FDA Label for Bivalirudin
View Indications, Usage & Precautions
- 1 INDICATIONS AND USAGE
- 1.1 PERCUTANEOUS TRANSLUMINAL CORONARY ANGIOPLASTY (PTCA)
- 1.2 PERCUTANEOUS CORONARY INTERVENTION (PCI)
- 1.3 USE WITH ASPIRIN
- 1.4 LIMITATION OF USE
- 2 DOSAGE AND ADMINISTRATION
- 2.1 RECOMMENDED DOSE
- 2.2 DOSING IN RENAL IMPAIRMENT
- 2.3 INSTRUCTIONS FOR ADMINISTRATION
- 2.4 STORAGE AFTER RECONSTITUTION
- 3 DOSAGE FORMS AND STRENGTHS
- 4 CONTRAINDICATIONS
- 5 WARNINGS AND PRECAUTIONS
- 5.1 BLEEDING EVENTS
- 5.2 ACUTE STENT THROMBOSIS IN PATIENTS WITH STEMI UNDERGOING PCI
- 5.3 CORONARY ARTERY BRACHYTHERAPY
- 5.4 LABORATORY TEST INTERFERENCE
- 6 ADVERSE REACTIONS
- 6.1 CLINICAL TRIALS EXPERIENCE
- 6.2 IMMUNOGENICITY/RE-EXPOSURE
- 6.3 POSTMARKETING EXPERIENCE
- 7 DRUG INTERACTIONS
- 8 USE IN SPECIFIC POPULATIONS
- 8.1 PREGNANCY
- 8.3 NURSING MOTHERS
- 8.4 PEDIATRIC USE
- 8.5 GERIATRIC USE
- 8.6 RENAL IMPAIRMENT
- 10 OVERDOSAGE
- 11 DESCRIPTION
- 12 CLINICAL PHARMACOLOGY
- 12.1 MECHANISM OF ACTION
- 12.2 PHARMACODYNAMICS
- 12.3 PHARMACOKINETICS
- 13 NONCLINICAL TOXICOLOGY
- 13.1 CARCINOGENESIS, MUTAGENESIS, IMPAIRMENT OF FERTILITY
- 14 CLINICAL STUDIES
- 14.1 PCI/PTCA
- 16 HOW SUPPLIED/STORAGE AND HANDLING
- 17 PATIENT COUNSELING INFORMATION
- PACKAGE LABEL.PRINCIPAL DISPLAY PANEL SECTION
Bivalirudin Product Label
The following document was submitted to the FDA by the labeler of this product Dr. Reddy's Laboratories Limited. The document includes published materials associated whith this product with the essential scientific information about this product as well as other prescribing information. Product labels may durg indications and usage, generic names, contraindications, active ingredients, strength dosage, routes of administration, appearance, warnings, inactive ingredients, etc.
1 Indications And Usage
1.1 Percutaneous Transluminal Coronary Angioplasty (Ptca)
Bivalirudin for injection is indicated for use as an anticoagulant in patients with unstable angina undergoing percutaneous transluminal coronary angioplasty (PTCA).
1.2 Percutaneous Coronary Intervention (Pci)
Bivalirudin for injection with provisional use of glycoprotein IIb/IIIa inhibitor (GPI) as listed in the REPLACE-2 trial [see Clinical Studies (14.1)] is indicated for use as an anticoagulant in patients undergoing percutaneous coronary intervention (PCI).
Bivalirudin for injection is indicated for patients with, or at risk of, heparin induced thrombocytopenia (HIT) or heparin induced thrombocytopenia and thrombosis syndrome (HITTS) undergoing PCI.
1.3 Use With Aspirin
Bivalirudin in these indications is intended for use with aspirin and has been studied only in patients receiving concomitant aspirin [see Dosage and Administration (2.1) and Clinical Studies (14.1)].
1.4 Limitation Of Use
The safety and effectiveness of bivalirudin for injection have not been established in patients with acute coronary syndromes who are not undergoing PTCA or PCI.
2 Dosage And Administration
2.1 Recommended Dose
Bivalirudin for injection is for intravenous administration only.
Bivalirudin for injection is intended for use with aspirin (300 to 325 mg daily) and has been studied only in patients receiving concomitant aspirin.
For patients who do not have HIT/HITTS
The recommended dose of bivalirudin for injection is an intravenous (IV) bolus dose of 0.75 mg/kg, followed immediately, by an infusion of 1.75 mg/kg/h for the duration of the PCI/PTCA procedure. Five min after the bolus dose has been administered, an activated clotting time (ACT) should be performed and an additional bolus of 0.3 mg/kg should be given if needed.
GPI administration should be considered in the event that any of the conditions listed in the REPLACE-2 clinical trial description [see Clinical Studies (14.1)] is present.
For patients who have HIT/HITTS
The recommended dose of bivalirudin for injection in patients with HIT/HITTS undergoing PCI is an IV bolus of 0.75 mg/kg. This should be followed by a continuous infusion at a rate of 1.75 mg/kg/h for the duration of the procedure.
For ongoing treatment post procedure
Bivalirudin infusion may be continued following PCI/PTCA for up to 4 hours post-procedure at the discretion of the treating physician. In patients with ST segment elevation myocardial infarction (STEMI) continuation of the bivalirudin infusion at a rate of 1.75 mg/kg/h following PCI/PTCA for up to 4 hours post-procedure should be considered to mitigate risk of stent thrombosis. [see Warnings and Precautions (5.2)].
