FDA Label for Pantoprazole Sodium
View Indications, Usage & Precautions
- 1 INDICATIONS AND USAGE
- 1.1 SHORT-TERM TREATMENT OF EROSIVE ESOPHAGITIS ASSOCIATED WITH GASTROESOPHAGEAL REFLUX DISEASE (GERD)
- 1.2 MAINTENANCE OF HEALING OF EROSIVE ESOPHAGITIS
- 1.3 PATHOLOGICAL HYPERSECRETORY CONDITIONS INCLUDING ZOLLINGER-ELLISON SYNDROME
- 2.1 RECOMMENDED DOSING SCHEDULE
- 2.2 ADMINISTRATION INSTRUCTIONS
- PANTOPRAZOLE SODIUM DELAYED-RELEASE TABLETS
- 3 DOSAGE FORMS AND STRENGTHS
- 4 CONTRAINDICATIONS
- 5.1 PRESENCE OF GASTRIC MALIGNANCY
- 5.2 ACUTE INTERSTITIAL NEPHRITIS
- 5.3 CLOSTRIDIUM DIFFICILE-ASSOCIATED DIARRHEA
- 5.4 BONE FRACTURE
- 5.5 CUTANEOUS AND SYSTEMIC LUPUS ERYTHEMATOSUS
- 5.6 CYANOCOBALAMIN (VITAMIN B-12) DEFICIENCY
- 5.7 HYPOMAGNESEMIA
- 5.8 TUMORIGENICITY
- 5.9 INTERFERENCE WITH URINE SCREEN FOR THC
- 5.10 CONCOMITANT USE OF PANTOPRAZOLE SODIUM DELAYED-RELEASE TABLETS WITH METHOTREXATE
- 6 ADVERSE REACTIONS
- 6.1 CLINICAL TRIALS EXPERIENCE
- ADULTS
- PEDIATRIC PATIENTS
- ZOLLINGER-ELLISON SYNDROME
- 6.2 POSTMARKETING EXPERIENCE
- 7.1 INTERFERENCE WITH ANTIRETROVIRAL THERAPY
- 7.2 COUMARIN ANTICOAGULANTS
- 7.3 CLOPIDOGREL
- 7.4 DRUGS FOR WHICH GASTRIC PH CAN AFFECT BIOAVAILABILITY
- 7.5 FALSE POSITIVE URINE TESTS FOR THC
- 7.6 METHOTREXATE
- PREGNANCY CATEGORY B
- 8.3 NURSING MOTHERS
- 8.4 PEDIATRIC USE
- 1 YEAR THROUGH 16 YEARS OF AGE
- NEONATES TO LESS THAN 1 YEAR OF AGE
- 8.5 GERIATRIC USE
- 8.6 GENDER
- 8.7 PATIENTS WITH HEPATIC IMPAIRMENT
- 10 OVERDOSAGE
- 11 DESCRIPTION
- 12.1 MECHANISM OF ACTION
- 12.2 PHARMACODYNAMICS
- ANTISECRETORY ACTIVITY
- SERUM GASTRIN EFFECTS
- ENTEROCHROMAFFIN-LIKE (ECL) CELL EFFECTS
- 12.3 PHARMACOKINETICS
- ABSORPTION
- DISTRIBUTION
- METABOLISM
- ELIMINATION
- GERIATRIC
- PEDIATRIC
- NEONATE THROUGH 5 YEARS OF AGE
- CHILDREN AND ADOLESCENTS 6 THROUGH 16 YEARS OF AGE
- GENDER
- RENAL IMPAIRMENT
- HEPATIC IMPAIRMENT
- DRUG-DRUG INTERACTIONS
- CLOPIDOGREL
- MYCOPHENOLATE MOFETIL (MMF)
- OTHER EFFECTS
- 12.4 PHARMACOGENOMICS
- 13.1 CARCINOGENESIS, MUTAGENESIS, IMPAIRMENT OF FERTILITY
- 13.2 ANIMAL TOXICOLOGY AND/OR PHARMACOLOGY
- REPRODUCTIVE TOXICOLOGY STUDIES
- 14 CLINICAL STUDIES
- ADULT PATIENTS
- PEDIATRIC PATIENTS AGES 5 YEARS THROUGH 16 YEARS
- 14.2 LONG-TERM MAINTENANCE OF HEALING OF EROSIVE ESOPHAGITIS
- 14.3 PATHOLOGICAL HYPERSECRETORY CONDITIONS INCLUDING ZOLLINGER-ELLISON SYNDROME
- 16 HOW SUPPLIED/STORAGE AND HANDLING
- 17 PATIENT COUNSELING INFORMATION
- MEDICATION GUIDE
- PACKAGE/LABEL DISPLAY PANEL
Pantoprazole Sodium Product Label
The following document was submitted to the FDA by the labeler of this product Cardinal Health 107, Llc. The document includes published materials associated whith this product with the essential scientific information about this product as well as other prescribing information. Product labels may durg indications and usage, generic names, contraindications, active ingredients, strength dosage, routes of administration, appearance, warnings, inactive ingredients, etc.
