anaphylactic and anaphylactoid reactions [see Warnings and Precautions (5.2)]
- Abnormal thinking, behavior changes, and complex behaviors [see Warnings and Precautions (5.3)]
- Withdrawal effects [see Warnings and Precautions (5.4)]
- CNS-depressant effects [see Warnings and Precautions (5.5)]
7.1 Cns-Active Drugs
Since the systematic evaluations of zolpidem in combination with other CNS-active drugs have been limited, careful consideration should be given to the pharmacology of any CNS-active drug to be used with zolpidem. Any drug with CNS-depressant effects could potentially enhance the CNS-depressant effects of zolpidem.
An immediate-release formulation of zolpidem tartrate was evaluated in healthy subjects in single-dose interaction studies for several CNS drugs. Imipramine in combination with zolpidem produced no pharmacokinetic interaction other than a 20% decrease in peak levels of imipramine, but there was an additive effect of decreased alertness. Similarly, chlorpromazine in combination with zolpidem produced no pharmacokinetic interaction, but there was an additive effect of decreased alertness and psychomotor performance. A study involving haloperidol and zolpidem revealed no effect of haloperidol on the pharmacokinetics or pharmacodynamics of zolpidem. The lack of a drug interaction following single-dose administration does not predict a lack following chronic administration.
An additive effect on psychomotor performance between alcohol and zolpidem was demonstrated [see Warnings and Precautions (5.5)].
A single-dose interaction study with zolpidem 10 mg and fluoxetine 20 mg at steady-state levels in male volunteers did not demonstrate any clinically significant pharmacokinetic or pharmacodynamic interactions. When multiple doses of zolpidem and fluoxetine at steady-state concentrations were evaluated in healthy females, the only significant change was a 17% increase in the zolpidem half-life. There was no evidence of an additive effect in psychomotor performance.
Following five consecutive nightly doses of zolpidem 10 mg in the presence of sertraline 50 mg (17 consecutive daily doses, at 7:00 am, in healthy female volunteers), zolpidem Cmax was significantly higher (43%) and Tmax was significantly decreased (53%). Pharmacokinetics of sertraline and N-desmethylsertraline were unaffected by zolpidem.
7.2 Drugs That Affect Drug Metabolism Via Cytochrome P450
Some compounds known to inhibit CYP3A may increase exposure to zolpidem. The effect of inhibitors of other P450 enzymes has not been carefully evaluated.
A randomized, double-blind, crossover interaction study in ten healthy volunteers between itraconazole (200 mg once daily for 4 days) and a single dose of zolpidem (10 mg) given 5 hours after the last dose of itraconazole resulted in a 34% increase in AUC0–∞ of zolpidem. There were no significant pharmacodynamic effects of zolpidem on subjective drowsiness, postural sway, or psychomotor performance.
A randomized, placebo-controlled, crossover interaction study in eight healthy female subjects between five consecutive daily doses of rifampin (600 mg) and a single dose of an immediate-release formulation of zolpidem tartrate (20 mg) given 17 hours after the last dose of rifampin showed significant reductions of the AUC (–73%), Cmax (–58%), and T1/2 (–36%) of zolpidem together with significant reductions in the pharmacodynamic effects of zolpidem.
A randomized double-blind crossover interaction study in twelve healthy subjects showed that co-administration of a single 5 mg dose of immediate-release zolpidem tartrate with ketoconazole, a potent CYP3A4 inhibitor, given as 200 mg twice daily for 2 days increased Cmax of zolpidem by a factor of 1.3 and increased the total AUC of zolpidem by a factor of 1.7 compared to zolpidem alone and prolonged the elimination half-life by approximately 30% along with an increase in the pharmacodynamic effects of zolpidem. Caution should be used when ketoconazole is given with zolpidem and consideration should be given to using a lower dose of zolpidem when ketoconazole and zolpidem are given together. Patients should be advised that use of Ambien CR with ketoconazole may enhance the sedative effects.
7.3 Other Drugs With No Interaction With Zolpidem
A study involving cimetidine/zolpidem and ranitidine/zolpidem combinations revealed no effect of either drug on the pharmacokinetics or pharmacodynamics of zolpidem.
Zolpidem had no effect on digoxin pharmacokinetics and did not affect prothrombin time when given with warfarin in normal subjects.
7.4 Drug-Laboratory Test Interactions
Zolpidem is not known to interfere with commonly employed clinical laboratory tests. In addition, clinical data indicate that zolpidem does not cross-react with benzodiazepines, opiates, barbiturates, cocaine, cannabinoids, or amphetamines in two standard urine drug screens.