After four hours, an additional IV infusion of bivalirudin may be initiated at a rate of 0.2 mg/kg/h (low-rate infusion), for up to 20 hours, if needed.
2.2 Dosing In Renal Impairment
No reduction in the bolus dose is needed for any degree of renal impairment. The infusion dose of bivalirudin for injection may need to be reduced, and anticoagulant status monitored in patients with renal impairment. Patients with moderate renal impairment (30 to 59 mL/min) should receive an infusion of 1.75 mg/kg/h. If the creatinine clearance is less than 30 mL/min, reduction of the infusion rate to 1 mg/kg/h should be considered. If a patient is on hemodialysis, the infusion rate should be reduced to 0.25 mg/kg/h [see Use In Specific Population (8.6)].
2.3 Instructions For Administration
Bivalirudin for injection is intended for intravenous bolus injection and continuous infusion after reconstitution and dilution. To each 250 mg vial, add 5 mL of Sterile Water for Injection, USP. Gently swirl until all material is dissolved. Next, withdraw and discard 5 mL from a 50 mL infusion bag containing 5% Dextrose in Water or 0.9% Sodium Chloride for Injection. Then add the contents of the reconstituted vial to the infusion bag containing 5% Dextrose in Water or 0.9% Sodium Chloride for Injection to yield a final concentration of 5 mg/mL (e.g., 1 vial in 50 mL; 2 vials in 100 mL; 5 vials in 250 mL). The dose to be administered is adjusted according to the patient’s weight (see Table 1).
If the low-rate infusion is used after the initial infusion, a lower concentration bag should be prepared. In order to prepare this lower concentration, reconstitute the 250 mg vial with 5 mL of Sterile Water for Injection, USP. Gently swirl until all material is dissolved. Next, withdraw and discard 5 mL from a 500 mL infusion bag containing 5% Dextrose in Water or 0.9% Sodium Chloride for Injection. Then add the contents of the reconstituted vial to the infusion bag containing 5% Dextrose in Water or 0.9% Sodium Chloride for Injection to yield a final concentration of 0.5 mg/mL. The infusion rate to be administered should be selected from the right-hand column in Table 1.
Table 1 . Dosing Table
| Weight(kg) | Using 5 mg/mL Concentration | Using 0.5 mg/mL Concentration | |
| Bolus 0.75 mg/k (mL) | Infusion 1.75 mg/kg/h(mL/h) | Subsequent Low-rate Infusion 0.2 mg/kg/h(mL/h) | |
| 43-47 | 7 | 16 | 18 |
| 48-52 | 7.5 | 17.5 | 20 |
| 53-57 | 8 | 19 | 22 |
| 58-62 | 9 | 21 | 24 |
| 63-67 | 10 | 23 | 26 |
| 68-72 | 10.5 | 24.5 | 28 |
| 73-77 | 11 | 26 | 30 |
| 78-82 | 12 | 28 | 32 |
| 83-87 | 13 | 30 | 34 |
| 88-92 | 13.5 | 31.5 | 36 |
| 93-97 | 14 | 33 | 38 |
| 98-102 | 15 | 35 | 40 |
| 103-107 | 16 | 37 | 42 |
| 108-112 | 16.5 | 38.5 | 44 |
| 113-117 | 17 | 40 | 46 |
| 118-122 | 18 | 42 | 48 |
| 123-127 | 19 | 44 | 50 |
| 128-132 | 19.5 | 45.5 | 52 |
| 133-137 | 20 | 47 | 54 |
| 138-142 | 21 | 49 | 56 |
| 143-147 | 22 | 51 | 58 |
| 148-152 | 22.5 | 52.5 | 60 |
Bivalirudin for injection should be administered via an intravenous line. No incompatibilities have been observed with glass bottles or polyvinyl chloride bags and administration sets. The following drugs should not be administered in the same intravenous line with bivalirudin for injection, since they resulted in haze formation, microparticulate formation, or gross precipitation when mixed with bivalirudin: alteplase, amiodarone HCl, amphotericin B, chlorpromazine HCl, diazepam, prochlorperazine edisylate, reteplase, streptokinase, and vancomycin HCl. Dobutamine was compatible at concentrations up to 4 mg/mL but incompatible at a concentration of 12.5 mg/mL.
Parenteral drug products should be inspected visually for particulate matter and discoloration prior to administration. Preparations of bivalirudin for injection containing particulate matter should not be used. Reconstituted material will be a clear to slightly opalescent, colorless to slightly yellow solution.
2.4 Storage After Reconstitution
Do not freeze reconstituted or diluted bivalirudin for injection. Reconstituted material may be stored at 2 to 8°C for up to 24 hours. Diluted bivalirudin for injection with a concentration of between 0.5 mg/mL and 5 mg/mL is stable at room temperature for up to 24 hours. Discard any unused portion of reconstituted solution remaining in the vial.
3 Dosage Forms And Strengths
For injection: 250 mg of bivalirudin in a single-dose vial for reconstitution. Each vial contains 250 mg of bivalirudin equivalent to an average of 275 mg bivalirudin trifluoroacetate*. Following reconstitution with Sterile Water for Injection, the product is a clear to opalescent, colorless to slightly yellow solution, pH 5 to 6.
*The range of bivalirudin trifluoroacetate is 270 to 280 mg based on a range of trifluoroacetic acid composition of 1.7 to 2.6 equivalents.
4 Contraindications
Bivalirudin for injection is contraindicated in patients with:
- Active major bleeding;
- Hypersensitivity (e.g., anaphylaxis) to bivalirudin for injection or its components [see Adverse Reactions (6.3).