1 Indications And Usage
Pantoprazole sodium delayed-release tablets are indicated for:
1.1 Short-Term Treatment Of Erosive Esophagitis Associated With Gastroesophageal Reflux Disease (Gerd)
Pantoprazole sodium delayed-release tablets are indicated in adults and pediatric patients 5 years of age and older for the short-term treatment (up to 8 weeks) in the healing and symptomatic relief of erosive esophagitis. For those adult patients who have not healed after 8 weeks of treatment, an additional 8-week course of pantoprazole sodium delayed-release tablets may be considered. Safety of treatment beyond 8 weeks in pediatric patients has not been established.
1.2 Maintenance Of Healing Of Erosive Esophagitis
Pantoprazole sodium delayed-release tablets are indicated for maintenance of healing of erosive esophagitis and reduction in relapse rates of daytime and nighttime heartburn symptoms in adult patients with GERD. Controlled studies did not extend beyond 12 months.
1.3 Pathological Hypersecretory Conditions Including Zollinger-Ellison Syndrome
Pantoprazole sodium delayed-release tablets are indicated for the long-term treatment of pathological hypersecretory conditions, including Zollinger-Ellison syndrome.
2.1 Recommended Dosing Schedule
Pantoprazole sodium is supplied as delayed-release tablets. The recommended dosages are outlined in Table 1.
Indication | Dose | Frequency |
Short-Term Treatment of Erosive Esophagitis Associated with GERD | ||
Adults | 40 mg | Once daily for up to 8 weeks For adult patients who have not healed after 8 weeks of treatment, an additional 8-week course of pantoprazole sodium delayed-release tablets may be considered. |
Children (5 years and older) | ||
≥ 15 kg to < 40 kg | 20 mg | Once daily for up to 8 weeks |
≥ 40 kg | 40 mg | |
Maintenance of Healing of Erosive Esophagitis | ||
Adults | 40 mg | Once daily Controlled studies did not extend beyond 12 months. |
Pathological Hypersecretory Conditions Including Zollinger-Ellison Syndrome | ||
Adults | 40 mg | Twice daily Dosage regimens should be adjusted to individual patient needs and should continue for as long as clinically indicated. Doses up to 240 mg daily have been administered. |
2.2 Administration Instructions
Directions for method of administration for the delayed-release tablet dosage form are presented in Table 2.
Formulation | Route | Instructions Patients should be cautioned that pantoprazole sodium delayed-release tablets should not be split, chewed, or crushed. |
Delayed-Release Tablets | Oral | Swallowed whole, with or without food |
Pantoprazole Sodium Delayed-Release Tablets
Pantoprazole sodium delayed-release tablets should be swallowed whole, with or without food in the stomach. If patients are unable to swallow a 40 mg tablet, two 20 mg tablets may be taken. Concomitant administration of antacids does not affect the absorption of pantoprazole sodium delayed-release tablets.
3 Dosage Forms And Strengths
Pantoprazole Sodium Delayed-Release Tablets, USP are available containing pantoprazole sodium, USP equivalent to 20 mg or 40 mg of pantoprazole.
• The 20 mg tablets are dark yellow, film-coated, oval, unscored tablets imprinted with M P8 in
black ink on one side of the tablet and blank on the other side.• The 40 mg tablets are dark yellow, film-coated, oval, unscored tablets imprinted with M P9 in
black ink on one side of the tablet and blank on the other side.
4 Contraindications
Pantoprazole sodium delayed-release tablets are contraindicated in patients with known hypersensitivity to any component of the formulation or any substituted benzimidazole. Hypersensitivity reactions may include anaphylaxis, anaphylactic shock, angioedema, bronchospasm, acute interstitial nephritis, and urticaria [see Adverse Reactions (6)] .
5.1 Presence Of Gastric Malignancy
In adults, symptomatic response to therapy with pantoprazole sodium delayed-release tablets does not preclude the presence of gastric malignancy. Consider additional follow-up and diagnostic testing in adult patients who have a suboptimal response or an early symptomatic relapse after completing treatment with a PPI. In older patients, also consider an endoscopy.
