FDA Label for Zoledronic Acid
View Indications, Usage & Precautions
- 1.1 HYPERCALCEMIA OF MALIGNANCY
- 1.2 MULTIPLE MYELOMA AND BONE METASTASES OF SOLID TUMORS
- 2 DOSAGE AND ADMINISTRATION
- 2.1 HYPERCALCEMIA OF MALIGNANCY
- 2.2. MULTIPLE MYELOMA AND BONE METASTASES OF SOLID TUMORS
- 2.3. PREPARATION OF SOLUTION
- 2.4. METHOD OF ADMINISTRATION
- 3 DOSAGE FORMS AND STRENGTHS
- 4 CONTRAINDICATIONS
- 5.1 DRUGS WITH SAME ACTIVE INGREDIENTOR IN THE SAME DRUG CLASS
- 5.2 HYDRATION AND ELECTROLYTE MONITORING
- 5.3 RENAL IMPAIRMENT
- 5.4 OSTEONECROSIS OF THE JAW
- 5.5 MUSCULOSKELETAL PAIN
- 5.6 ATYPICAL SUBTROCHANTERIC AND DIAPHYSEAL FEMORAL FRACTURES
- 5.7 PATIENTS WITH ASTHMA
- 5.8 HEPATIC IMPAIRMENT
- 5.9 USE IN PREGNANCY
- 5.10 HYPOCALCEMIA
- 6.1 CLINICAL TRIALS EXPERIENCE
- 6.2 POSTMARKETING EXPERIENCE
- 7 DRUG INTERACTIONS
- 7.1 AMINOGLYCOSIDES AND CALCITONIN
- 7.2 LOOP DIURETICS
- 7.3 NEPHROTOXIC DRUGS
- 7.4 THALIDOMIDE
- 8.1 PREGNANCY
- 8.3 NURSING MOTHERS
- 8.4 PEDIATRIC USE
- 8.5 GERIATRIC USE
- 10 OVERDOSAGE
- 11 DESCRIPTION
- 12.1 MECHANISM OF ACTION
- 12.2 PHARMACODYNAMICS
- 12.3 PHARMACOKINETICS
- 13.1 CARCINOGENESIS, MUTAGENESIS, IMPAIRMENT OF FERTILITY
- 14.1 HYPERCALCEMIA OF MALIGNANCY
- 14.2 CLINICAL TRIALS IN MULTIPLE MYELOMA AND BONE METASTASES OF SOLID TUMORS
- 16 HOW SUPPLIED/STORAGE AND HANDLING
- 17 PATIENT COUNSELING INFORMATION
- PACKAGE LABEL.PRINCIPAL DISPLAY PANEL SECTION
Zoledronic Acid Product Label
The following document was submitted to the FDA by the labeler of this product Dr. Reddy's Laboratories Limited. The document includes published materials associated whith this product with the essential scientific information about this product as well as other prescribing information. Product labels may durg indications and usage, generic names, contraindications, active ingredients, strength dosage, routes of administration, appearance, warnings, inactive ingredients, etc.
1.1 Hypercalcemia Of Malignancy
Zoledronic acid injection is indicated for the treatment of hypercalcemia of malignancy defined as an albumin-corrected calcium (cCa) of greater than or equal to 12 mg/dL [3 mmol/L] using the formula: cCa in mg/dL=Ca in mg/dL + 0.8 (4 g/dL - patient albumin [g/dL]).
1.2 Multiple Myeloma And Bone Metastases Of Solid Tumors
Zoledronic acid injection is indicated for the treatment of patients with multiple myeloma and patients with documented bone metastases from solid tumors, in conjunction with standard antineoplastic therapy. Prostate cancer should have progressed after treatment with at least one hormonal therapy.
Limitations of Use
The safety and efficacy of zoledronic acid injection in the treatment of hypercalcemia associated with hyperparathyroidism or with other non-tumor-related conditions have not been established.
2 Dosage And Administration
Parenteral drug products should be inspected visually for particulate matter and discoloration prior to administration, whenever solution and container permit.
2.1 Hypercalcemia Of Malignancy
The maximum recommended dose of zoledronic acid injection in hypercalcemia of malignancy (albumin-corrected serum calcium greater than or equal to 12 mg/dL [3 mmol/L]) is 4 mg. The 4 mg dose must be given as a single-dose intravenous infusion over no less than 15 minutes. Patients who receive zoledronic acid injection should have serum creatinine assessed prior to each treatment.
Dose adjustments of zoledronic acid injection are not necessary in treating patients for hypercalcemia of malignancy presenting with mild-to-moderate renal impairment prior to initiation of therapy (serum creatinine less than 400 µmol/L or less than 4.5 mg/dL).
Patients should be adequately rehydrated prior to administration of zoledronic acid injection [see Warnings and Precautions (5.2)].
Consideration should be given to the severity of, as well as the symptoms of, tumor-induced hypercalcemia when considering use of zoledronic acid injection. Vigorous saline hydration, an integral part of hypercalcemia therapy, should be initiated promptly and an attempt should be made to restore the urine output to about 2 L/day throughout treatment. Mild or asymptomatic hypercalcemia may be treated with conservative measures (i.e., saline hydration, with or without loop diuretics). Patients should be hydrated adequately throughout the treatment, but overhydration, especially in those patients who have cardiac failure, must be avoided. Diuretic therapy should not be employed prior to correction of hypovolemia.
Retreatment with zoledronic acid injection 4 mg, may be considered if serum calcium does not return to normal or remain normal after initial treatment. It is recommended that a minimum of 7 days elapse before retreatment, to allow for full response to the initial dose. Renal function must be carefully monitored in all patients receiving zoledronic acid injection and serum creatinine must be assessed prior to retreatment with zoledronic acid injection [see Warnings and Precautions (5.2)].
2.2. Multiple Myeloma And Bone Metastases Of Solid Tumors
The recommended dose of zoledronic acid injection in patients with multiple myeloma and metastatic bone lesions from solid tumors for patients with creatinine clearance (CrCl) greater than 60 mL/min is 4 mg infused over no less than15 minutes every 3 to 4 weeks. The optimal duration of therapy is not known.
Upon treatment initiation, the recommended zoledronic acid injection doses for patients with reduced renal function (mild and moderate renal impairment) are listed in Table 1. These doses are calculated to achieve the same area under the curve (AUC) as that achieved in patients with creatinine clearance of 75 mL/min. CrCl is calculated using the Cockcroft-Gault formula [see Warnings and Precautions (5.2)].
| Baseline Creatinine Clearance (mL/min) | Zoledronic Acid Injection Recommended Dose* |
| greater than 60 | 4 mg |
| 50 to 60 | 3.5 mg |
| 40 to 49 | 3.3 mg |
| 30 to 39 | 3 mg |
| *Doses calculated assuming target AUC of 0.66(mg•hr/L) (CrCl = 75 mL/min) | |
During treatment, serum creatinine should be measured before each zoledronic acid injection dose and treatment should be withheld for renal deterioration. In the clinical studies, renal deterioration was defined as follows:
For patients with normal baseline creatinine, increase of 0.5 mg/dL
For patients with abnormal baseline creatinine, increase of 1 mg/dL
In the clinical studies, zoledronic acid injection treatment was resumed only when the creatinine returned to within 10% of the baseline value. Zoledronic acid injection should be re-initiated at the same dose as that prior to treatment interruption.
Patients should also be administered an oral calcium supplement of 500 mg and a multiple vitamin containing 400 international units of vitamin D daily.
2.3. Preparation Of Solution
Zoledronic acid injection must not be mixed with calcium or other divalent cation-containing infusion solutions, such as Lactated Ringer’s solution, and should be administered as a single intravenous solution in a line separate from all other drugs.
4 mg per 5 mL Single-Use Vial
Vials of zoledronic acid injection concentrate for infusion contain overfill allowing for the withdrawal of 5 mL of concentrate (equivalent to 4 mg zoledronic acid). This concentrate should immediately be diluted in 100 mL of sterile 0.9% Sodium Chloride, USP, or 5% Dextrose Injection, USP, following proper aseptic technique, and administered to the patient by infusion. Do not store undiluted concentrate in a syringe, to avoid inadvertent injection.
To prepare reduced doses for patients with baseline CrCl less than or equal to 60 mL/min, withdraw the specified volume of the zoledronic acid injection concentrate from the vial for the dose required (see Table 2).
| Remove and Use Zoledronic Acid Injection Volume (mL) | Dose (mg) |
| 4.4 | 3.5 |
| 4.1 | 3.3 |
| 3.8 | 3 |
The withdrawn concentrate must be diluted in 100 mL of sterile 0.9% Sodium Chloride, USP, or 5% Dextrose Injection, USP.