5 Warnings And Precautions
5.1 Bleeding Events
Although most bleeding associated with the use of bivalirudin for injection in PCI/PTCA occurs at the site of arterial puncture, hemorrhage can occur at any site. An unexplained fall in blood pressure or hematocrit should lead to serious consideration of a hemorrhagic event and cessation of bivalirudin for injection administration [see Adverse Reactions (6.1)]. Bivalirudin for injection should be used with caution in patients with disease states associated with an increased risk of bleeding.
5.2 Acute Stent Thrombosis In Patients With Stemi Undergoing Pci
Acute stent thrombosis (AST) (<4 hours) has been observed at a greater frequency in Bivalirudin for injection treated patients (1.2%, 36/2889) compared to heparin treated patients (0.2%, 6/2911) with STEMI undergoing primary PCI. Among patients who experienced an AST, one fatality (0.03%) occurred in an Bivalirudin for injection treated patient and one fatality (0.03%) in a heparin treated patient. These patients have been managed by Target Vessel Revascularization (TVR). Patients should remain for at least 24 hours in a facility capable of managing ischemic complications and should be carefully monitored following primary PCI for signs and symptoms consistent with myocardial ischemia.
5.3 Coronary Artery Brachytherapy
An increased risk of thrombus formation, including fatal outcomes, has been associated with the use of bivalirudin for injection in gamma brachytherapy.
If a decision is made to use bivalirudin for injection during brachytherapy procedures, maintain meticulous catheter technique, with frequent aspiration and flushing, paying special attention to minimizing conditions of stasis within the catheter or vessels [see Adverse Reactions (6.3)]
5.4 Laboratory Test Interference
Bivalirudin for injection affects International Normalized Ratio (INR), therefore INR measurements made in patients who have been treated with Bivalirudin for injection may not be useful for determining the appropriate dose of warfarin.
6 Adverse Reactions
6.1 Clinical Trials Experience
Because clinical trials are conducted under widely varying conditions, adverse reaction rates observed in the clinical trials of a drug cannot be directly compared to rates in the clinical trials of another drug and may not reflect the rates observed in practice.
Bleeding
In 6010 patients undergoing PCI treated in the REPLACE-2 trial, bivalirudin for injection patients exhibited statistically significantly lower rates of bleeding, transfusions, and thrombocytopenia as noted in Table 2.
Table 2. Major Hematologic Outcomes REPLACE-2 Study (Safety Population)
| Bivalirudin for injection with “provisional” GPI1 (n=2914) | HEPARIN + GPI (n=2987) | p-value | |
| Protocol defined major hemorrhage2 (%) | 2.3% | 4% | <0.001 |
| Protocol defined minor hemorrhage3 (%) | 13.6% | 25.8% | <0.001 |
| TIMI defined bleeding4 | |||
| - Major | 0.6% | 0.9% | 0.259 |
| - Minor | 1.3% | 2.9 | <0.001 |
| Non-access site bleeding | |||
| - Retroperitoneal bleeding | 0.2% | 0.5% | 0.069 |
| - Intracranial bleeding | <0.1% | 0.1% | 1 |
| Access site bleeding | |||
| - Sheath site bleeding | 0.9% | 2.4% | <0.001 |
| Thrombocytopenia5 | |||
| <100,000 | 0.7% | 1.7% | <0.001 |
| <50,000 | 0.3% | 0.6% | 0.039 |
| Transfusions | |||
| - RBC | 1.3% | 1.9% | 0.08 |
| - Platelets | 0.3% | 0.6% | 0.095 |
1 GPIs were administered to 7.2% of patients in the bivalirudin for injection with provisional GPI group
2 Defined as the occurence of any of the following: intracranial bleeding, retroperitoneal bleeding, a transfusion of ≥2 units of blood/blood products, a fall in hemoglobin > 4g/dL, whether of not bleeding site is identified, spontaneous or non-spontaneous blood loss with a decrease in hemoglobin >3g/dL
3 Defined as observed bleeding that does not meet the criteria for major hemorrhage
4 TIMI major bleeding is defined as intracranial, or a fall in adjusted Hgb >5g/dL or Hct of >15%: TIMI minor bleeding is defined as a fall in adjusted Hgb of 3 to <5 g/dL or a fall in adjusted Hct of 9 to <15%, with a bleeding site such as hematuria, hematemesis, hematomas, retroperitoneal bleeding or a decrease in Hgb of >4 g/dL with no bleeding site
5 If <100,000 and >25% reduction from baseline, or <50,000
In 4312 patients undergoing PTCA for treatment of unstable angina in 2 randomized, double-blind studies comparing bivalirudin for injection to heparin, bivalirudin for injection patients exhibited lower rates of major bleeding and lower requirements for blood transfusions. The incidence of major bleeding is presented in Table 3. The incidence of major bleeding was lower in the bivalirudin for injection group than in the heparin group.
Table 3. Major Bleeding and Transfusions in BAT Trial (all patients)*
| Bivalirudin for injection (n=2161) | Heparin (n=2151) | |
| No. (%) Patients with Major hemorrhage1 | 79 (3.7) | 199 (9.3) |
| - with ≥3 g/dL fall in Hgb | 41 (1.9) | 124 (5.8) |
| - with ≥5 g/dL fall in Hgb | 14 (0.6) | 47 (2.2) |
| - retroperitoneal bleeding | 5 (0.2) | 15 (0.7) |
| - intracranial bleeding | 1 (<0.1) | 2 (0.1) |
| - Required transfusions | 43 (2) | 123 (5.7) |
* No monitoring of ACT (or PTT) was done after a target ACT was achieved.