5.2 Acute Interstitial Nephritis
Acute interstitial nephritis has been observed in patients taking PPIs including pantoprazole sodium delayed-release tablets. Acute interstitial nephritis may occur at any point during PPI therapy and is generally attributed to an idiopathic hypersensitivity reaction. Discontinue pantoprazole sodium delayed-release tablets if acute interstitial nephritis develops [see Contraindications (4)] .
5.3 Clostridium Difficile-Associated Diarrhea
Published observational studies suggest that PPI therapy like pantoprazole sodium delayed-release tablets may be associated with an increased risk of Clostridium difficile-associated diarrhea, especially in hospitalized patients. This diagnosis should be considered for diarrhea that does not improve [see Adverse Reactions (6.2)].
Patients should use the lowest dose and shortest duration of PPI therapy appropriate to the condition being treated.
5.4 Bone Fracture
Several published observational studies suggest that proton pump inhibitor (PPI) therapy may be associated with an increased risk for osteoporosis-related fractures of the hip, wrist, or spine. The risk of fracture was increased in patients who received high-dose, defined as multiple daily doses, and long-term PPI therapy (a year or longer). Patients should use the lowest dose and shortest duration of PPI therapy appropriate to the condition being treated. Patients at risk for osteoporosis-related fractures should be managed according to established treatment guidelines [see Dosage and Administration (2) and Adverse Reactions (6.2)].
5.5 Cutaneous And Systemic Lupus Erythematosus
erythematosus Cutaneous lupus erythematosus (CLE) and systemic lupus erythematosus (SLE) have been reported in patients taking PPIs, including pantoprazole. These events have occurred as both new onset and an exacerbation of existing autoimmune disease. The majority of PPI-induced lupus erythematosus cases were CLE.
The most common form of CLE reported in patients treated with PPIs was subacute CLE (SCLE) and occurred within weeks to years after continuous drug therapy in patients ranging from infants to the elderly. Generally, histological findings were observed without organ involvement.
Systemic lupus erythematosus (SLE) is less commonly reported than CLE in patients receiving PPIs. PPI associated SLE is usually milder than non-drug induced SLE. Onset of SLE typically occurred within days to years after initiating treatment primarily in patients ranging from young adults to the elderly. The majority of patients presented with rash; however, arthralgia and cytopenia were also reported.
Avoid administration of PPIs for longer than medically indicated. If signs or symptoms consistent with CLE or SLE are noted in patients receiving pantoprazole sodium delayed-release tablets, discontinue the drug and refer the patient to the appropriate specialist for evaluation. Most patients improve with discontinuation of the PPI alone in 4 to 12 weeks. Serological testing (e.g., ANA) may be positive and elevated serological test results may take longer to resolve than clinical manifestations.
5.6 Cyanocobalamin (Vitamin B-12) Deficiency
Generally, daily treatment with any acid-suppressing medications over a long period of time (e.g., longer than 3 years) may lead to malabsorption of cyanocobalamin (Vitamin B-12) caused by hypo- or achlorhydria. Rare reports of cyanocobalamin deficiency occurring with acid-suppressing therapy have been reported in the literature. This diagnosis should be considered if clinical symptoms consistent with cyanocobalamin deficiency are observed.
5.7 Hypomagnesemia
Hypomagnesemia, symptomatic and asymptomatic, has been reported rarely in patients treated with PPIs for at least 3 months, in most cases after a year of therapy. Serious adverse events include tetany, arrhythmias, and seizures. In most patients, treatment of hypomagnesemia required magnesium replacement and discontinuation of the PPI.
For patients expected to be on prolonged treatment or who take PPIs with medications such as digoxin or drugs that may cause hypomagnesemia (e.g., diuretics), healthcare professionals may consider monitoring magnesium levels prior to initiation of PPI treatment and periodically [see Adverse Reactions (6.2)].
5.8 Tumorigenicity
Due to the chronic nature of GERD, there may be a potential for prolonged administration of pantoprazole sodium delayed-release tablets. In long-term rodent studies, pantoprazole was carcinogenic and caused rare types of gastrointestinal tumors. The relevance of these findings to tumor development in humans is unknown [see Nonclinical Toxicology (13.1)].
5.9 Interference With Urine Screen For Thc
5.10 Concomitant Use Of Pantoprazole Sodium Delayed-Release Tablets With Methotrexate
Literature suggests that concomitant use of PPIs with methotrexate (primarily at high dose; see methotrexate prescribing information) may elevate and prolong serum levels of methotrexate and/or its metabolite, possibly leading to methotrexate toxicities. In high-dose methotrexate administration, a temporary withdrawal of the PPI may be considered in some patients [see Drug Interactions (7.6)].