If not used immediately after dilution with infusion media, for microbiological integrity, the solution should be refrigerated at 2°C-8°C (36°F-46°F). The refrigerated solution should then be equilibrated to room temperature prior to administration. The total time between dilution, storage in the refrigerator, and end of administration must not exceed 24 hours.
2.4. Method Of Administration
Due to the risk of clinically significant deterioration in renal function, which may progress to renal failure, single doses of zoledronic acid injection should not exceed 4 mg and the duration of infusion should be no less than 15 minutes [seeWarnings and Precautions (5.3)]. In the trials and in postmarketing experience, renal deterioration, progression to renal failure and dialysis, have occurred in patients, including those treated with the approved dose of 4 mg infused over 15 minutes. There have been instances of this occurring after the initial zoledronic acid injection dose.
3 Dosage Forms And Strengths
4 mg per 5 mL single-use vial of concentrate
4 Contraindications
Hypersensitivity to Zoledronic Acid or Any Components of Zoledronic Acid Injection
Hypersensitivity reactions including rare cases of urticaria and angioedema, and very rare cases of anaphylactic reaction/shock have been reported [see Adverse Reactions (6.2)].
5.1 Drugs With Same Active Ingredientor In The Same Drug Class
Zoledronic acid injection contains the same active ingredient as found in Reclast® (zoledronic acid). Patients being treated with zoledronic acid injection should not be treated with Reclast other bisphosphonates.
5.2 Hydration And Electrolyte Monitoring
Patients with hypercalcemia of malignancy must be adequately rehydrated prior to administration of zoledronic acid injection. Loop diuretics should not be used until the patient is adequately rehydrated and should be used with caution in combination with zoledronic acid injection in order to avoid hypocalcemia. Zoledronic acid injection should be used with caution with other nephrotoxic drugs.
Standard hypercalcemia-related metabolic parameters, such as serum levels of calcium, phosphate, and magnesium, as well as serum creatinine, should be carefully monitored following initiation of therapy with zoledronic acid injection. If hypocalcemia, hypophosphatemia, or hypomagnesemia occur, short-term supplemental therapy may be necessary.
5.3 Renal Impairment
Zoledronic acid injection is excreted intact primarily via the kidney, and the risk of adverse reactions, in particular renal adverse reactions, may be greater in patients with impaired renal function. Safety and pharmacokinetic data are limited in patients with severe renal impairment and the risk of renal deterioration is increased [see Adverse Reactions (6.1) ]. Preexisting renal insufficiency and multiple cycles of zoledronic acid injection and other bisphosphonates are risk factors for subsequent renal deterioration with zoledronic acid injection. Factors predisposing to renal deterioration, such as dehydration or the use of other nephrotoxic drugs, should be identified and managed, if possible.
Zoledronic acid injection treatment in patients with hypercalcemia of malignancy with severe renal impairment should be considered only after evaluating the risks and benefits of treatment [see Dosage and Administration (2.1)]. In the clinical studies, patients with serum creatinine greater than 400 µmol/L or greater than 4.5 mg/dL were excluded.
Zoledronic acid injection treatment is not recommended in patients with bone metastases with severe renal impairment.Inthe clinicalstudies, patients with serum creatinine greater than 265 µmol/L or greater than 3 mg/dL were excluded and there were only 8 of 564 patients treated with zoledronic acid injection 4 mg by 15-minute infusion with a baseline creatinine >2 mg/dL. Limited pharmacokinetic data exists in patients with creatinine clearance less than 30 mL/min [see Clinical Pharmacology (12.3)].
5.4 Osteonecrosis Of The Jaw
Osteonecrosis of the jaw (ONJ) has been reported predominantly in cancer patients treated with intravenous bisphosphonates, including zoledronic acid injection. Many of these patients were also receiving chemotherapy and corticosteroids which may be risk factors for ONJ. The risk of ONJ may increase with duration of exposure to bisphosphonates.
Postmarketing experience and the literature suggest a greater frequency of reports of ONJ based on tumor type (advanced breast cancer, multiple myeloma), and dental status (dental extraction, periodontal disease, local trauma including poorly fitting dentures). Many reports of ONJ involved patients with signs of local infection including osteomyelitis.
Cancer patients should maintain good oral hygiene and should have a dental examination with preventive dentistry prior to treatment with bisphosphonates.
While on treatment, these patients should avoid invasive dental procedures if possible. For patients who develop ONJ while on bisphosphonate therapy, dental surgery may exacerbate the condition. For patients requiring dental procedures, there are no data available to suggest whether discontinuation of bisphosphonate treatment reduces the risk of ONJ. Clinical judgment of the treating physician should guide the management plan of each patient based on individual benefit/risk assessment [see Adverse Reactions (6.2)].
5.5 Musculoskeletal Pain
In postmarketing experience, severe and occasionally incapacitating bone, joint, and/or muscle pain has been reported in patients taking bisphosphonates, including zoledronic acid injection. The time to onset of symptoms varied from one day to several months after starting the drug. Discontinue use if severe symptoms develop. Most patients had relief of symptoms after stopping. A subset had recurrence of symptoms when rechallenged with the same drug or another bisphosphonate [see Adverse Reactions (6.2)].
5.6 Atypical Subtrochanteric And Diaphyseal Femoral Fractures
Atypical subtrochanteric and diaphyseal femoral fractures have been reported in patients receiving bisphosphonate therapy, including zoledronic acid injection. These fractures can occur anywhere in the femoral shaft from just below the lesser trochanter to just above the supracondylar flare and are transverse or short oblique in orientation without evidence of comminution. These fractures occur after minimal or no trauma. Patients may experience thigh or groin pain weeks to months before presenting with a completed femoral fracture. Fractures are often bilateral; therefore the contralateral femur should be examined in bisphosphonate-treated patients who have sustained a femoral shaft fracture. Poor healing of these fractures has also been reported. A number of case reports noted that patients were also receiving treatment with glucocorticoids (such as prednisone or dexamethasone) at the time of fracture. Causality with bisphosphonate therapy has not been established.
Any patient with a history of bisphosphonate exposure who presents with thigh or groin pain in the absence of trauma should be suspected of having an atypical fracture and should be evaluated. Discontinuation of zoledronic acid injection therapy in patients suspected to have an atypical femur fracture should be considered pending evaluation of the patient, based on an individual benefit risk assessment. It is unknown whether the risk of atypical femur fracture continues after stopping therapy.
5.7 Patients With Asthma
While not observed in clinical trials with zoledronic acid injection, there have been reports of bronchoconstriction in aspirin-sensitive patients receiving bisphosphonates.
5.8 Hepatic Impairment
Only limited clinical data are available for use of zoledronic acid injection to treat hypercalcemia of malignancy in patients with hepatic insufficiency, and these data are not adequate to provide guidance on dosage selection or how to safely use zoledronic acid injection in these patients.
5.9 Use In Pregnancy
Bisphosphonates, such as zoledronic acid injection, are incorporated into the bone matrix, from where they are gradually released over periods of weeks to years. There may be a risk of fetal harm (e.g., skeletal and other abnormalities) if a woman becomes pregnant after completing a course of bisphosphonate therapy.
Zoledronic acid injection may cause fetal harmwhen administered to a pregnant woman. In reproductive studies in pregnant rats, subcutaneous doses equivalent to 2.4 or 4.8 times the human systemic exposure resulted in pre- and postimplantation losses, decreases in viable fetuses and fetal skeletal, visceral, and external malformations. There are no adequate and well controlled studies in pregnant women. If this drug is used during pregnancy, or if the patient becomes pregnant while taking this drug, the patient should be apprised of the potential hazard to a fetus [see Use in Specific Populations (8.1)].
5.10 Hypocalcemia
Hypocalcemia has been reported in patients treated with zoledronic acid injection. Cardiac arrhythmias and neurologic adverse events (seizures, tetany, and numbness) have been reported secondary to cases of severe hypocalcemia. In some instances, hypocalcemia may be life-threatening. Caution is advised when zoledronic acid injection is administered with drugs known to cause hypocalcemia, as severe hypocalcemia may develop, [see Drug Interactions (7)]. Serum calcium should be measured and hypocalcemia must be corrected before initiating zoledronic acid injection. Adequately supplement patients with calcium and vitamin D.
6.1 Clinical Trials Experience
Because clinical trials are conducted under widely varying conditions, adverse reaction rates observed in the clinical trials of a drug cannot be directly compared to rates in the clinical trials of another drug and may not reflect the rates observed in practice.