Other
Neonatal complications
Studies in children to assess the effects of prenatal exposure to zolpidem have not been conducted; however, cases of severe neonatal respiratory depression have been reported when zolpidem was used at the end of pregnancy, especially when taken with other CNS depressants.
Children born to mothers taking sedative-hypnotic drugs may be at some risk for withdrawal symptoms during the postnatal period. Neonatal flaccidity has been reported in infants born to mothers who received sedative-hypnotic drugs during pregnancy.
8.2 Labor And Delivery
Ambien CR has no established use in labor and delivery [see Pregnancy (8.1)].
8.3 Nursing Mothers
Zolpidem is excreted in human milk. Studies in lactating mothers indicate that the half-life of zolpidem is similar to that in non-lactating women (2.6 ± 0.3 hr). The effect of zolpidem on the nursing infant is not known. Caution should be exercised when Ambien CR is administered to a nursing woman.
8.4 Pediatric Use
Safety and effectiveness of zolpidem have not been established in pediatric patients.
In an 8-week controlled study, 201 pediatric patients (aged 6–17 years) with insomnia associated with attention-deficit/hyperactivity disorder (90% of the patients were using psychoanaleptics), were treated with an oral solution of zolpidem (n=136), or placebo (n = 65). Zolpidem did not significantly decrease latency to persistent sleep, compared to placebo, as measured by polysomnography after 4 weeks of treatment. Psychiatric and nervous system disorders comprised the most frequent (> 5%) treatment emergent adverse reactions observed with zolpidem versus placebo and included dizziness (23.5% vs. 1.5%), headache (12.5% vs. 9.2%), and hallucinations (7.4% vs. 0%) [see Warnings and Precautions (5.6)]. Ten patients on zolpidem (7.4%) discontinued treatment due to an adverse reaction.
FDA has not required pediatric studies of Ambien CR in the pediatric population based on these efficacy and safety findings.
8.5 Geriatric Use
A total of 99 elderly (≥ 65 years of age) received daily doses of 6.25 mg Ambien CR in a 3-week placebo-controlled study. The adverse reaction profile of Ambien CR 6.25 mg in this population was similar to that of Ambien CR 12.5 mg in younger adults (≤ 64 years of age). Dizziness was reported in 8% of Ambien CR-treated patients compared with 3% of those treated with placebo.
The dose of Ambien CR in elderly patients is 6.25 mg to minimize adverse effects related to impaired motor and/or cognitive performance and unusual sensitivity to sedative/hypnotic drugs [see Warnings and Precautions (5.6)].
9.1 Controlled Substance
Zolpidem tartrate is classified as a Schedule IV controlled substance by federal regulation.
9.2 Abuse
Abuse and addiction are separate and distinct from physical dependence and tolerance. Abuse is characterized by misuse of the drug for non-medical purposes, often in combination with other psychoactive substances. Tolerance is a state of adaptation in which exposure to a drug induces changes that result in a diminution of one or more of the drug effects over time. Tolerance may occur to both desired and undesired effects of drugs and may develop at different rates for different effects.
Addiction is a primary, chronic, neurobiological disease with genetic, psychosocial, and environmental factors influencing its development and manifestations. It is characterized by behaviors that include one or more of the following: impaired control over drug use, compulsive use, continued use despite harm, and craving. Drug addiction is a treatable disease, using a multidisciplinary approach, but relapse is common.
Studies of abuse potential in former drug abusers found that the effects of single doses of zolpidem tartrate 40 mg were similar, but not identical, to diazepam 20 mg, while zolpidem tartrate 10 mg effects were difficult to distinguish from placebo.
Because persons with a history of addiction to, or abuse of, drugs or alcohol are at increased risk for misuse, abuse and addiction of zolpidem, they should be monitored carefully when receiving zolpidem or any other hypnotic.
9.3 Dependence
Physical dependence is a state of adaptation that is manifested by a specific withdrawal syndrome that can be produced by abrupt cessation, rapid dose reduction, decreasing blood level of the drug, and/or administration of an antagonist.
Sedative/hypnotics have produced withdrawal signs and symptoms following abrupt discontinuation. These reported symptoms range from mild dysphoria and insomnia to a withdrawal syndrome that may include abdominal and muscle cramps, vomiting, sweating, tremors, and convulsions. The following adverse events, which are considered to meet the DSM-III-R criteria for uncomplicated sedative/hypnotic withdrawal, were reported during U.S. clinical trials following placebo substitution occurring within 48 hours following last zolpidem treatment: fatigue, nausea, flushing, lightheadedness, uncontrolled crying, emesis, stomach cramps, panic attack, nervousness, and abdominal discomfort. These reported adverse events occurred at an incidence of 1% or less. However, available data cannot provide a reliable estimate of the incidence, if any, of dependence during treatment at recommended doses. Post-marketing reports of abuse, dependence and withdrawal have been received.