6 Adverse Reactions
The following serious adverse reactions are described below and elsewhere in labeling:
• Acute Interstitial Nephritis [see Warnings and Precautions (5.2)]• Clostridium difficile-Associated Diarrhea [see Warnings and Precautions (5.3)]• Bone Fracture [see Warnings and Precautions (5.4)]• Cutaneous and Systemic Lupus Erythematosus [see Warnings and Precautions (5.5)]• Cyanocobalamin (Vitamin B-12) Deficiency [see Warnings and Precautions (5.6)]• Hypomagnesemia [see Warnings and Precautions (5.7)]
6.1 Clinical Trials Experience
Because clinical trials are conducted under widely varying conditions, adverse reaction rates observed in the clinical trials of a drug cannot be directly compared to rates in the clinical trials of another drug and may not reflect the rates observed in clinical practice.
Adults
Safety in 9 randomized comparative U.S. clinical trials in patients with GERD included 1,473 patients on oral pantoprazole sodium delayed-release tablets (20 mg or 40 mg), 299 patients on an H 2-receptor antagonist, 46 patients on another proton pump inhibitor, and 82 patients on placebo. The most frequently occurring adverse reactions are listed in Table 3.
| Pantoprazole Sodium Delayed-Release Tablets | Comparators | Placebo |
Headache | 12.2 | 12.8 | 8.5 |
Diarrhea | 8.8 | 9.6 | 4.9 |
Nausea | 7.0 | 5.2 | 9.8 |
Abdominal pain | 6.2 | 4.1 | 6.1 |
Vomiting | 4.3 | 3.5 | 2.4 |
Flatulence | 3.9 | 2.9 | 3.7 |
Dizziness | 3.0 | 2.9 | 1.2 |
Arthralgia | 2.8 | 1.4 | 1.2 |
Additional adverse reactions that were reported for pantoprazole sodium delayed-release tablets in clinical trials with a frequency of ≤ 2% are listed below by body system:
Body as a Whole: allergic reaction, pyrexia, photosensitivity reaction, facial edema
Gastrointestinal: constipation, dry mouth, hepatitis
Hematologic: leukopenia, thrombocytopenia
Metabolic/Nutritional: elevated CK (creatine kinase), generalized edema, elevated triglycerides, liver enzymes elevated
Musculoskeletal: myalgia
Nervous: depression, vertigo
Skin and Appendages: urticaria, rash, pruritus
Special Senses: blurred vision
Pediatric Patients
Safety of pantoprazole in the treatment of Erosive Esophagitis (EE) associated with GERD was evaluated in pediatric patients ages 1 year through 16 years in 3 clinical trials. Safety trials involved pediatric patients with EE; however, as EE is uncommon in the pediatric population, 249 pediatric patients with endoscopically-proven or symptomatic GERD were also evaluated. All adult adverse reactions to pantoprazole sodium delayed-release tablets are considered relevant to pediatric patients. In patients ages 1 year through 16 years, the most commonly reported (> 4%) adverse reactions include: URI, headache, fever, diarrhea, vomiting, rash, and abdominal pain.
For safety information in patients less than 1 year of age see Use in Specific Populations (8.4).
Additional adverse reactions that were reported for pantoprazole in pediatric patients in clinical trials with a frequency of ≤ 4% are listed below by body system:
Body as a Whole: allergic reaction, facial edema
Gastrointestinal: constipation, flatulence, nausea
Metabolic/Nutritional: elevated triglycerides, elevated liver enzymes, elevated CK (creatine kinase)
Musculoskeletal: arthralgia, myalgia
Nervous: dizziness, vertigo
Skin and Appendages: urticaria
The following adverse reactions seen in adults in clinical trials were not reported in pediatric patients in clinical trials, but are considered relevant to pediatric patients: photosensitivity reaction, dry mouth, hepatitis, thrombocytopenia, generalized edema, depression, pruritus, leukopenia, and blurred vision.
Zollinger-Ellison Syndrome
In clinical studies of Zollinger-Ellison syndrome, adverse reactions reported in 35 patients taking pantoprazole 80 mg/day to 240 mg/day for up to 2 years were similar to those reported in adult patients with GERD.
6.2 Postmarketing Experience
The following adverse reactions have been identified during postapproval use of pantoprazole sodium delayed-release tablets. Because these reactions are reported voluntarily from a population of uncertain size, it is not always possible to reliably estimate their frequency or establish a causal relationship to drug exposure.