Hypercalcemia of Malignancy
The safety of zoledronic acid injection was studied in 185 patients with hypercalcemia of malignancy (HCM) who received either zoledronic acid injection 4 mg given as a 5-minute intravenous infusion (n=86) or pamidronate 90 mg given as a 2-hour intravenous infusion (n=103). The population was aged 33 to 84 years, 60% male and 81% Caucasian, with breast, lung, head and neck, and renal cancer as the most common forms of malignancy. NOTE: pamidronate 90 mg was given as a 2-hour intravenous infusion. The relative safety of pamidronate 90 mg given as a 2-hour intravenous infusion compared to the same dose given as a 24-hour intravenous infusion has not been adequately studied in controlled clinical trials.
Renal Toxicity
Administration of zoledronic acid injection 4 mg given as a 5-minute intravenous infusion has been shown to result in an increased risk of renal toxicity, as measured by increases in serum creatinine, which can progress to renal failure. The incidence of renal toxicity and renal failure has been shown to be reduced when zoledronic acid injection 4 mg is given as a 15-minute intravenous infusion. Zoledronic acid injection should be administered by intravenous infusion over no less than 15 minutes [see Warnings and Precautions (5.3) and Dosage and Administration (2.4)].
The most frequently observed adverse events were fever, nausea, constipation, anemia, and dyspnea (see Table 3).
Table 3 provides adverse events that were reported by 10% or more of the 189 patients treated with zoledronic acid injection 4 mg or pamidronate 90 mg from the two HCM trials. Adverse events are listed regardless of presumed causality to study drug.
Table 3: Percentage of Patients with Adverse Events greater than or equal to 10% Reported in Hypercalcemia of Malignancy Clinical Trials by Body System
| Zoledronic Acid Injection 4 mg n (%) | Pamidronate 90 mg n (%) | |||
| Patients Studied | ||||
| Total No. of Patients Studied | 86 | (100) | 103 | (100) |
| Total No. of Patients with any AE | 81 | (94) | 95 | (92) |
| Body as a Whole | ||||
| Fever | 38 | (44) | 34 | (33) |
| Progression of Cancer | 14 | (16) | 21 | (20) |
| Cardiovascular | ||||
| Hypotension | 9 | (11) | 2 | (2) |
| Digestive | ||||
| Nausea | 25 | (29) | 28 | (27) |
| Constipation | 23 | (27) | 13 | (13) |
| Diarrhea | 15 | (17) | 17 | (17) |
| Abdominal Pain | 14 | (16) | 13 | (13) |
| Vomiting | 12 | (14) | 17 | (17) |
| Anorexia | 8 | (9) | 14 | (14) |
| Hemic and Lymphatic System | ||||
| Anemia | 19 | (22) | 18 | (18) |
| Infections | ||||
| Moniliasis | 10 | (12) | 4 | (4) |
| Laboratory Abnormalities | ||||
| Hypophosphatemia | 11 | (13) | 2 | (2) |
| Hypokalemia | 10 | (12) | 16 | (16) |
| Hypomagnesemia | 9 | (11) | 5 | (5) |
| Musculoskeletal | ||||
| Skeletal Pain | 10 | (12) | 10 | (10) |
| Nervous | ||||
| Insomnia | 13 | (15) | 10 | (10) |
| Anxiety | 12 | (14) | 8 | (8) |
| Confusion | 11 | (13) | 13 | (13) |
| Agitation | 11 | (13) | 8 | (8) |
| Respiratory | ||||
| Dyspnea | 19 | (22) | 20 | (19) |
| Coughing | 10 | (12) | 12 | (12) |
| Urogenital | ||||
| Urinary Tract Infection | 12 | (14) | 15 | (15) |
The following adverse events from the two controlled multicenter HCM trials (n=189) were reported by a greater percentage of patients treated with zoledronic acid injection 4 mg than with pamidronate 90 mg and occurred with a frequency of greater than or equal to 5% but less than 10%. Adverse events are listed regardless of presumed causality to study drug: asthenia, chest pain, leg edema, mucositis, dysphagia, granulocytopenia, thrombocytopenia, pancytopenia, nonspecific infection, hypocalcemia, dehydration, arthralgias, headache and somnolence.
Rare cases of rash, pruritus, and chest pain have been reported following treatment with zoledronic acid injection.
Acute Phase Reaction
Within three days after zoledronic acid injection administration, an acute phase reaction has been reported in patients, with symptoms including pyrexia, fatigue, bone pain and/or arthralgias, myalgias, chills, and influenza-like illness. These symptoms usually resolve within a few days. Pyrexia has been the most commonly associated symptom, occurring in 44% of patients.
Mineral and Electrolyte AbnormalitiesElectrolyte abnormalities, most commonly hypocalcemia, hypophosphatemia and hypomagnesemia, can occur with bisphosphonate use.
Grade 3 and Grade 4 laboratory abnormalities for serum creatinine, serum calcium, serum phosphorus, and serum magnesium observed in two clinical trials of zoledronic acid injection in patients with HCM are shown in Table 4 and 5.
Table 4: Grade 3 Laboratory Abnormalities for Serum Creatinine, Serum Calcium, Serum Phosphorus, and Serum Magnesium in Two Clinical Trials in Patients with HCM
| Grade 3 | ||||
| Laboratory Parameter | Zoledronic Acid Injection | Pamidronate | ||
| 4 mg | 90 mg | |||
| n/N | (%) | n/N | (%) | |
| Serum Creatinine1 | 2/86 | (2%) | 3/100 | (3%) |
| Hypocalcemia2 | 1/86 | (1%) | 2/100 | (2%) |
| Hypophosphatemia3 | 36/70 | (51%) | 27/81 | (33%) |
| Hypomagnesemia4 | 0/71 | — | 0/84 | — |
Table 5: Grade 4 Laboratory Abnormalities for Serum Creatinine, Serum Calcium, Serum Phosphorus, and Serum Magnesium in Two Clinical Trials in Patients with HCM
| Grade 4 | ||||
| Laboratory Parameter | Zoledronic Acid Injection | Pamidronate | ||
| 4 mg | 90 mg | |||
| n/N | (%) | n/N | (%) | |
| Serum Creatinine1 | 0/86 | — | 1/100 | (1%) |
| Hypocalcemia2 | 0/86 | — | 0/100 | — |
| Hypophosphatemia3 | 1/70 | (1%) | 4/81 | (5%) |
| Hypomagnesemia4 | 0/71 | — | 1/84 | (1%) |
| 1 Grade 3 (>3x Upper Limit of Normal); Grade 4 (>6x Upper Limit of Normal) 2 Grade 3 (<7 mg/dL); Grade 4 (<6 mg/dL) 3 Grade 3 (<2 mg/dL); Grade 4 (<1 mg/dL) 4 Grade 3 (<0.8 mEq/L); Grade 4 (<0.5 mEq/L) | ||||
Injection Site Reactions
Local reactions at the infusion site, such as redness or swelling, were observed infrequently. In most cases, no specific treatment is required and the symptoms subside after 24 to 48 hours.
Ocular Adverse Events
Ocular inflammation such as uveitis and scleritis can occur with bisphosphonate use, including zoledronic acid injection. No cases of iritis, scleritis or uveitis were reported during these clinical trials. However, cases have been seen in postmarketing use [see Adverse Reactions (6.2)].
Multiple Myeloma and Bone Metastases of Solid Tumors
The safety analysis includes patients treated in the core and extension phases of the trials. The analysis includes the 2042 patients treated with zoledronic acid injection 4 mg, pamidronate 90 mg, or placebo in the three controlled multicenter bone metastases trials, including 969 patients completing the efficacy phase of the trial, and 619 patients that continued in the safety extension phase. Only 347 patients completed the extension phases and were followed for 2 years (or 21 months for the other solid tumor patients). The median duration of exposure for safety analysis for zoledronic acid injection 4 mg (core plus extension phases) was 12.8 months for breast cancer and multiple myeloma, 10.8 months for prostate cancer, and 4 months for other solid tumors.
Table 6 describes adverse events that were reported by 10% or more of patients. Adverse events are listed regardless of presumed causality to study drug.