1 Major hemorrhage was defined as the occurence of any of the following, intracranial bleeding, retroperitoneal bleeding, clinically overt bleeding with a decrease in hemoglobin >3 g/dL or leading to a transfusion of >2 units of blood. This table includes data from the entire hospitalization period.
In the AT-BAT study, of the 51 patients with HIT/HITTS, 1 patient who did not undergo PCI had major bleeding during CABG on the day following angiography. Nine patients had minor bleeding (mostly due to access site bleeding), and 2 patients developed thrombocytopenia.
Other Adverse Reactions
Adverse reactions, other than bleeding, observed in clinical trials were similar between the bivalirudin for injection treated patients and the control groups.
Adverse reactions (related adverse events) seen in clinical studies in patients undergoing PCI and PTCA are shown in Tables 4 and 5.
Table 4 Most Frequent (>0.2%) Treatment-related Adverse Events (reactions) (through 30 days) in the REPLACE-2 Safety Population
| Bivalirudin for injection with “Provisional” GPI1 (n=2914) | Heparin+GPI(n=2987) | |
| n% | n% | |
| Patients with at least one treatment - related AE Thrombocytopenia Nausea Hypotension Anginapectoris Headache Injection site pain Nausea and vomitingVomiting | 78 (2.7) 9 (0.3) 15 (0.5) 7 (0.2) 5 (0.2) 6 (0.2) 3 (0.1) 2 (0.1) 3 (0.1) | 115 (3.9) 30 (1) 7 (0.2) 11 (0.4) 12 (0.4) 5 (0.2) 8 (0.3) 6 (0.2) 5 (0.2) |
Note: A patient could have more than one event in any category. Abbreviation: AE = adverse event.
Table 5. Adverse Reactions Other Than Bleeding Occurring In ≥ 5% Of Patients In Either Treatment Group In BAT Trial
| Treatment Group | ||
| EVENT | Bivalirudin for injection | HEPARIN |
| n=2161 | n=2151 | |
| Number of Patients (%) | ||
| CARDIOVASCULAR | ||
| Hypotension | 262 (12) | 371 (17) |
| Hypertension | 135 (6) | 115 (5) |
| Bradycardia | 118 (5) | 164 (8) |
| GASTROINTESTINAL | ||
| Nausea | 318 (15) | 347 (16) |
| Vomiting | 138 (6) | 169 (8) |
| Dyspepsia | 100 (5) | 111 (5) |
| GENITOURINARY | ||
| Urinary retention | 89 (4) | 98 (5) |
| MISCELLANEOUS | ||
| Back pain | 916 (42) | 944 (44) |
| Pain | 330 (15) | 358 (17) |
| Headache | 264 (12) | 225 (10) |
| Injection site pain | 174 (8) | 274 (13) |
| Insomnia | 142 (7) | 139 (6) |
| Pelvic pain | 130 (6) | 169 (8) |
| Anxiety | 127 (6) | 140 (7) |
| Abdominal pain | 103 (5) | 104 (5) |
| Fever | 103 (5) | 108 (5) |
| Nervousness | 102 (5) | 87 (4) |
Serious, non-bleeding adverse events were experienced in 2% of 2161 bivalirudin for injection-treated patients and 2% of 2151 heparin-treated patients. The following individual serious non-bleeding adverse events were rare (>0.1% to <1%) and similar in incidence between bivalirudin for injection - and heparin-treated patients. These events are listed by body system: Body as a Whole: fever, infection, sepsis; Cardiovascular: hypotension, syncope, vascular anomaly, ventricular fibrillation; Nervous: cerebral ischemia, confusion, facial paralysis; Respiratory: lung edema; Urogenital: kidney failure, oliguria. In the BAT trial, there was no causality assessment for adverse events.
6.2 Immunogenicity/Re-Exposure
In in vitro studies, bivalirudin for injection exhibited no platelet aggregation response against sera from patients with a history of HIT/HITTS.
Among 494 subjects who received bivalirudin for injection in clinical trials and were tested for antibodies, 2 subjects had treatment-emergent positive bivalirudin for injection antibody tests. Neither subject demonstrated clinical evidence of allergic or anaphylactic reactions and repeat testing was not performed. Nine additional patients who had initial positive tests were negative on repeat testing.
6.3 Postmarketing Experience
Because postmarketing adverse reactions are reported voluntarily from a population of uncertain size, it is not always possible to reliably estimate their frequency or establish a causal relationship to drug exposure.
The following adverse reactions have been identified during postapproval use of bivalirudin for injection: fatal bleeding; hypersensitivity and allergic reactions including reports of anaphylaxis; lack of anticoagulant effect; thrombus formation during PCI with and without intracoronary brachytherapy, including reports of fatal outcomes pulmonary hemorrhage; cardiac tamponade; and INR increased.
7 Drug Interactions
In clinical trials in patients undergoing PCI/PTCA, co-administration of bivalirudin for injection with heparin, warfarin, thrombolytics, or GPIs was associated with increased risks of major bleeding events compared to patients not receiving these concomitant medications.
There is no experience with co-administration of bivalirudin for injection and plasma expanders such as dextran.
8 Use In Specific Populations
8.1 Pregnancy
Pregnancy Category B
Reproductive studies have been performed in rats at subcutaneous doses up to 150 mg/kg/day, (1.6 times the maximum recommended human dose based on body surface area) and rabbits at subcutaneous doses up to 150 mg/kg/day (3.2 times the maximum recommended human dose based on body surface area). These studies revealed no evidence of impaired fertility or harm to the fetus attributable to bivalirudin for injection. There are, however, no adequate and well-controlled studies in pregnant women. Because animal reproduction studies are not always predictive of human response, this drug should be used during pregnancy only if clearly needed.