These adverse reactions are listed below by body system:
General Disorders and Administration Conditions: asthenia, fatigue, malaise
Hematologic: pancytopenia, agranulocytosis
Hepatobiliary Disorders: hepatocellular damage leading to jaundice and hepatic failure
Immune System Disorders: anaphylaxis (including anaphylactic shock), systemic lupus erythematosus
Infections and Infestations: Clostridium difficile- associated diarrhea
Investigations: weight changes
Metabolism and Nutritional Disorders: hyponatremia, hypomagnesemia
Musculoskeletal Disorders: rhabdomyolysis, bone fracture
Nervous: ageusia, dysgeusia
Psychiatric Disorders: hallucination, confusion, insomnia, somnolence
Renal and Urinary Disorders: interstitial nephritis
Skin and Subcutaneous Tissue Disorders: severe dermatologic reactions (some fatal), including erythema multiforme, Stevens-Johnson syndrome, toxic epidermal necrolysis (TEN, some fatal), angioedema (Quincke’s edema), and cutaneous lupus erythematosus
7.1 Interference With Antiretroviral Therapy
Concomitant use of atazanavir or nelfinavir with proton pump inhibitors is not recommended. Co-administration of atazanavir or nelfinavir with proton pump inhibitors is expected to substantially decrease atazanavir or nelfinavir plasma concentrations and may result in a loss of therapeutic effect and development of drug resistance.
7.2 Coumarin Anticoagulants
There have been postmarketing reports of increased INR and prothrombin time in patients receiving proton pump inhibitors, including pantoprazole sodium delayed-release tablets, and warfarin concomitantly. Increases in INR and prothrombin time may lead to abnormal bleeding and even death. Patients treated with proton pump inhibitors and warfarin concomitantly should be monitored for increases in INR and prothrombin time.
7.3 Clopidogrel
Concomitant administration of pantoprazole and clopidogrel in healthy subjects had no clinically important effect on exposure to the active metabolite of clopidogrel or clopidogrel-induced platelet inhibition [see Clinical Pharmacology (12.3)]. No dose adjustment of clopidogrel is necessary when administered with an approved dose of pantoprazole sodium delayed-release tablets.
7.4 Drugs For Which Gastric Ph Can Affect Bioavailability
Due to its effects on gastric acid secretion, pantoprazole can reduce the absorption of drugs where gastric pH is an important determinant of their bioavailability. Like with other drugs that decrease the intragastric acidity, the absorption of drugs such as ketoconazole, ampicillin esters, atazanavir, iron salts, erlotinib, and mycophenolate mofetil (MMF) can decrease.
Co-administration of pantoprazole in healthy subjects and in transplant patients receiving MMF has been reported to reduce the exposure to the active metabolite, mycophenolic acid (MPA), possibly due to a decrease in MMF solubility at an increased gastric pH. The clinical relevance of reduced MPA exposure on organ rejection has not been established in transplant patients receiving pantoprazole sodium delayed-release tablets and MMF. Use pantoprazole sodium delayed-release tablets with caution in transplant patients receiving MMF [see Clinical Pharmacology (12.3)] .
7.5 False Positive Urine Tests For Thc
There have been reports of false positive urine screening tests for tetrahydrocannabinol (THC) in patients receiving proton pump inhibitors. An alternative confirmatory method should be considered to verify positive results.
7.6 Methotrexate
Case reports, published population pharmacokinetic studies, and retrospective analyses suggest that concomitant administration of PPIs and methotrexate (primarily at high dose; see methotrexate prescribing information) may elevate and prolong serum levels of methotrexate and/or its metabolite hydroxymethotrexate. However, no formal drug interaction studies of methotrexate with PPIs have been conducted [see Warnings and Precautions (5.10)].
Pregnancy Category B
Reproduction studies have been performed in rats at oral doses up to 88 times the recommended human dose and in rabbits at oral doses up to 16 times the recommended human dose and have revealed no evidence of impaired fertility or harm to the fetus due to pantoprazole. There are, however, no adequate and well-controlled studies in pregnant women. Because animal reproduction studies are not always predictive of human response, this drug should be used during pregnancy only if clearly needed [see Nonclinical Toxicology (13.2)] .
8.3 Nursing Mothers
Pantoprazole and its metabolites are excreted in the milk of rats. Pantoprazole excretion in human milk has been detected in a study of a single nursing mother after a single 40 mg oral dose. The clinical relevance of this finding is not known. Many drugs which are excreted in human milk have a potential for serious adverse reactions in nursing infants. Based on the potential for tumorigenicity shown for pantoprazole in rodent carcinogenicity studies, a decision should be made whether to discontinue nursing or to discontinue the drug, taking into account the benefit of the drug to the mother.