Table 6: Percentage of Patients with Adverse Events greater than or equal to 10% Reported in Three Bone Metastases Clinical Trials by Body System
| Zoledronic Acid Injection | Pamidronate | Placebo | ||||
| 4 mg | 90 mg | |||||
| n (%) | n (%) | n (%) | ||||
| Patients Studied | ||||||
| Total No. of Patients | 1031 | (100) | 556 | (100) | 455 | (100) |
| Total No. of Patients with any AE | 1015 | (98) | 548 | (99) | 445 | (98) |
| Blood and Lymphatic | ||||||
| Anemia | 344 | (33) | 175 | (32) | 128 | (28) |
| Neutropenia | 124 | (12) | 83 | (15) | 35 | (8) |
| Thrombocytopenia | 102 | (10) | 53 | (10) | 20 | (4) |
| Gastrointestinal | ||||||
| Nausea | 476 | (46) | 266 | (48) | 171 | (38) |
| Vomiting | 333 | (32) | 183 | (33) | 122 | (27) |
| Constipation | 320 | (31) | 162 | (29) | 174 | (38) |
| Diarrhea | 249 | (24) | 162 | (29) | 83 | (18) |
| Abdominal Pain | 143 | (14) | 81 | (15) | 48 | (11) |
| Dyspepsia | 105 | (10) | 74 | (13) | 31 | (7) |
| Stomatitis | 86 | (8) | 65 | (12) | 14 | (3) |
| Sore Throat | 82 | (8) | 61 | (11) | 17 | (4) |
| General Disorders and Administration Site | ||||||
| Fatigue | 398 | (39) | 240 | (43) | 130 | (29) |
| Pyrexia | 328 | (32) | 172 | (31) | 89 | (20) |
| Weakness | 252 | (24) | 108 | (19) | 114 | (25) |
| Edema Lower Limb | 215 | (21) | 126 | (23) | 84 | (19) |
| Rigors | 112 | (11) | 62 | (11) | 28 | (6) |
| Infections | ||||||
| Urinary Tract Infection | 124 | (12) | 50 | (9) | 41 | (9) |
| Upper Respiratory Tract Infection | 101 | (10) | 82 | (15) | 30 | (7) |
| Metabolism | ||||||
| Anorexia | 231 | (22) | 81 | (15) | 105 | (23) |
| Weight Decreased | 164 | (16) | 50 | (9) | 61 | (13) |
| Dehydration | 145 | (14) | 60 | (11) | 59 | (13) |
| Appetite Decreased | 130 | (13) | 48 | (9) | 45 | (10) |
| Musculoskeletal | ||||||
| Bone Pain | 569 | (55) | 316 | (57) | 284 | (62) |
| Myalgia | 239 | (23) | 143 | (26) | 74 | (16) |
| Arthralgia | 216 | (21) | 131 | (24) | 73 | (16) |
| Back Pain | 156 | (15) | 106 | (19) | 40 | (9) |
| Pain in Limb | 143 | (14) | 84 | (15) | 52 | (11) |
| Neoplasms | ||||||
| Malignant Neoplasm Aggravated | 205 | (20) | 97 | (17) | 89 | (20) |
| Nervous | ||||||
| Headache | 191 | (19) | 149 | (27) | 50 | (11) |
| Dizziness (excluding vertigo) | 180 | (18) | 91 | (16) | 58 | (13) |
| Insomnia | 166 | (16) | 111 | (20) | 73 | (16) |
| Paresthesia | 149 | (15) | 85 | (15) | 35 | (8) |
| Hypoesthesia | 127 | (12) | 65 | (12) | 43 | (10) |
| Psychiatric | ||||||
| Depression | 146 | (14) | 95 | (17) | 49 | (11) |
| Anxiety | 112 | (11) | 73 | (13) | 37 | (8) |
| Confusion | 74 | (7) | 39 | (7) | 47 | (10) |
| Respiratory | ||||||
| Dyspnea | 282 | (27) | 155 | (28) | 107 | (24) |
| Cough | 224 | (22) | 129 | (23) | 65 | (14) |
| Skin | ||||||
| Alopecia | 125 | (12) | 80 | (14) | 36 | (8) |
| Dermatitis | 114 | (11) | 74 | (13) | 38 | (8) |
Grade 3 and Grade 4 laboratory abnormalities for serum creatinine, serum calcium, serum phosphorus, and serum magnesium observed in three clinical trials of zoledronic acid injection in patients with bone metastases are shown in Tables 7 and 8.
Table 7: Grade 3 Laboratory Abnormalities for Serum Creatinine, Serum Calcium, Serum Phosphorus, and Serum Magnesium in Three Clinical Trials in Patients with Bone Metastases
| Grade 3 | ||||||
| Laboratory Parameter | Zoledronic Acid Injection | Pamidronate | Placebo | |||
| 4 mg | 90 mg | |||||
| n/N | (%) | n/N | (%) | n/N | (%) | |
| Serum Creatinine1* | 7/529 | (1%) | 4/268 | (2%) | 4/241 | (2%) |
| Hypocalcemia2 | 6/973 | (<1%) | 4/536 | (<1%) | 0/415 | — |
| Hypophosphatemia3 | 115/973 | (12%) | 38/537 | (7%) | 14/415 | (3%) |
| Hypermagnesemia4 | 19/971 | (2%) | 2/535 | (<1%) | 8/415 | (2%) |
| Hypomagnesemia5 | 1/971 | (<1%) | 0/535 | — | 1/415 | (<1%) |
| 1 Grade 3 (>3x Upper Limit of Normal); Grade 4 (>6x Upper Limit of Normal)* Serum creatinine data for all patients randomized after the 15-minute infusion amendment 2 Grade 3 (<7 mg/dL); Grade 4 (<6 mg/dL) 3 Grade 3 (<2 mg/dL); Grade 4 (<1 mg/dL) 4 Grade 3 (>3 mEq/L); Grade 4 (>8 mEq/L) 5 Grade 3 (<0.9 mEq/L); Grade 4 (<0.7 mEq/L) | ||||||
Table 8: Grade 4 Laboratory Abnormalities for Serum Creatinine, Serum Calcium, Serum Phosphorus, and Serum Magnesium in Three Clinical Trials in Patients with Bone Metastases
| Grade 3 | ||||||
| Laboratory Parameter | Zoledronic Acid Injection | Pamidronate | Placebo | |||
| 4 mg | 90 mg | |||||
| n/N | (%) | n/N | (%) | n/N | (%) | |
| Serum Creatinine1* | 7/529 | (1%) | 4/268 | (2%) | 4/241 | (2%) |
| Hypocalcemia2 | 6/973 | (<1%) | 4/536 | (<1%) | 0/415 | — |
| Hypophosphatemia3 | 115/973 | (12%) | 38/537 | (7%) | 14/415 | (3%) |
| Hypermagnesemia4 | 19/971 | (2%) | 2/535 | (<1%) | 8/415 | (2%) |
| Hypomagnesemia5 | 1/971 | (<1%) | 0/535 | — | 1/415 | (<1%) |
| 1 Grade 3 (>3x Upper Limit of Normal); Grade 4 (>6x Upper Limit of Normal)* Serum creatinine data for all patients randomized after the 15-minute infusion amendment 2 Grade 3 (<7 mg/dL); Grade 4 (<6 mg/dL) 3 Grade 3 (<2 mg/dL); Grade 4 (<1 mg/dL) 4 Grade 3 (>3 mEq/L); Grade 4 (>8 mEq/L)5 Grade 3 (<0.9 mEq/L); Grade 4 (<0.7 mEq/L) | ||||||
Among the less frequently occurring adverse events (<15% of patients), rigors, hypokalemia, influenza-like illness, and hypocalcemia showed a trend for more events with bisphosphonate administration (zoledronic acid injection 4 mg and pamidronate groups) compared to the placebo group.
Less common adverse events reported more often with zoledronic acid injection 4 mg than pamidronate included decreased weight, which was reported in 16% of patients in the zoledronic acid injection 4 mg group compared with 9% in the pamidronate group. Decreased appetite was reported in slightly more patients in the zoledronic acid injection 4 mg group (13%) compared with the pamidronate (9%) and placebo (10%) groups, but the clinical significance of these small differences is not clear.
Renal Toxicity
In the bone metastases trials, renal deterioration was defined as an increase of 0.5 mg/dL for patients with normal baseline creatinine (<1.4 mg/dL) or an increase of 1 mg/dL for patients with an abnormal baseline creatinine (≥1.4 mg/dL). The following are data on the incidence of renal deterioration in patients receiving zoledronic acid injection 4 mg over 15 minutes in these trials (see Table 9).
Table 9: Percentage of Patients with Treatment-Emergent Renal Function Deterioration by Baseline Serum Creatinine*
| Patient Population/Baseline Creatinine | ||||
| Multiple Myeloma and Breast Cancer | Zoledronic Acid Injection 4 mg | Pamidronate 90 mg | ||
| n/N | (%) | n/N | (%) | |
| Normal | 27/246 | (11%) | 23/246 | (9%) |
| Abnormal | 2/26 | (8%) | 2/22 | (9%) |
| Total | 29/272 | (11%) | 25/268 | (9%) |
| Solid Tumors | Zoledronic Acid Injection 4 mg | Placebo | ||
| n/N | (%) | n/N | (%) | |
| Normal | 17/154 | (11%) | 10/143 | (7%) |
| Abnormal | 1/11 | (9%) | 1/20 | (5%) |
| Total | 18/165 | (11%) | 11/163 | (7%) |
| Prostate Cancer | Zoledronic Acid Injection 4 mg | Placebo | ||
| n/N | (%) | n/N | (%) | |
| Normal | 12/82 | (15%) | 8/68 | (12%) |
| Abnormal | 4/10 | (40%) | 2/10 | (20%) |
| Total | 16/92 | (17%) | 10/78 | (13%) |
| *Table includes only patients who were randomized to the trial after a protocol amendment that lengthened the infusion duration of zoledronic acid injection to 15 minutes. | ||||
The risk of deterioration in renal function appeared to be related to time on study, whether patients were receiving zoledronic acid injection (4 mg over 15 minutes), placebo, or pamidronate.
