Product Images Bendamustine Hydrochloride

View Photos of Packaging, Labels & Appearance

Product Label Images

The following 6 images provide visual information about the product associated with Bendamustine Hydrochloride NDC 55150-391 by Eugia Us Llc, such as packaging, labeling, and the appearance of the drug itself. This resource could be helpful for medical professionals, pharmacists, and patients seeking to verify medication information and ensure they have the correct product.

Figure 1. Progression-Free Survival - bendamustine fig1

Figure 1. Progression-Free Survival - bendamustine fig1

This is a figure titled "Progression-Free Survival" that demonstrates the survival distribution function for two types of treatments: Bendamustine Hydrochloride and Chlorambucil. It displays the progression-free survival in months for each treatment. No further information is available.*

PACKAGE LABEL-PRINCIPAL DISPLAY PANEL-25 mg per vial - Container Label - bendamustine fig2

PACKAGE LABEL-PRINCIPAL DISPLAY PANEL-25 mg per vial - Container Label - bendamustine fig2

This is a medication with the name "Bendamustine HCI". The package contains a single dose vial with 25mg strength of Bendamustine HCI, USP and 42.5mg of Mannitol, USP. It is required to be stored at 25°C (77°F) and protected from light. The medication should be reconstituted with Sterile Water for Injection and diluted as per the instructions given in the insert. This is a cytotoxic agent and only for Intravenous Infusion. The usual dosage is to be determined by a healthcare professional.*

PACKAGE LABEL-PRINCIPAL DISPLAY PANEL-25 mg per vial - Container-Carton (1 Vial) - bendamustine fig3

PACKAGE LABEL-PRINCIPAL DISPLAY PANEL-25 mg per vial - Container-Carton (1 Vial) - bendamustine fig3

This is a prescription drug called "Bendamustine Hydrochloride". It is a cytotoxic agent and should be used with caution during preparation. It is used for intravenous infusion only and requires reconstitution and dilution before use. It is available in a sterile single-dose vial containing 25 mg of Bendamustine HC1 and 42.5 mg of Mannitol. The vial stopper is not made of natural rubber latex. Recommended dosage and instructions for use are available in the insert. The drug should be stored in the original package at controlled room temperature (up to 25°C). The manufacturer is Eugia US LLC, located in New Jersey, USA.*

PACKAGE LABEL-PRINCIPAL DISPLAY PANEL-100 mg per vial - Container Label - bendamustine fig4

PACKAGE LABEL-PRINCIPAL DISPLAY PANEL-100 mg per vial - Container Label - bendamustine fig4

This is a description of a medication called Hydrochloride for Injection, USP with 100 mg per Vial of Bendamustine HCI, USP and 170 mg Mannitol, designed as a Cytotoxic Agent for Sterile Intravenous Infusion Only. It is a Single-Dose Vial that needs reconstitution and dilution before use. Recommended Dosage can be found in the insert provided, and the medication should be Reconstituted with 20 mL of Sterile Water for Injection, USP to a concentration of 5 mg/mL. It should then be transferred immediately to either 0.9% Sodium Chloride Injection, USP or 2.5% Dextrose/0.45% Sodium Chloride Injection, USP. The medication should be stored in its original package under controlled room temperature and protected from light. Any unused portion of the medication should be discarded.*

PACKAGE LABEL-PRINCIPAL DISPLAY PANEL-100 mg per vial - Container-Carton (1 Vial) - bendamustine fig5

PACKAGE LABEL-PRINCIPAL DISPLAY PANEL-100 mg per vial - Container-Carton (1 Vial) - bendamustine fig5

This is a drug information sheet for Hydrochloride for Injection, USP with NDC 55150-392-01 for intravenous infusion. It is recommended for use with caution during handling and preparation. The drug is contained within a 100mg Sterie single-dose vial and requires reconstitution with 20mL of Sterile Water for Injection, USP. The solution should be further diluted before use. This drug is a cytotoxic agent and gloves and safety glasses are recommended during handling to avoid exposure. The usual dosage should be referred to in the insert. The drug is distributed by Eugia US LLC and contains 100mg Bendamustine HCI, USP and 170mg Mannitol, USP.*

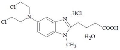
Chemical Structure - bendamustine str

Chemical Structure - bendamustine str

* The product label images have been analyzed using a combination of traditional computing and machine learning techniques. It should be noted that the descriptions provided may not be entirely accurate as they are experimental in nature. Use the information in this page at your own discretion and risk.