8.4 Pediatric Use
The safety and effectiveness of pantoprazole for short-term treatment (up to 8 weeks) of erosive esophagitis (EE) associated with GERD have been established in pediatric patients 1 year through 16 years of age. Effectiveness for EE has not been demonstrated in patients less than 1 year of age. In addition, for patients less than 5 years of age, there is no appropriate dosage strength in an age-appropriate formulation available. Therefore, pantoprazole sodium delayed-release tablets are indicated for the short-term treatment of EE associated with GERD for patients 5 years and older. The safety and effectiveness of pantoprazole sodium delayed-release tablets for pediatric uses other than EE have not been established.
1 Year Through 16 Years Of Age
Use of pantoprazole in pediatric patients 1 year through 16 years of age for short-term treatment (up to 8 weeks) of EE associated with GERD is supported by: a) extrapolation of results from adequate and well-controlled studies that supported the approval of pantoprazole sodium delayed-release tablets for treatment of EE associated with GERD in adults, and b) safety, effectiveness, and pharmacokinetic studies performed in pediatric patients [see Clinical Studies (14.1) and Clinical Pharmacology (12.3)] .
Safety of pantoprazole in the treatment of EE associated with GERD in pediatric patients 1 through 16 years of age was evaluated in 3 multicenter, randomized, double-blind, parallel-treatment studies, involving 249 pediatric patients, including 8 with EE (4 patients ages 1 year to 5 years and 4 patients 5 years to 11 years). The children ages 1 year to 5 years with endoscopically diagnosed EE (defined as an endoscopic Hetzel-Dent score ≥ 2) were treated once daily for 8 weeks with one of two dose levels of pantoprazole (approximating 0.6 mg/kg or 1.2 mg/kg). All 4 of these patients with EE were healed (Hetzel-Dent score of 0 or 1) at 8 weeks. Because EE is uncommon in the pediatric population, predominantly pediatric patients with endoscopically-proven or symptomatic GERD were also included in these studies. Patients were treated with a range of doses of pantoprazole once daily for 8 weeks. For safety findings see Adverse Reactions (6.1). Because these pediatric trials had no placebo, active comparator, or evidence of a dose response, the trials were inconclusive regarding the clinical benefit of pantoprazole for symptomatic GERD in the pediatric population. The effectiveness of pantoprazole for treating symptomatic GERD in pediatric patients has not been established.
Although the data from the clinical trials support use of pantoprazole sodium for the short-term treatment of EE associated with GERD in pediatric patients 1 year through 5 years, there is no commercially available dosage formulation appropriate for patients less than 5 years of age [see Dosage and Administration (2)] .
In a population pharmacokinetic analysis, clearance values in the children 1 to 5 years old with endoscopically proven GERD had a median value of 2.4 L/h. Following a 1.2 mg/kg equivalent dose (15 mg for ≤ 12.5 kg and 20 mg for > 12.5 kg to < 25 kg), the plasma concentrations of pantoprazole were highly variable and the median time to peak plasma concentration was 3 to 6 hours. The estimated AUC for patients 1 to 5 years old was 37% higher than for adults receiving a single 40 mg tablet, with a geometric mean AUC value of 6.8 μg•hr/mL.
Neonates To Less Than 1 Year Of Age
Pantoprazole was not found to be effective in a multicenter, randomized, double-blind, placebo-controlled, treatment-withdrawal study of 129 pediatric patients 1 through 11 months of age. Patients were enrolled if they had symptomatic GERD based on medical history and had not responded to non-pharmacologic interventions for GERD for 2 weeks. Patients received pantoprazole daily for 4 weeks in an open-label phase, then patients were randomized in equal proportion to receive pantoprazole treatment or placebo for the subsequent 4 weeks in a double-blind manner. Efficacy was assessed by observing the time from randomization to study discontinuation due to symptom worsening during the 4-week treatment-withdrawal phase. There was no statistically significant difference between pantoprazole and placebo in the rate of discontinuation.
In this trial, the adverse reactions that were reported more commonly (difference of ≥ 4%) in the treated population compared to the placebo population were elevated CK, otitis media, rhinitis, and laryngitis.
In a population pharmacokinetic analysis, the systemic exposure was higher in patients less than 1 year of age with GERD compared to adults who received a single 40 mg dose (geometric mean AUC was 103% higher in preterm infants and neonates receiving single dose of 2.5 mg of pantoprazole, and 23% higher in infants 1 through 11 months of age receiving a single dose of approximately 1.2 mg/kg). In these patients, the apparent clearance (CL/F) increased with age (median clearance: 0.6 L/hr, range: 0.03 to 3.2 L/hr).