Bivalirudin for injection is intended for use with aspirin [see Indications and Usage (1.3)]. Because of possible adverse effects on the neonate and the potential for increased maternal bleeding, particularly during the third trimester, bivalirudin for injection and aspirin should be used together during pregnancy only if clearly needed.
8.3 Nursing Mothers
It is not known whether bivalirudin is excreted in human milk. Because many drugs are excreted in human milk, caution should be exercised when bivalirudin for injection is administered to a nursing woman.
8.4 Pediatric Use
The safety and effectiveness of bivalirudin for injection in pediatric patients have not been established.
8.5 Geriatric Use
In studies of patients undergoing PCI, 44% were ≥65 years of age and 12% of patients were ≥75 years old. Elderly patients experienced more bleeding events than younger patients. Patients treated with bivalirudin for injection experienced fewer bleeding events in each age stratum, compared to heparin.
8.6 Renal Impairment
The disposition of bivalirudin for injection was studied in PTCA patients with mild, moderate and severe renal impairment. The clearance of bivalirudin for injection was reduced approximately 20% in patients with moderate and severe renal impairment and was reduced approximately 80% in dialysis-dependent patients. [see Clinical Pharmacology (12.3)].
The infusion dose of bivalirudin for injection may need to be reduced, and anticoagulant status monitored in patients with renal impairment [see Dosage and Administration (2.2)].
10 Overdosage
Cases of overdose of up to 10 times the recommended bolus or continuous infusion dose of bivalirudin for injection have been reported in clinical trials and in postmarketing reports. A number of the reported overdoses were due to failure to adjust the infusion dose of bivalirudin in persons with renal dysfunction including persons on hemodialysis [see Dosage and Administration (2.2)]. Bleeding, as well as deaths due to hemorrhage, have been observed in some reports of overdose. In cases of suspected overdosage, discontinue bivalirudin for injection immediately and monitor the patient closely for signs of bleeding. There is no known antidote to bivalirudin for injection. Bivalirudin for injection is hemodialyzable [see Clinical Pharmacology (12.3)].
11 Description
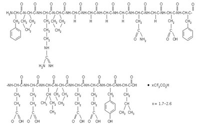
Bivalirudin for injection contains bivalirudin which is a specific and reversible direct thrombin inhibitor. Bivalirudin is a synthetic, 20 amino acid peptide, with the chemical name of D-phenylalanyl-Lprolyl-L-arginyl-L-prolyl-glycyl-glycyl-glycyl-glycyl-L-asparagyl-glycyl-L-aspartyl-Lphenylalanyl-L-glutamyl-L-glutamyl-L-isoleucyl-L-prolyl-L-glutamyl-L-glutamyl-L-tyrosyl-Lleucine. The active pharmaceutical ingredient is in the form of bivalirudin trifluoroacetate as a white to off-white powder. The chemical name for bivalirudin trifluoroacetate is D-phenylalanyl-L-prolyl-L-arginyl-L-prolyl-glycyl-glycyl-glycyl-glycyl-L-asparagyl-glycyl-L-aspartyl-Lphenylalanyl-L-glutamyl-L-glutamyl-L-isoleucyl-L-prolyl-L-glutamyl-L-glutamyl-L-tyrosyl-L-leucine trifluoroacetate (Figure 1). The molecular weight of bivalirudin is 2180 daltons (anhydrous free base peptide).
Figure 1: Structure formula for bivalirudin trifluoroacetate
Bivalirudin for injection is supplied as a sterile white lyophilized cake, in single-dose vials. Each vial contains 250 mg bivalirudin, equivalent to an average of 275 mg of bivalirudin trifluoroactetate*, 125 mg mannitol, and sodium hydroxide to adjust the pH to 5 to 6 (equivalent of approximately 12.5 mg sodium). When reconstituted with Sterile Water for Injection, the product yields a clear to opalescent, colorless to pale yellow solution, pH 5 to 6.
*The range of bivalirudin trifluoroacetate is 270 mg to 280 mg based on a range of trifluoroacetic acid composition of 1.7 to 2.6 equivalents.
12 Clinical Pharmacology
12.1 Mechanism Of Action
Bivalirudin for injection directly inhibits thrombin by specifically binding both to the catalytic site and to the anion-binding exosite of circulating and clot-bound thrombin. Thrombin is a serine proteinase that plays a central role in the thrombotic process, acting to cleave fibrinogen into fibrin monomers and to activate Factor XIII to Factor XIIIa, allowing fibrin to develop a covalently cross-linked framework which stabilizes the thrombus; thrombin also activates Factors V and VIII, promoting further thrombin generation, and activates platelets, stimulating aggregation and granule release. The binding of bivalirudin to thrombin is reversible as thrombin slowly cleaves the bivalirudin for injection-Arg3-Pro4 bond, resulting in recovery of thrombin active site functions.
In in vitro studies, bivalirudin for injection inhibited both soluble (free) and clot-bound thrombin, was not neutralized by products of the platelet release reaction, and prolonged the activated partial thromboplastin time (aPTT), thrombin time (TT), and prothrombin time (PT) of normal human plasma in a concentration-dependent manner. The clinical relevance of these findings is unknown.