In the trials and in postmarketing experience, renal deterioration, progression to renal failure, and dialysis have occurred in patients with normal and abnormal baseline renal function, including patients treated with 4 mg infused over a 15-minute period. There have been instances of this occurring after the initial zoledronic acid injection dose.
6.2 Postmarketing Experience
The following adverse reactions have been reported during postapproval use of zoledronic acid injection. Because these reports are from a population of uncertain size and are subject to confounding factors, it is not possible to reliably estimate their frequency or establish a causal relationship to drug exposure.
Osteonecrosis of the Jaw
Cases of osteonecrosis (primarily involving the jaw but also ofother anatomical sites including hip, femur and external auditorycanal) have been reported predominantly in cancer patients treated with intravenous bisphosphonates including zoledronic acid injection. Many of these patients were also receiving chemotherapy and corticosteroids which may be a risk factor for ONJ. Caution is advised when zoledronic acid injection is administered with anti-angiogenic drugs as an increased incidence of ONJ has been observed with concomitant use of these drugs. Data suggests a greater frequency of reports of ONJ in certain cancers, such as advanced breast cancer and multiple myeloma. The majority of the reported cases are in cancer patients following invasive dental procedures, such as tooth extraction. It is therefore prudent to avoid invasive dental procedures as recovery may be prolonged [see Warnings and Precautions (5.4)].
Acute Phase Reaction
Within three days after zoledronic acid injection administration, an acute phase reaction has been reported, with symptoms including pyrexia, fatigue, bone pain and/or arthralgias, myalgias, chills, and influenza-like illness and arthritis with subsequent joint swelling; these symptoms usually resolve within three days of onset, but resolution could take up to 7 to 14 days. However, some of these symptoms have been reported to persist for a longer duration.
Musculoskeletal Pain
Severe and occasionally incapacitating bone, joint, and/or muscle pain has been reported with bisphosphonate use [see Warnings and Precautions (5.5)].
Atypical Subtrochanteric and Diaphyseal Femoral Fractures
Atypical subtrochanteric and diaphyseal femoral fractures have been reported with bisphosphonate therapy, including zoledronic acid injection [see Warnings and Precautions (5.6)].
Ocular Adverse Events
Cases of uveitis, scleritis, episcleritis, conjunctivitis, iritis, and orbital inflammation including orbital edema have been reported during postmarketing use. In some cases, symptoms resolved with topical steroids.
Hypersensitivity Reactions
There have been rare reports of allergic reaction with intravenous zoledronic acid including angioedema and bronchoconstriction. Very rare cases of anaphylactic reaction/shock have been reported. Cases of Stevens-Johnson syndrome and toxic epidermal necrolysis have also been reported.
Additional adverse reactions reported in postmarketing use include:
CNS: taste disturbance, hyperesthesia, tremor; Special Senses: blurred vision; uveitis; Gastrointestinal: dry mouth; Skin: Increased sweating; Musculoskeletal: muscle cramps; Cardiovascular: hypertension, bradycardia, hypotension (associated with syncope or circulatory collapse primarily in patients with underlying risk factors); Respiratory: bronchospasms, interstitial lung disease (ILD) with positive rechallenge; Renal: hematuria, proteinuria; acquired Fanconi syndrome; General Disorders and Administration Site: weight increase,influenza-like illness (pyrexia, asthenia, fatigue, or malaise) persisting for greater than 30 days;Laboratory Abnormalities: hyperkalemia, hypernatremia, hypocalcemia (cardiac arrhythmias and neurologic adverse events including seizures, tetany, and numbness have been reported due to severe hypocalcemia).
7 Drug Interactions
In vitro studies indicate that the plasma protein binding of zoledronic acid is low, with the unbound fraction ranging from 60% to 77%. In vitro studies also indicate that zoledronic acid does not inhibit microsomal CYP450 enzymes. In vivo studies showed that zoledronic acid is not metabolized, and is excreted into the urine as the intact drug.
7.1 Aminoglycosides And Calcitonin
Caution is advised when bisphosphonates are administered with aminoglycosides or calcitonin, since these agents may have an additive effect to lower serum calcium level for prolonged periods. This effect has not been reported in zoledronic acid injection clinical trials.
7.2 Loop Diuretics
Caution should also be exercised when zoledronic acid injection is used in combination with loop diuretics due to an increased risk of hypocalcemia.
7.3 Nephrotoxic Drugs
Caution is indicated when zoledronic acid injection is used with other potentially nephrotoxic drugs.
7.4 Thalidomide
No dose adjustment for zoledronic acid injection 4 mg is needed when coadministered with thalidomide. In a pharmacokinetic study of 24 patients with multiple myeloma, zoledronic acid injection 4 mg given as a 15-minute infusion was administered either alone or with thalidomide (100 mg once daily on days 1 to 14 and 200 mg once daily on days 15 to 28). Coadministration of thalidomide with zoledronic acid injection did not significantly change the pharmacokinetics of zoledronic acid or creatinine clearance.
8.1 Pregnancy
Pregnancy Category D[see Warnings and Precautions (5.9)]
There are no adequate and well-controlled studies of zoledronic acid injection in pregnant women. Zoledronic acid injection may cause fetal harm when administered to a pregnant woman. Bisphosphonates, such as zoledronic acid injection, are incorporated into the bone matrix and are gradually released over periods of weeks to years. The extent of bisphosphonate incorporation into adult bone, and hence, the amount available for release back into the systemic circulation, is directly related to the total dose and duration of bisphosphonate use. Although there are no data on fetal risk in humans, bisphosphonates do cause fetal harm in animals, and animal data suggest that uptake of bisphosphonates into fetal bone is greater than into maternal bone. Therefore, there is a theoretical risk of fetal harm (e.g., skeletal and other abnormalities) if a woman becomes pregnant after completing a course of bisphosphonate therapy. The impact of variables such as time between cessation of bisphosphonate therapy to conception, the particular bisphosphonate used, and the route of administration (intravenous versus oral) on this risk has not been established. If this drug is used during pregnancy or if the patient becomes pregnant while taking or after taking this drug, the patient should be apprised of the potential hazard to the fetus.
In female rats given subcutaneous doses of zoledronic acid of 0.01, 0.03, or 0.1 mg/kg/day beginning 15 days before mating and continuing through gestation, the number of stillbirths was increased and survival of neonates was decreased in the mid- and high-dose groups (greater than or equal to 0.2 times the human systemic exposure following an intravenous dose of 4 mg, based on an AUC comparison). Adverse maternal effects were observed in all dose groups (with a systemic exposure of greater than or equal to 0.07 times the human systemic exposure following an intravenous dose of 4 mg, based on an AUC comparison) and included dystocia and periparturient mortality in pregnant rats allowed to deliver. Maternal mortality may have been related to drug-induced inhibition of skeletal calcium mobilization, resulting in periparturient hypocalcemia. This appears to be a bisphosphonate-class effect.
In pregnant rats given a subcutaneous dose of zoledronic acid of 0.1, 0.2, or 0.4 mg/kg/day during gestation, adverse fetal effects were observed in the mid- and high-dose groups (with systemic exposures of 2.4 and 4.8 times, respectively, the human systemic exposure following an intravenous dose of 4 mg, based on an AUC comparison). These adverse effects included increases in pre- and postimplantation losses, decreases in viable fetuses, and fetal skeletal, visceral, and external malformations. Fetal skeletal effects observed in the high-dose group included unossified or incompletely ossified bones, thickened, curved, or shortened bones, wavy ribs, and shortened jaw. Other adverse fetal effects observed in the high-dose group included reduced lens, rudimentary cerebellum, reduction or absence of liver lobes, reduction of lung lobes, vessel dilation, cleft palate, and edema. Skeletal variations were also observed in the low-dose group (with systemic exposure of 1.2 times the human systemic exposure following an intravenous dose of 4 mg, based on an AUC comparison). Signs of maternal toxicity were observed in the high-dose group and included reduced body weights and food consumption, indicating that maximal exposure levels were achieved in this study.