These doses resulted in pharmacodynamic effects on gastric but not esophageal pH. Following once daily dosing of 2.5 mg of pantoprazole in preterm infants and neonates, there was an increase in the mean gastric pH (from 4.3 at baseline to 5.2 at steady-state) and in the mean % time that gastric pH was > 4 (from 60% at baseline to 80% at steady-state). Following once daily dosing of approximately 1.2 mg/kg of pantoprazole in infants 1 through 11 months of age, there was an increase in the mean gastric pH (from 3.1 at baseline to 4.2 at steady state) and in the mean % time that gastric pH was > 4 (from 32% at baseline to 60% at steady state). However, no significant changes were observed in mean intraesophageal pH or % time that esophageal pH was < 4 in either age group.
Because pantoprazole was not shown to be effective in the randomized, placebo-controlled study in this age group, the use of pantoprazole for treatment of symptomatic GERD in infants less than 1 year of age is not indicated.
8.5 Geriatric Use
In short-term U.S. clinical trials, erosive esophagitis healing rates in the 107 elderly patients (≥ 65 years old) treated with pantoprazole sodium delayed-release tablets were similar to those found in patients under the age of 65. The incidence rates of adverse reactions and laboratory abnormalities in patients aged 65 years and older were similar to those associated with patients younger than 65 years of age.
8.6 Gender
Erosive esophagitis healing rates in the 221 women treated with pantoprazole sodium delayed-release tablets in U.S. clinical trials were similar to those found in men. In the 122 women treated long-term with pantoprazole sodium delayed-release tablets 40 mg or 20 mg, healing was maintained at a rate similar to that in men. The incidence rates of adverse reactions were also similar for men and women.
8.7 Patients With Hepatic Impairment
Doses higher than 40 mg/day have not been studied in patients with hepatic impairment [see Clinical Pharmacology (12.3)] .
10 Overdosage
Experience in patients taking very high doses of pantoprazole sodium delayed-release tablets (> 240 mg) is limited. Spontaneous postmarketing reports of overdose are generally within the known safety profile of pantoprazole sodium delayed-release tablets.
Pantoprazole is not removed by hemodialysis. In case of overdosage, treatment should be symptomatic and supportive.
Single oral doses of pantoprazole at 709 mg/kg, 798 mg/kg, and 887 mg/kg were lethal to mice, rats, and dogs, respectively. The symptoms of acute toxicity were hypoactivity, ataxia, hunched sitting, limb-splay, lateral position, segregation, absence of ear reflex, and tremor.
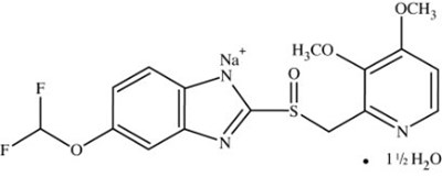
11 Description
The active ingredient in pantoprazole sodium delayed-release tablets, USP is a substituted benzimidazole, sodium salt of 5-(difluoromethoxy)-2-[[(3,4-dimethoxy-2-pyridinyl)methyl]sulfinyl]-1 H-benzimidazole sesquihydrate, a compound that inhibits gastric acid secretion. Its molecular formula is C 16H 14F 2N 3NaO 4S x 1.5 H 2O, with a molecular weight of 432.36. The structural formula is:
Pantoprazole sodium sesquihydrate is a white to off-white crystalline powder and is racemic. Pantoprazole has weakly basic and acidic properties. Pantoprazole sodium sesquihydrate is freely soluble in water, very slightly soluble in phosphate buffer at pH 7.4, and practically insoluble in n-hexane.
The stability of the compound in aqueous solution is pH-dependent. The rate of degradation increases with decreasing pH. At ambient temperature, the degradation half-life is approximately 2.8 hours at pH 5 and approximately 220 hours at pH 7.8.
Pantoprazole sodium, USP is supplied as a delayed-release tablet, available in two strengths (20 mg and 40 mg).
Each pantoprazole sodium delayed-release tablet contains 45.10 mg or 22.55 mg of pantoprazole sodium sesquihydrate (equivalent to 40 mg or 20 mg pantoprazole, respectively) with the following inactive ingredients: anhydrous sodium carbonate, calcium stearate, crospovidone, hypromellose, mannitol, methacrylic acid copolymer, povidone, propylene glycol, titanium dioxide, triethyl citrate, and yellow iron oxide. The black imprinting ink contains black iron oxide, propylene glycol, and shellac glaze.
Meets USP Dissolution Test 3.
12.1 Mechanism Of Action
Pantoprazole is a proton pump inhibitor (PPI) that suppresses the final step in gastric acid production by covalently binding to the (H +, K +)-ATPase enzyme system at the secretory surface of the gastric parietal cell. This effect leads to inhibition of both basal and stimulated gastric acid secretion, irrespective of the stimulus. The binding to the (H +, K +)-ATPase results in a duration of antisecretory effect that persists longer than 24 hours for all doses tested (20 mg to 120 mg).