12.2 Pharmacodynamics
In healthy volunteers and patients (with ≥70% vessel occlusion undergoing routine PTCA ), bivalirudin for injection exhibited dose- and concentration-dependent anticoagulant activity as evidenced by prolongation of the ACT, aPTT, PT, and TT. Intravenous administration of bivalirudin for injection produces an immediate anticoagulant effect. Coagulation times return to baseline approximately 1 hour following cessation of bivalirudin for injection administration.
In 291 patients with ≥70% vessel occlusion undergoing routine PTCA , a positive correlation was observed between the dose of bivalirudin for injection and the proportion of patients achieving ACT values of 300 sec or 350 sec. At an bivalirudin for injection dose of 1 mg/kg IV bolus plus 2.5 mg/kg/h IV infusion for 4 hours, followed by 0.2 mg/kg/h, all patients reached maximal ACT values >300 sec.
12.3 Pharmacokinetics
Bivalirudin for injection exhibits linear pharmacokinetics following IV administration to patients undergoing PTCA. In these patients, a mean steady state bivalirudin for injection concentration of 12.3 ± 1.7 mcg/mL is achieved following an IV bolus of 1 mg/kg and a 4-hour 2.5 mg/kg/h IV infusion. Bivalirudin for injection does not bind to plasma proteins (other than thrombin) or to red blood cells. Bivalirudin for injection is cleared from plasma by a combination of renal mechanisms and proteolytic cleavage, with a half-life in patients with normal renal function of 25 min.
The disposition of bivalirudin for injection was studied in PTCA patients with mild, moderate, and severe renal impairment. Drug elimination was related to glomerular filtration rate (GFR). Total body clearance was similar for patients with normal renal function and with mild renal impairment (60 to 89 mL/min). Clearance was reduced in patients with moderate and severe renal impairment and in dialysis-dependent patients (See Table 6 for pharmacokinetic parameters).
Bivalirudin for injection is hemodialyzable, with approximately 25% cleared by hemodialysis.
Table 6. PK Parameters in Patients with Renal Impairment*
| Renal Function (GFR, mL/min) | Clearance (mL/min/kg) | Half-life(min) |
| Normal renal function (≥90 mL/min) | 3.4 | 25 |
| Mild renal impairment (60 to 89 mL/min) | 3.4 | 22 |
| Moderate renal impairment (30 to 59 mL/min) | 2.7 | 34 |
| Severe renal impairment (10 to 29 mL/min) | 2.8 | 57 |
| Dialysis-dependent patients (off dialysis) | 1 | 3.5 hours |
* The ACT should be monitored in renally-impaired patients
13 Nonclinical Toxicology
13.1 Carcinogenesis, Mutagenesis, Impairment Of Fertility
No long-term studies in animals have been performed to evaluate the carcinogenic potential of bivalirudin for injection. Bivalirudin for injection displayed no genotoxic potential in the in vitro bacterial cell reverse mutation assay (Ames test), the in vitro Chinese hamster ovary cell forward gene mutation test (CHO/HGPRT), the in vitro human lymphocyte chromosomal aberration assay, the in vitro rat hepatocyte unscheduled DNA synthesis (UDS) assay, and the in vivo rat micronucleus assay. Fertility and general reproductive performance in rats were unaffected by subcutaneous doses of bivalirudin for injection up to 150 mg/kg/day, about 1.6 times the dose on a body surface area basis (mg/m2) of a 50 kg person given the maximum recommended dose of 15 mg/kg/day.
14 Clinical Studies
14.1 Pci/Ptca
Bivalirudin for injection has been evaluated in five randomized, controlled interventional cardiology trials reporting 11,422 patients. Stents were deployed in 6062 of the patients in these trials – mainly in trials performed since 1995. Percutaneous transluminal coronary angioplasty, atherectomy or other procedures were performed in the remaining patients.
REPLACE-2 Trial
This was a randomized, double-blind, multicenter study reporting 6002 (intent-to-treat) patients undergoing PCI. Patients were randomized to treatment with bivalirudin for injection with the “provisional” use of platelet glycoprotein IIb/IIIa inhibitor (GPI) or heparin plus planned use of GPI. GPIs were added on a “provisional” basis to patients who were randomized to bivalirudin for injection in the following circumstances:
- decreased TIMI flow (0 to 2) or slow reflow;
- dissection with decreased flow;
- new or suspected thrombus;
- persistent residual stenosis;
- distal embolization;
- unplanned stent;
- suboptimal stenting;
- side branch closure;
- abrupt closure;
- clinical instability; and
- prolonged ischemia.
During the study, one or more of these circumstances occurred in 10.9% of patients in the bivalirudin for injection with provisional GPI arm. GPIs were administered to 7.2% of patients in the bivalirudin for injection with provisional GPI arm (66.8% of eligible patients).
Patients ranged in age from 25 to 95 years (median, 63); weight ranged from 35 to 199 kg (median 85.5); 74.4% were male and 25.6% were female. Indications for PCI included unstable angina (35% of patients), myocardial infarction within 7 days prior to intervention (8% of patients), stable angina (25%) positive ischemic stress test (24%), and other not specified indications (8%). Stents were deployed in 85% of patients. Ninety-nine percent of patients received aspirin and 86% received thienopyridines prior to study treatment.