In pregnant rabbits given subcutaneous doses of zoledronic acid of 0.01, 0.03, or 0.1 mg/kg/day during gestation (less than or equal to 0.5 times the human intravenous dose of 4 mg, based on a comparison of relative body surface areas), no adverse fetal effects were observed. Maternal mortality and abortion occurred in all treatment groups (at doses greater than or equal to 0.05 times the human intravenous dose of 4 mg, based on a comparison of relative body surface areas). Adverse maternal effects were associated with, and may have been caused by, drug-induced hypocalcemia.
8.3 Nursing Mothers
It is not known whether zoledronic acid is excreted in human milk. Because many drugs are excreted in human milk, and because of the potential for serious adverse reactions in nursing infants from zoledronic acid injection, a decision should be made to discontinue nursing or to discontinue the drug, taking into account the importance of the drug to the mother. Zoledronic acid binds to bone long term and may be released over weeks to years.
8.4 Pediatric Use
Zoledronic acid injection is not indicated for use in children.
The safety and effectiveness of zoledronic acid was studied in a one-year active-controlled trial of 152 pediatric subjects (74 receiving zoledronic acid). The enrolled population was subjects with severe osteogenesis imperfecta, aged 1 to 17 years, 55% male, 84% Caucasian, with a mean lumbar spine bone mineral density (BMD) D of 0.431 gm/cm2, which is 2.7 standard deviations below the mean for age-matched controls (BMD Z-score of -2.7). At one year, increases in BMD were observed in the zoledronic acid treatment group. However, changes in BMD in individual patients with severe osteogenesis imperfecta did not necessarily correlate with the risk for fracture or the incidence or severity of chronic bone pain. The adverse events observed with zoledronic acid injection use in children did not raise any new safety findings beyond those previously seen in adults treated for hypercalcemia of malignancy or bone metastases. However, adverse reactions seen more commonly in pediatric patients included pyrexia (61%), arthralgia (26%), hypocalcemia (22%) and headache (22%). These reactions, excluding arthralgia, occurred most frequently within 3 days after the first infusion and became less common with repeat dosing. Because of long-term retention in bone, zoledronic acid injection should only be used in children if the potential benefit outweighs the potential risk.
Plasma zoledronic acid concentration data was obtained from 10 patients with severe osteogenesis imperfecta (4 in the age group of 3 to 8 years and 6 in the age group of 9 to 17 years) infused with 0.05 mg/kg dose over 30 min. Mean Cmax and AUC(0-last) was 167 ng/mL and 220 ng.h/mL, respectively. The plasma concentration time profile of zoledronic acid in pediatric patients represent a multi-exponential decline, as observed in adult cancer patients at an approximately equivalent mg/kg dose.
8.5 Geriatric Use
Clinical studies of zoledronic acid injection in hypercalcemia of malignancy included 34 patients who were 65 years of age or older. No significant differences in response rate or adverse reactions were seen in geriatric patients receiving zoledronic acid injection as compared to younger patients. Controlled clinical studies of zoledronic acid injection in the treatment of multiple myeloma and bone metastases of solid tumors in patients over age 65 revealed similar efficacy and safety in older and younger patients. Because decreased renal function occurs more commonly in the elderly, special care should be taken to monitor renal function.
10 Overdosage
Clinical experience with acute overdosage of zoledronic acid injection is limited. Two patients received zoledronic acid injection 32 mg over 5 minutes in clinical trials. Neither patient experienced any clinical or laboratory toxicity. Overdosage may cause clinically significant hypocalcemia, hypophosphatemia, and hypomagnesemia. Clinically relevant reductions in serum levels of calcium, phosphorus, and magnesium should be corrected by intravenous administration of calcium gluconate, potassium or sodium phosphate, and magnesium sulfate, respectively.
In an open-label study of zoledronic acid 4 mg in breast cancer patients, a female patient received a single 48-mg dose of zoledronic acid in error. Two days after the overdose, the patient experienced a single episode of hyperthermia (38°C), which resolved after treatment. All other evaluations were normal, and the patient was discharged seven days after the overdose.
A patient with non-Hodgkin’s lymphoma received zoledronic acid 4 mg daily on four successive days for a total dose of 16 mg. The patient developed paresthesia and abnormal liver function tests with increased GGT (nearly 100U/L, each value unknown). The outcome of this case is not known.
In controlled clinical trials, administration of zoledronic acid injection 4 mg as an intravenous infusion over 5 minutes has been shown to increase the risk of renal toxicity compared to the same dose administered as a 15-minute intravenous infusion. In controlled clinical trials, zoledronic acid injection 8 mg has been shown to be associated with an increased risk of renal toxicity compared to zoledronic acid injection 4 mg, even when given as a 15-minute intravenous infusion, and was not associated with added benefit in patients with hypercalcemia of malignancy [see Dosage and Administration (2.4)].
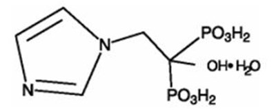
11 Description
Zoledronic acid injection contains zoledronic acid, a bisphosphonic acid which is an inhibitor of osteoclastic bone resorption. Zoledronic acid is designated chemically as (1-Hydroxy-2-imidazol-1-yl-phosphonoethyl) phosphonic acid monohydrate and its structural formula is
Zoledronic acid is white to almost white crystalline solid. Its molecular formula is C5H10N2O7P2 • H2O and its molar mass is 290.1g/Mol. Zoledronic acid is sparingly soluble in 0.1N sodium hydroxide solution. The pH of a 0.7% aqueous solution of zoledronic acid is between 1.5 and 2.5.
Zoledronic acid injection is available in vials as a sterile liquid concentrate solution for intravenous infusion. Each 5 mL vial concentrate contains 4.264 mg of zoledronic acid monohydrate, corresponding to 4 mg zoledronic acid on an anhydrous basis, 220 mg of mannitol, USP, water for injection, and 24 mg of sodium citrate, USP.
Inactive Ingredients: mannitol USP, as bulking agent, sodium citrate, USP, as buffering agent and water for injection as vehicle.
12.1 Mechanism Of Action
The principal pharmacologic action of zoledronic acid is inhibition of bone resorption. Although the antiresorptive mechanism is not completely understood, several factors are thought to contribute to this action. In vitro, zoledronic acid inhibits osteoclastic activity and induces osteoclast apoptosis. Zoledronic acid also blocks the osteoclastic resorption of mineralized bone and cartilage through its binding to bone. Zoledronic acid inhibits the increased osteoclastic activity and skeletal calcium release induced by various stimulatory factors released by tumors.
12.2 Pharmacodynamics
Clinical studies in patients with hypercalcemia of malignancy (HCM) showed that single-dose infusions of zoledronic acid injection are associated with decreases in serum calcium and phosphorus and increases in urinary calcium and phosphorus excretion.
Osteoclastic hyperactivity resulting in excessive bone resorption is the underlying pathophysiologic derangement in hypercalcemia of malignancy (HCM, tumor-induced hypercalcemia) and metastatic bone disease. Excessive release of calcium into the blood as bone is resorbed results in polyuria and gastrointestinal disturbances, with progressive dehydration and decreasing glomerular filtration rate. This, in turn, results in increased renal resorption of calcium, setting up a cycle of worsening systemic hypercalcemia. Reducing excessive bone resorption and maintaining adequate fluid administration are, therefore, essential to the management of hypercalcemia of malignancy.
Patients who have hypercalcemia of malignancy can generally be divided into two groups according to the pathophysiologic mechanism involved: humoral hypercalcemia and hypercalcemia due to tumor invasion of bone. In humoral hypercalcemia, osteoclasts are activated and bone resorption is stimulated by factors such as parathyroid hormone-related protein, which are elaborated by the tumor and circulate systemically. Humoral hypercalcemia usually occurs in squamous cell malignancies of the lung or head and neck or in genitourinary tumors such as renal cell carcinoma or ovarian cancer. Skeletal metastases may be absent or minimal in these patients. Extensive invasion of bone by tumor cells can also result in hypercalcemia due to local tumor products that stimulate bone resorption by osteoclasts. Tumors commonly associated with locally mediated hypercalcemia include breast cancer and multiple myeloma.
Total serum calcium levels in patients who have hypercalcemia of malignancy may not reflect the severity of hypercalcemia, since concomitant hypoalbuminemia is commonly present. Ideally, ionized calcium levels should be used to diagnose and follow hypercalcemic conditions; however, these are not commonly or rapidly available in many clinical situations. Therefore, adjustment of the total serum calcium value for differences in albumin levels (corrected serum calcium, CSC) is often used in place of measurement of ionized calcium; several nomograms are in use for this type of calculation [see Dosage and Administration (2.1)].