10.1 Signs And Symptoms
In postmarketing experience of overdose with zolpidem tartrate alone, or in combination with CNS-depressant agents, impairment of consciousness ranging from somnolence to coma, cardiovascular and/or respiratory compromise and fatal outcomes have been reported.
10.2 Recommended Treatment
General symptomatic and supportive measures should be used along with immediate gastric lavage where appropriate. Intravenous fluids should be administered as needed. Zolpidem's sedative hypnotic effect was shown to be reduced by flumazenil and therefore may be useful; however, flumazenil administration may contribute to the appearance of neurological symptoms (convulsions). As in all cases of drug overdose, respiration, pulse, blood pressure, and other appropriate signs should be monitored and general supportive measures employed. Hypotension and CNS depression should be monitored and treated by appropriate medical intervention. Sedating drugs should be withheld following zolpidem overdosage, even if excitation occurs. The value of dialysis in the treatment of overdosage has not been determined, although hemodialysis studies in patients with renal failure receiving therapeutic doses have demonstrated that zolpidem is not dialyzable.
As with the management of all overdosage, the possibility of multiple drug ingestion should be considered. The physician may wish to consider contacting a poison control center for up-to-date information on the management of hypnotic drug product overdosage.
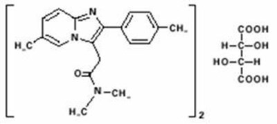
11 Description
Ambien CR contains zolpidem tartrate, a non-benzodiazepine hypnotic of the imidazopyridine class. Ambien CR (zolpidem tartrate extended-release tablets) is available in 6.25 mg and 12.5 mg strength tablets for oral administration.
Chemically, zolpidem is N,N,6-trimethyl-2-p-tolylimidazo[1,2-a] pyridine-3-acetamide L-(+)-tartrate (2:1). It has the following structure:
Zolpidem tartrate is a white to off-white crystalline powder that is sparingly soluble in water, alcohol, and propylene glycol. It has a molecular weight of 764.88.
Ambien CR consists of a coated two-layer tablet: one layer that releases its drug content immediately and another layer that allows a slower release of additional drug content. The 6.25 mg Ambien CR tablet contains the following inactive ingredients: colloidal silicon dioxide, hypromellose, lactose monohydrate, magnesium stearate, microcrystalline cellulose, polyethylene glycol, potassium bitartrate, red ferric oxide, sodium starch glycolate, and titanium dioxide. The 12.5 mg Ambien CR tablet contains the following inactive ingredients: colloidal silicon dioxide, FD&C Blue #2, hypromellose, lactose monohydrate, magnesium stearate, microcrystalline cellulose, polyethylene glycol, potassium bitartrate, sodium starch glycolate, titanium dioxide, and yellow ferric oxide.
12.1 Mechanism Of Action
Zolpidem, the active moiety of zolpidem tartrate, is a hypnotic agent with a chemical structure unrelated to benzodiazepines, barbiturates, or other drugs with known hypnotic properties. It interacts with a GABA-BZ receptor complex and shares some of the pharmacological properties of the benzodiazepines. In contrast to the benzodiazepines, which non-selectively bind to and activate all BZ receptor subtypes, zolpidem in vitro binds the BZ1 receptor preferentially with a high affinity ratio of the α1/α5 subunits. This selective binding of zolpidem on the BZ1 receptor is not absolute, but it may explain the relative absence of myorelaxant and anticonvulsant effects in animal studies as well as the preservation of deep sleep (stages 3 and 4) in human studies of zolpidem tartrate at hypnotic doses.
12.3 Pharmacokinetics
Ambien CR exhibits biphasic absorption characteristics, which results in rapid initial absorption from the gastrointestinal tract similar to zolpidem tartrate immediate-release, then provides extended plasma concentrations beyond three hours after administration. A study in 24 healthy male subjects was conducted to compare mean zolpidem plasma concentration-time profiles obtained after single oral administration of Ambien CR 12.5 mg and of an immediate-release formulation of zolpidem tartrate (10 mg). The terminal elimination half-life observed with Ambien CR (12.5 mg) was similar to that obtained with immediate-release zolpidem tartrate (10 mg). The mean plasma concentration-time profiles are shown in Figure 1.
Figure 1: Mean plasma concentration-time profiles for Ambien CR (12.5 mg) and immediate-release zolpidem tartrate (10 mg)
In adult and elderly patients treated with Ambien CR, there was no evidence of accumulation after repeated once-daily dosing for up to two weeks.
14.1 Controlled Clinical Trials
Ambien CR was evaluated in three placebo-controlled studies for the treatment of patients with chronic primary insomnia (as defined in the APA Diagnostic and Statistical Manual of Mental Disorders, DSM IV).