Bivalirudin for injection was administered as a 0.75 mg/kg bolus followed by a 1.75 mg/kg/h infusion for the duration of the procedure. The activated clotting time (ACT – measured by a Hemochron® device) was measured 5 min after the first bolus of study medication. If the ACT was < 225 seconds, an additional bolus of 0.3 mg/kg was given. At investigator discretion, the infusion could be continued following the procedure for up to 4 hours. The median infusion duration was 44 min. Heparin was administered as a 65 U/kg bolus. The activated clotting time (ACT – measured by a Hemochron® device) was measured 5 min after the first bolus of study medication. If the ACT was < 225 seconds, an additional bolus of 20 units/kg was given. GPIs (either abciximab or eptifibatide) were given according to manufacturers’ instructions. Both randomized groups could be given “provisional” treatments during the PCI at investigator discretion, but under double-blind conditions. “Provisional” treatment with GPI was requested in 5.2% of patients randomized to heparin plus GPI (they were given placebo) and 7.2% patients randomized to bivalirudin for injection with provisional GPI (they were given abciximab or eptifibatide according to pre-randomization investigator choice and patient stratification).
The percent of patients reaching protocol-specified levels of anticoagulation was greater in the bivalirudin for injection with provisional GPI group than in the heparin plus GPI group. For patients randomized to bivalirudin for injection with provisional GPI, the median 5 min ACT was 358 sec (interquartile range 320 to 400 sec) and the ACT was <225 sec in 3%. For patients randomized to heparin plus GPI, the median 5 min ACT was 317 sec (interquartile range 263 to 373 sec) and the ACT was <225 sec in 12%. At the end of the procedure, median ACT values were 334 sec (bivalirudin for injection group) and 276 sec (heparin plus GPI group).
For the composite endpoint of death, MI, or urgent revascularization adjudicated under double-blind conditions, the frequency was higher (7.6%)(95% confidence interval 6.7% to 8.6%) in the bivalirudin for injection with “provisional” GPI arm when compared to the heparin plus GPI arm (7.1%)(95% confidence interval 6.1% to 8%). However, major hemorrhage was reported significantly less frequently in the bivalirudin for injection with provisional GPI arm (2.4%) compared to the heparin plus GPI arm (4.1%). Study outcomes are shown in Table 7
Table 7 Incidences of Clinical Endpoints at 30 Days for REPLACE-2, a Randomized Double-blind Clinical Trial
| Intent-to-treat Population | Bivalirudin for injectionwith “Provisional” GPI (n=2994) | HEPARIN + GPI (n=3008) |
| Efficacy Endpoints | ||
| Death, MI, or urgent revascularization | 7.6% | 7.1% |
| Death | 0.2% | 0.4% |
| MI | 7% | 6.2% |
| Urgent revascularization | 1.2% | 1.4% |
| Safety Endpoint | ||
| Major hemorrhage1,2 | 2.4% | 4.1% |
1Defined as intracranial bleeding, retroperitoneal bleeding, a transfusion of ≥2 units of blood/blood products, a fall in Hgb >4 g/dL, whether or not bleeding site is identified, spontaneous or non-spontaneous blood loss with a decrease in Hgb >3 g/dL.
2p-value <0.001 between groups.
At 12 months’ follow-up, mortality was 1.9% among patients randomized to bivalirudin for injection with “provisional” GPIs and 2.5% among patients randomized to heparin plus GPI.
Bivalirudin Angioplasty Trial (BAT)
Bivalirudin for injection was evaluated in patients with unstable angina undergoing PTCA in two randomized, double-blind, multicenter studies with identical protocols. Patients must have had unstable angina defined as: (1) a new onset of severe or accelerated angina or rest pain within the month prior to study entry or (2) angina or ischemic rest pain which developed between four hours and two weeks after an acute myocardial infarction (MI). Overall, 4312 patients with unstable angina, including 741 (17%) patients with post-MI angina, were treated in a 1:1 randomized fashion with bivalirudin for injection or heparin. Patients ranged in age from 29 to 90 (median 63) years, their weight was a median of 80 kg (39 to 120 kg), 68% were male, and 91% were Caucasian. Twenty-three percent of patients were treated with heparin within one hour prior to randomization. All patients were administered aspirin 300 to 325 mg prior to PTCA and daily thereafter. Patients randomized to bivalirudin for injection were started on an intravenous infusion of bivalirudin for injection (2.5 mg/kg/h). Within 5 min after starting the infusion, and prior to PTCA, a 1 mg/kg loading dose was administered as an intravenous bolus. The infusion was continued for 4 hours, then the infusion was changed under double-blinded conditions to bivalirudin for injection (0.2 mg/kg/h) for up to an additional 20 hours (patients received this infusion for an average of 14 hours). The ACT was checked at 5 min and at 45 min following commencement. If on either occasion the ACT was <350 sec, an additional double-blinded bolus of placebo was administered. The bivalirudin for injection dose was not titrated to ACT. Median ACT values were: ACT in sec (5th percentile to 95th percentile): 345 sec (240 to 595 sec) at 5 min and 346 sec (range 269 to 583 sec) at 45 min after initiation of dosing. Patients randomized to heparin were given a loading dose (175 IU/kg) as an intravenous bolus 5 min before the planned procedure, with immediate commencement of an infusion of heparin (15 IU/kg/h). The infusion was continued for 4 hours. After 4 hours of infusion, the heparin infusion was changed under double-blinded conditions to heparin (15 IU/kg/h) for up to 20 additional hours. The ACT was checked at 5 min and at 45 min following commencement. If on either occasion the ACT was <350 sec, an additional double-blind bolus of heparin (60 IU/kg) was administered. Once the target ACT was achieved for heparin patients, no further ACT measurements were performed. All ACTs were determined with the Hemochron®device. The protocol allowed use of open-label heparin at the discretion of the investigator after discontinuation of blinded study medication, whether or not an endpoint event (procedural failure) had occurred. The use of open-label heparin was similar between bivalirudin for injection and heparin treatment groups (about 20% in both groups).