12.3 Pharmacokinetics
Pharmacokinetic data in patients with hypercalcemia are not available.
Distribution
Single or multiple (every 28 days) 5-minute or 15-minute infusions of 2, 4, 8, or 16 mg zoledronic acid injection were given to 64 patients with cancer and bone metastases. The postinfusion decline of zoledronic acid concentrations in plasma was consistent with a triphasic process showing a rapid decrease from peak concentrations at end of infusion to less than 1% of Cmax 24 hours postinfusion with population half-lives of t1/2α 0.24 hours and t1/2β 1.87 hours for the early disposition phases of the drug. The terminal elimination phase of zoledronic acid was prolonged, with very low concentrations in plasma between Days 2 and 28 postinfusion, and a terminal elimination half-life t 1/2γ of 146 hours. The area under the plasma concentration versus time curve (AUC0-24h) of zoledronic acid was dose proportional from 2 to 16 mg. The accumulation of zoledronic acid measured over three cycles was low, with mean AUC0-24h ratios for cycles 2 and 3 versus 1 of 1.13 ± 0.30 and 1.16 ± 0.36, respectively.
In vitro and ex vivo studies showed low affinity of zoledronic acid for the cellular components of human blood, with a mean blood to plasma concentration ratio of 0.59 in a concentration range of 30 ng/mL to 5000 ng/mL. In vitro, the plasma protein binding is low, with the unbound fraction ranging from 60% at 2 ng/mL to 77% at 2000 ng/mL of zoledronic acid.
Metabolism
Zoledronic acid does not inhibit human P450 enzymes in vitro. Zoledronic acid does not undergo biotransformation in vivo. In animal studies, less than 3% of the administered intravenous dose was found in the feces, with the balance either recovered in the urine or taken up by bone, indicating that the drug is eliminated intact via the kidney. Following an intravenous dose of 20 nCi 14C-zoledronic acid in a patient with cancer and bone metastases, only a single radioactive species with chromatographic properties identical to those of parent drug was recovered in urine, which suggests that zoledronic acid is not metabolized.
Excretion
In 64 patients with cancer and bone metastases, on average (± SD) 39 ± 16% of the administered zoledronic acid dose was recovered in the urine within 24 hours, with only trace amounts of drug found in urine post-Day 2. The cumulative percent of drug excreted in the urine over 0 to 24 hours was independent of dose. The balance of drug not recovered in urine over 0 to 24 hours, representing drug presumably bound to bone, is slowly released back into the systemic circulation, giving rise to the observed prolonged low plasma concentrations. The 0 to 24 hour renal clearance of zoledronic acid was 3.7 ± 2 L/h.
Zoledronic acid clearance was independent of dose but dependent upon the patient’s creatinine clearance. In a study in patients with cancer and bone metastases, increasing the infusion time of a 4 mg dose of zoledronic acid from 5 minutes (n=5) to 15 minutes (n=7) resulted in a 34% decrease in the zoledronic acid concentration at the end of the infusion ([mean ± SD] 403 ± 118 ng/mL versus 264 ± 86 ng/mL) and a 10% increase in the total AUC (378 ± 116 ng x h/mL versus 420 ± 218 ng x h/mL). The difference between the AUC means was not statistically significant.
Special Populations
Pediatrics
Zoledronic acid injection is not indicated for use in children. [See Use in Specific Populations (8.4)]
Geriatrics
The pharmacokinetics of zoledronic acid were not affected by age in patients with cancer and bone metastases who ranged in age from 38 years to 84 years.
Race
Population pharmacokinetic analyses did not indicate any differences in pharmacokinetics among Japanese and North American (Caucasian and African American) patients with cancer and bone metastases.
Hepatic Insufficiency
No clinical studies were conducted to evaluate the effect of hepatic impairment on the pharmacokinetics of zoledronic acid.
Renal Insufficiency
The pharmacokinetic studies conducted in 64 cancer patients represented typical clinical populations with normal to moderately impaired renal function. Compared to patients with normal renal function (N=37), patients with mild renal impairment (N=15) showed an average increase in plasma AUC of 15%, whereas patients with moderate renal impairment (N=11) showed an average increase in plasma AUC of 43%. Limited pharmacokinetic data are available for zoledronic acid injection in patients with severe renal impairment (creatinine clearance less than 30 mL/min). Based on population PK/PD modeling, the risk of renal deterioration appears to increase with AUC, which is doubled at a creatinine clearance of 10 mL/min. Creatinine clearance is calculated by the Cockcroft-Gault formula:
CrCl = [140-age (years)] x weight (kg) {x 0.85 for female patients}
[72 x serum creatinine (mg/dL)]
Zoledronic acid injection systemic clearance in individual patients can be calculated from the population clearance of zoledronic acid injection, CL (L/h)=6.5(CLcr/90)0.4. These formulae can be used to predict the zoledronic acid injection AUC in patients, where CL = Dose/AUC0-∞. The average AUC0-24 in patients with normal renal function was 0.42 mg•h/L and the calculated AUC0-∞ for a patient with creatinine clearance of 75 mL/min was 0.66 mg•h/L following a 4 mg dose of zoledronic acid injection. However, efficacy and safety of adjusted dosing based on these formulae have not been prospectively assessed [see Warnings and Precautions (5.3)].
13.1 Carcinogenesis, Mutagenesis, Impairment Of Fertility
Standard lifetime carcinogenicity bioassays were conducted in mice and rats. Mice were given oral doses of zoledronic acid of 0.1, 0.5, or 2 mg/kg/day. There was an increased incidence of Harderian gland adenomas in males and females in all treatment groups (at doses greater than or equal to 0.002 times a human intravenous dose of 4 mg, based on a comparison of relative body surface areas). Rats were given oral doses of zoledronic acid of 0.1, 0.5, or 2 mg/kg/day. No increased incidence of tumors was observed (at doses less than or equal to 0.2 times the human intravenous dose of 4 mg, based on a comparison of relative body surface areas).
Zoledronic acid was not genotoxic in the Ames bacterial mutagenicity assay, in the Chinese hamster ovary cell assay, or in the Chinese hamster gene mutation assay, with or without metabolic activation. Zoledronic acid was not genotoxic in the in vivo rat micronucleus assay.
Female rats were given subcutaneous doses of zoledronic acid of 0.01, 0.03, or 0.1 mg/kg/day beginning 15 days before mating and continuing through gestation. Effects observed in the high-dose group (with systemic exposure of 1.2 times the human systemic exposure following an intravenous dose of 4 mg, based on AUC comparison) included inhibition of ovulation and a decrease in the number of pregnant rats. Effects observed in both the mid-dose group (with systemic exposure of 0.2 times the human systemic exposure following an intravenous dose of 4 mg, based on an AUC comparison) and high-dose group included an increase in preimplantation losses and a decrease in the number of implantations and live fetuses.
14.1 Hypercalcemia Of Malignancy
Two identical multicenter, randomized, double-blind, double-dummy studies of zoledronic acid injection 4 mg given as a 5-minute intravenous infusion or pamidronate 90 mg given as a 2-hour intravenous infusion were conducted in 185 patients with hypercalcemia of malignancy (HCM). NOTE: Administration of zoledronic acid injection 4 mg given as a 5-minute intravenous infusion has been shown to result in an increased risk of renal toxicity, as measured by increases in serum creatinine, which can progress to renal failure. The incidence of renal toxicity and renal failure has been shown to be reduced when zoledronic acid injection 4 mg is given as a 15-minute intravenous infusion. Zoledronic acid injection should be administered by intravenous infusion over no less than 15 minutes [see Warnings and Precautions (5.1 and 5.2) and Dosage and Administration (2.4)].The treatment groups in the clinical studies were generally well balanced with regards to age, sex, race, and tumor types. The mean age of the study population was 59 years; 81% were Caucasian, 15% were Black, and 4% were of other races. 60% of the patients were male. The most common tumor types were lung, breast, head and neck, and renal.
In these studies, HCM was defined as a corrected serum calcium (CSC) concentration of greater than or equal to 12 mg/dL (3.00 mmol/L). The primary efficacy variable was the proportion of patients having a complete response, defined as the lowering of the CSC to less than or equal to 10.8 mg/dL (2.70 mmol/L) within 10 days after drug infusion.
To assess the effects of zoledronic acid injection versus those of pamidronate, the two multicenter HCM studies were combined in a preplanned analysis. The results of the primary analysis revealed that the proportion of patients that had normalization of corrected serum calcium by Day 10 were 88% and 70% for zoledronic acid injection 4 mg and pamidronate 90 mg, respectively (P=0.002) (see Figure 1). In these studies, no additional benefit was seen for zoledronic acid injection 8 mg over zoledronic acid injection 4 mg; however, the risk of renal toxicity of zoledronic acid injection 8 mg was significantly greater than that seen with zoledronic acid injection 4 mg.
