Product Images Xopenex

View Photos of Packaging, Labels & Appearance

Product Label Images

The following 9 images provide visual information about the product associated with Xopenex NDC 54868-6021 by Physicians Total Care, Inc., such as packaging, labeling, and the appearance of the drug itself. This resource could be helpful for medical professionals, pharmacists, and patients seeking to verify medication information and ensure they have the correct product.

image of Figure 1 Twisting Vial - Figure 1 Twisting Vial

image of Figure 1 Twisting Vial - Figure 1 Twisting Vial

image of Figure 1 graph - Figure 1

image of Figure 1 graph - Figure 1

image of Figure 2 Connecting - Figure 2 Connecting

image of Figure 2 Connecting - Figure 2 Connecting

image of Figure 2 graph - Figure 2

image of Figure 2 graph - Figure 2

The text provides a chart showing the mean change in FEV (%), with four treatments being compared at different time points. The treatments are labeled as Lev 1.25, Lev 0.63, Rac 2.5, and PBO, with the number of participants (n) for each treatment provided. The chart shows data for up to 8 hours of observation.*

image of Figure 3 Placing in Mouth - Figure 3 Placing in Mouth

image of Figure 3 Placing in Mouth - Figure 3 Placing in Mouth

image of Figure 3 graph - Figure 3

image of Figure 3 graph - Figure 3

The text describes a chart showing the mean change in FEV (forced expiratory volume) over time measured in hours. The chart contains several data points represented by different symbols and corresponding to different treatments: Lev 0.63, Lev 0.31, Rac 2.5, Rac 1.25, and Pbo (placebo). The numbers in parentheses next to each treatment (e.g., n=067) indicate the sample size. The chart also shows that the mean change in FEV for Rac 2.5 was 30%, while the change for the other treatments was around 15%.*

image of Figure 4 graph - Figure 4

image of Figure 4 graph - Figure 4

The text appears to be a graph showing the mean change in FEV (%), with the units of time in hours. The graph shows four treatment groups identified by different abbreviations (Lev, Rac, and Pbo) and corresponding values for each treatment group with their respective sample sizes (n) mentioned next to the abbreviation. It is not possible to determine the context or the purpose of the data presented in the graph without additional information.*

image of 3 package labels - Xopenex package labels

image of 3 package labels - Xopenex package labels

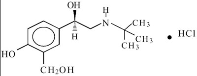
image of chemical structure - chemical structure

image of chemical structure - chemical structure

* The product label images have been analyzed using a combination of traditional computing and machine learning techniques. It should be noted that the descriptions provided may not be entirely accurate as they are experimental in nature. Use the information in this page at your own discretion and risk.