Adult outpatients (18–64 years) with primary insomnia (N=212) were evaluated in a double-blind, randomized, parallel-group, 3-week trial comparing Ambien CR 12.5 mg and placebo. Ambien CR 12.5 mg decreased wake time after sleep onset (WASO) for the first 7 hours during the first 2 nights and for the first 5 hours after 2 weeks of treatment. Ambien CR 12.5 mg was superior to placebo on objective measures (polysomnography recordings) of sleep induction (by decreasing latency to persistent sleep [LPS]) during the first 2 nights of treatment and after 2 weeks of treatment. Ambien CR 12.5 mg was also superior to placebo on the patient reported global impression regarding the aid to sleep after the first 2 nights and after 3 weeks of treatment.
Elderly outpatients (≥ 65 years) with primary insomnia (N=205) were evaluated in a double-blind, randomized, parallel-group, 3-week trial comparing Ambien CR 6.25 mg and placebo. Ambien CR 6.25 mg decreased wake time after sleep onset (WASO) for the first 6 hours during the first 2 nights and the first 4 hours after 2 weeks of treatment. Ambien CR 6.25 mg was superior to placebo on objective measures (polysomnography recordings) of sleep induction (by decreasing LPS) during the first 2 nights of treatment and after 2 weeks on treatment. Ambien CR 6.25 mg was superior to placebo on the patient reported global impression regarding the aid to sleep after the first 2 nights and after 3 weeks of treatment.
In both studies, in patients treated with Ambien CR, polysomnography showed increased wakefulness at the end of the night compared to placebo-treated patients.
In a 24-week double-blind, placebo controlled, randomized study in adult outpatients (18–64 years) with primary insomnia (N=1025), Ambien CR 12.5 mg administered as needed (3 to 7 nights per week) was superior to placebo over 24 weeks, on patient global impression regarding aid to sleep, and on patient-reported specific sleep parameters for sleep induction and sleep maintenance with no significant increased frequency of drug intake observed over time.
16 How Supplied/Storage And Handling
Ambien CR 6.25 mg tablets are composed of two layers1 and are coated, pink, round, bi-convex, debossed with A~ on one side and supplied as:
NDC Number Size
54868-5461-0 Bottles of 10
54868-5461-1 Bottles of 30
Ambien CR 12.5 mg tablets are composed of two layers
NDC Number Size
54868-5426-0 Bottles of 10
54868-5426-1 Bottles of 30
54868-5426-3 Bottles of 60
54868-5426-4 Bottles of 90
Layers are covered by the coating and are indistinguishable.
17 Patient Counseling Information
Prescribers or other healthcare professionals should inform patients, their families, and their caregivers about the benefits and risks associated with treatment with sedative-hypnotics, should counsel them in its appropriate use, and should instruct them to read the accompanying Medication Guide [see Medication Guide (17.4)].
17.1 Severe Anaphylactic And Anaphylactoid Reactions
Inform patients that severe anaphylactic and anaphylactoid reactions have occurred with zolpidem. Describe the signs/symptoms of these reactions and advise patients to seek medical attention immediately if any of them occur.
17.2 Sleep-Driving And Other Complex Behaviors
There have been reports of people getting out of bed after taking a sedative-hypnotic and driving their cars while not fully awake, often with no memory of the event. If a patient experiences such an episode, it should be reported to his or her doctor immediately, since "sleep-driving" can be dangerous. This behavior is more likely to occur when Ambien CR is taken with alcohol or other central nervous system depressants [see Warnings and Precautions (5.3)]. Other complex behaviors (e.g., preparing and eating food, making phone calls, or having sex) have been reported in patients who are not fully awake after taking a sedative-hypnotic. As with "sleep-driving", patients usually do not remember these events.
In addition, patients should be advised to report all concomitant medications to the prescriber. Patients should be instructed to report events such as "sleep-driving" and other complex behaviors immediately to the prescriber.
17.3 Administration Instructions
Patients should be counseled to take Ambien right before they get into bed and only when they are able to stay in bed a full night (7–8 hours) before being active again. Ambien CR tablets should not be crushed, divided, or chewed, and should not be taken with or immediately after a meal. Advise patients NOT to take Ambien CR when drinking alcohol.
Boxed Warning
AMBIEN CR is a federally controlled substance (C-IV) because it can be abused or lead to dependence. Keep AMBIEN CR in a safe place to prevent misuse and abuse. Selling or giving away AMBIEN CR may harm others, and is against the law. Tell your doctor if you have ever abused or have been dependent on alcohol, prescription medicines or street drugs.
* Please review the disclaimer below.