Figure 1
Secondary efficacy variables from the pooled HCM studies included the proportion of patients who had normalization of corrected serum calcium (CSC) by Day 4; the proportion of patients who had normalization of CSC by Day 7; time to relapse of HCM; and duration of complete response. Time to relapse of HCM was defined as the duration (in days) of normalization of serum calcium from study drug infusion until the last CSC value less than 11.6 mg/dL (less than 2.90 mmol/L). Patients who did not have a complete response were assigned a time to relapse of 0 days. Duration of complete response was defined as the duration (in days) from the occurrence of a complete response until the last CSC less than or equal to 10.8 mg/dL (2.70 mmol/L). The results of these secondary analyses for zoledronic acid injection 4 mg and pamidronate 90 mg are shown in Table 10.
Table 10: Secondary Efficacy Variables in Pooled HCM Studies
| Zoledronic Acid Injection4 mg | Pamidronate 90 mg | |||
| Complete Response | N | Response Rate | N | Response Rate |
| By Day 4 | 86 | 45.3% | 99 | 33.3% |
| By Day 7 | 86 | 82.6%* | 99 | 63.6% |
| Duration of Response | N | Median Duration (Days) | N | Median Duration (Days) |
| Time to Relapse | 86 | 30* | 99 | 17 |
| Duration of Complete Response | 76 | 32 | 69 | 18 |
* P less than 0.05 versus. pamidronate 90 mg.
14.2 Clinical Trials In Multiple Myeloma And Bone Metastases Of Solid Tumors
Table 11 describes an overview of the efficacy population in three randomized zoledronic acid injection trials in patients with multiple myeloma and bone metastases of solid tumors. These trials included a pamidronate-controlled study in breast cancer and multiple myeloma, a placebo-controlled study in prostate cancer, and a placebo-controlled study in other solid tumors. The prostate cancer study required documentation of previous bone metastases and 3 consecutive rising PSAs while on hormonal therapy. The other placebo-controlled solid tumor study included patients with bone metastases from malignancies other than breast cancer and prostate cancer, including NSCLC, renal cell cancer, small cell lung cancer, colorectal cancer, bladder cancer, GI/genitourinary cancer, head and neck cancer, and others. These trials were comprised of a core phase and an extension phase. In the solid tumor, breast cancer and multiple myeloma trials, only the core phase was evaluated for efficacy as a high percentage of patients did not choose to participate in the extension phase. In the prostate cancer trials, both the core and extension phases were evaluated for efficacy showing the zoledronic acid injection effect during the first 15 months was maintained without decrement or improvement for another 9 months. The design of these clinical trials does not permit assessment of whether more than one-year administration of zoledronic acid injection is beneficial. The optimal duration of zoledronic acid injection administration is not known.
The studies were amended twice because of renal toxicity. The zoledronic acid injection infusion duration was increased from 5 minutes to 15 minutes. After all patients had been accrued, but while dosing and follow-up continued, patients in the 8 mg zoledronic acid injection treatment arm were switched to 4 mg due to toxicity. Patients who were randomized to the zoledronic acid injection 8 mg group are not included in these analyses.
| Patient Population | No. of Patients | Zoledronic Acid Injection Dose | Control | Median Duration (Planned Duration) Zoledronic Acid Injection 4 mg |
| Multiple myeloma or metastatic breast cancer | 1,648 | 4 and 8* mg Q3-4 weeks | Pamidronate 90 mg Q3-4 weeks | 12 months (13 months) |
| Metastatic prostate cancer | 643 | 4 and 8* mg Q3 weeks | Placebo | 10.5 months (15 months) |
| Metastatic solid tumor other than breast or prostate cancer | 773 | 4 and 8* mg Q3 weeks | Placebo | 3.8 months (9 months) |
| * Patients who were randomized to the 8 mg zoledronic acid injection group are not included in any of the analyses in this package insert. | ||||
Each study evaluated skeletal-related events (SREs), defined as any of the following: pathologic fracture, radiation therapy to bone, surgery to bone, or spinal cord compression. Change in antineoplastic therapy due to increased pain was a SRE in the prostate cancer study only. Planned analyses included the proportion of patients with a SRE during the study and time to the first SRE. Results for the two zoledronic acid injection placebo-controlled studies are given in Table 12.
| I. Analysis of Proportion of Patients with a SRE1 | II. Analysis of Time to the First SRE | ||||||
| Study | Study Arm & Patient Number | Proportion | Difference2 & 95% CI | P-value | Median (Days) | Hazard Ratio3 & 95% CI | P-value |
| Prostate Cancer | Zoledronic acid injection 4 mg (n=214) | 33% | -11% (-20%, -1%) | 0.02 | Not Reached | 0.67 (0.49, 0.91) | 0.011 |
| Placebo (n=208) | 44% | 321 | |||||
| Solid Tumors | Zoledronic acid injection 4 mg (n=257) | 38% | -7% (-15%, 2%) | 0.13 | 230 | 0.73 (0.55, 0.96) | 0.023 |
| Placebo (n=250) | 44% | 163 | |||||
| 1SRE=Skeletal-Related Event 2Difference for the proportion of patients with a SRE of zoledronic acid injection 4 mg versus placebo. 3Hazard ratio for the first occurrence of a SRE of zoledronic acid injection 4 mg versus placebo. | |||||||
In the breast cancer and myeloma trial, efficacy was determined by a noninferiority analysis comparing zoledronic acid injection to pamidronate 90 mg for the proportion of patients with a SRE. This analysis required an estimation of pamidronate efficacy. Historical data from 1,128 patients in three pamidronate placebo-controlled trials demonstrated that pamidronate decreased the proportion of patients with a SRE by 13.1% (95% CI = 7.3%, 18.9%). Results of the comparison of treatment with zoledronic acid injection compared to pamidronate are given in Table 13.
| I. Analysis of Proportion of Patients with a SRE1 | II. Analysis of Time to the First SRE | ||||||
| Study | Study Arm & Patient Number | Proportion | Difference2 & 95% CI | P-value | Median (Days) | Hazard Ratio3 & 95% CI | P-value |
| Multiple Myeloma & Breast Cancer | Zoledronic acid injection 4 mg (n=561) Pamidronate (n=555) | 44% 46% | -2% (-7.9%, 3.7%) | 0.46 | 373 363 | 0.92 (0.77, 1.09) | 0.32 |
| 1SRE=Skeletal-Related Event 2Difference for the proportion of patients with a SRE of zoledronic acid injection 4 mg versus pamidronate 90 mg. 3Hazard ratio for the first occurrence of a SRE of zoledronic acid injection 4 mg versus pamidronate 90 mg. | |||||||
16 How Supplied/Storage And Handling
Zoledronic acid injection 4 mg per 5 mL single-use vial of concentrate is available as follows:
Carton of 1 Glass Vial NDC 55111-685-07
Store at 20°-25°C (68°-77°F); [see USP Controlled Room Temperature].
17 Patient Counseling Information
Drugs with Same Active Ingredient or in the Same Drug Class
• Inform patients not to take Reclast or other bisphosphonates during the course of their zoledronic acid injection therapy [see Warnings and Precautions (5.1)].
Renal Impairment
• Instruct patients to tell their doctor if they have kidney problems before being given zoledronic acid injection.
• Inform patients of the importance of getting their blood tests (serum creatinine) during the course of their zoledronic acid injection therapy [see Warnings and Precautions (5.3)].
Osteonecrosis of the Jaw
• Advise patients to have a dental examination prior to treatment with zoledronic acid injection and to avoid invasive dental procedures during treatment.
• Inform patients of the importance of good dental hygiene, routine dental care, and regular dental check-ups.
• Advise patients to immediately tell their doctor about any oral symptoms such as loosening of a tooth, pain, swelling, or non-healing of sores or discharge during treatment with zoledronic acid injection [see Warnings and Precautions (5.4)].
Musculoskeletal Pain
• Advise patients to immediately tell their doctor about any severe bone, joint, and/or muscle pain [see Warnings and Precautions (5.5)].
Atypical subtrochanteric and diaphyseal femoral fracture
• Advise patients to report any thigh, hip, or groin pain. It is unknown whether the risk of atypical femur fracture continues after stopping therapy [see Warnings and Precautions (5.6)].
Rx only
Manufactured by:
Gland Pharma Limited
D.P. Pally – 500 043 INDIA
Manufactured for:
Dr. Reddy’s Laboratories Limited
Bachupally – 500 090 INDIA
Revised: 0117
Package Label.Principal Display Panel Section
Vial Labeling:
* Please review the disclaimer below.