The studies were designed to demonstrate the safety and efficacy of bivalirudin for injection in patients undergoing PTCA as a treatment for unstable angina as compared with a control group of similar patients receiving heparin during and up to 24 hours after initiation of PTCA. The primary protocol endpoint was a composite endpoint called procedural failure, which included both clinical and angiographic elements measured during hospitalization. The clinical elements were: the occurrence of death, MI, or urgent revascularization, adjudicated under double-blind conditions. The angiographic elements were: impending or abrupt vessel closure. The protocol-specified safety endpoint was major hemorrhage.
The median duration of hospitalization was 4 days for both the bivalirudin for injection and the heparin treatment groups. The rates of procedural failure were similar in the bivalirudin for injection and heparin treatment groups. Study outcomes are shown in Table 8
Table 8 Incidences of In-hospital Clinical Endpoints in BAT Trial Occurring within 7 Days
| All Patients | Bivalirudin for injection n=2161 | HEPARIN n=2151 |
| Efficacy Endpoints | ||
| Procedural failure1 | 7.9% | 9.3% |
| Death, MI, revascularization | 6.2% | 7.9% |
| Death | 0.2% | 0.2% |
| MI2 | 3.3% | 4.2% |
| Revascularization3 | 4.2% | 5.6% |
| Safety Endpoint | ||
| Major hemorrhage4 | 3.5% | 9.3% |
1 The protocol-specified primary endpoint (a composite of death or MI or clinical deterioration of cardiac origin requiring revascularization or placement of an aortic balloon pump or angiographic evidence of abrupt vessel closure).
2 Defined as: Q-wave MI; CK-MB elevation ≥2 x ULN, new ST-or T-wave abnormality, and chest pain ≥30 min; OR new LBBB with chest pain ≥30 min and/or elevated CK-MB enzymes; OR elevated CK-MB and new ST- or T-wave abnormality without chest pain; OR elevated CK-MB.
3 Defined as: any revascularization procedure, including angioplasty, CABG, stenting, or placement of an intra-aortic balloon pump.
4 Defined as the occurrence of any of the following: intracranial bleeding, retroperitoneal bleeding, clinically overt bleeding with a decrease in Hgb ≥3 g/dL or leading to a transfusion of ≥2 units of blood.
AT-BAT Trial
This was a single-group open-label study which enrolled 51 patients with heparin-induced thrombocytopenia (HIT) or heparin induced thrombocytopenia and thrombosis syndrome (HITTS) undergoing PCI. Evidence for the diagnosis of HIT/HITTS was based on a clinical history of a decrease of platelets in patients after heparin administration [new diagnosis or history of clinically suspected or objectively documented HIT/HITTS defined as either: 1) HIT: positive heparin-induced platelet aggregation (HIPA) or other functional assay where the platelet count has decreased to <100,000/mL (minimum 30% from prior to heparin), or has decreased to <150,000/mL (minimum 40% from prior to heparin), or has decreased as above within hours of receiving heparin in a patient with a recent, previous exposure to heparin; 2) HITTS: thrombocytopenia as above plus arterial or venous thrombosis diagnosed by physician examination/laboratory and/or appropriate imaging studies]. Patients ranged in age from 48 to 89 years (median 70); weight ranged from 42 to 123 kg (median 76); 50% were male and 50% were female. Bivalirudin for injection was administered as either 1 mg/kg bolus followed by 2.5 mg/kg/h (high dose in 28 patients) or 0.75 mg/kg bolus followed by a 1.75 mg/kg/h infusion (lower dose in 25 patients) for up to 4 hours. Ninety-eight percent of patients received aspirin, 86% received clopidogrel and 19% received GPIs.
The median ACT values at the time of device activation were 379 sec (high dose) and 317 sec (lower dose). Following the procedure, 48 of the 51 patients (94%) had TIMI grade 3 flow and stenosis <50%. One patient died during a bradycardic episode 46 hours after successful PCI, another patient required surgical revascularization, and one patient experienced no flow requiring a temporary intra-aortic balloon.
Two of the fifty-one patients with the diagnosis of HIT/HITTS developed thrombocytopenia after receiving bivalirudin for injection and GPIs.
16 How Supplied/Storage And Handling
Bivalirudin for injection is supplied as a sterile, lyophilized powder in single-dose, glass vials. Each vial contains 250 mg of bivalirudin equivalent to an average of 275 mg of bivalirudin trifluoroacetate*.
*The range of bivalirudin trifluoroacetate is 270 to 280 mg based on a range of trifluoroacetic acid composition of 1.7 to 2.6 equivalents.
Package of 10 Single-Dose Vials NDC 55111-652-37
Store bivalirudin for injection dosage units at 20°-25°C (68°-77°F); [See USP Controlled Room Temperature].
17 Patient Counseling Information
Advise patients to watch carefully for any signs of bleeding or bruising and to report these to their health care provider when they occur.
Advise patients to discuss with their health care provider their use of any other medications, including over-the-counter medications or herbal products, prior to bivalirudin for injection use. Examples of other medications that should not be taken with bivalirudin for injection are warfarin and heparin.
Hemochron® is a registered trademark of International Technidyne Corporation, Edison, NJ.
Rx Only
Distributor:Dr. Reddy’s Laboratories Inc.,
Princeton, NJ 08540
Made in India
Issued: 0516
Package Label.Principal Display Panel Section
Vial Label:
* Please review the disclaimer below.