12.2 Pharmacodynamics
Pantoprazole sodium for delayed-release oral suspension, 40 mg has been shown to be comparable to pantoprazole sodium delayed-release tablets in suppressing pentagastrin-stimulated MAO in patients (n = 49) with GERD and a history of EE. In this multicenter, pharmacodynamic crossover study, a 40 mg oral dose of pantoprazole sodium for delayed-release oral suspension administered in a teaspoonful of applesauce was compared with a 40 mg oral dose of pantoprazole sodium delayed-release tablets after administration of each formulation once daily for 7 days. Both medications were administered 30 minutes before breakfast. Pentagastrin-stimulated (MAO) was assessed from hour 23 to 24 at steady-state.
Antisecretory Activity
Under maximal acid stimulatory conditions using pentagastrin, a dose-dependent decrease in gastric acid output occurs after a single dose of oral (20 mg to 80 mg) or a single dose of intravenous (20 mg to 120 mg) pantoprazole in healthy volunteers. Pantoprazole given once daily results in increasing inhibition of gastric acid secretion. Following the initial oral dose of 40 mg pantoprazole, a 51% mean inhibition was achieved by 2.5 hours. With once-a-day dosing for 7 days, the mean inhibition was increased to 85%. Pantoprazole suppressed acid secretion in excess of 95% in half of the subjects. Acid secretion had returned to normal within a week after the last dose of pantoprazole; there was no evidence of rebound hypersecretion.
In a series of dose-response studies, pantoprazole, at oral doses ranging from 20 mg to 120 mg, caused dose-related increases in median basal gastric pH and in the percent of time gastric pH was > 3 and > 4. Treatment with 40 mg of pantoprazole produced significantly greater increases in gastric pH than the 20 mg dose. Doses higher than 40 mg (60 mg, 80 mg, and 120 mg) did not result in further significant increases in median gastric pH. The effects of pantoprazole on median pH from one double-blind crossover study are shown in Table 4.
Median pH on Day 7 | ||||
Time | Placebo | 20 mg | 40 mg | 80 mg |
8 a.m. to 8 a.m. | 1.3 | 2.9 Significantly different from placebo | 3.8 Significantly different from 20 mg | 3.9 |
8 a.m. to 10 p.m. | 1.6 | 3.2 | 4.4 | 4.8 |
10 p.m. to 8 a.m. | 1.2 | 2.1 | 3.0 | 2.6 |
Serum Gastrin Effects
Fasting serum gastrin levels were assessed in 2 double-blind studies of the acute healing of erosive esophagitis (EE) in which 682 patients with gastroesophageal reflux disease (GERD) received 10 mg, 20 mg, or 40 mg of pantoprazole for up to 8 weeks. At 4 weeks of treatment there was an increase in mean gastrin levels of 7%, 35%, and 72% over pretreatment values in the 10 mg, 20 mg, and 40 mg treatment groups, respectively. A similar increase in serum gastrin levels was noted at the 8-week visit with mean increases of 3%, 26%, and 84% for the 3 pantoprazole dose groups. Median serum gastrin levels remained within normal limits during maintenance therapy with pantoprazole sodium delayed-release tablets.
In long-term international studies involving over 800 patients, a 2- to 3-fold mean increase from the pretreatment fasting serum gastrin level was observed in the initial months of treatment with pantoprazole at doses of 40 mg per day during GERD maintenance studies and 40 mg or higher per day in patients with refractory GERD. Fasting serum gastrin levels generally remained at approximately 2 to 3 times baseline for up to 4 years of periodic follow-up in clinical trials.
Following short-term treatment with pantoprazole sodium delayed-release tablets, elevated gastrin levels return to normal by at least 3 months.
Enterochromaffin-Like (Ecl) Cell Effects
In 39 patients treated with oral pantoprazole 40 mg to 240 mg daily (majority receiving 40 mg to 80 mg) for up to 5 years, there was a moderate increase in ECL-cell density, starting after the first year of use, which appeared to plateau after 4 years.
In a nonclinical study in Sprague-Dawley rats, lifetime exposure (24 months) to pantoprazole at doses of 0.5 mg/kg/day to 200 mg/kg/day resulted in dose-related increases in gastric ECL cell proliferation and gastric neuroendocrine (NE)-cell tumors. Gastric NE-cell tumors in rats may result from chronic elevation of serum gastrin concentrations. The high density of ECL cells in the rat stomach makes this species highly susceptible to the proliferative effects of elevated gastrin concentrations produced by proton pump inhibitors. However, there were no observed elevations in serum gastrin following the administration of pantoprazole at a dose of 0.5 mg/kg/day. In a separate study, a gastric NE-cell tumor without concomitant ECL-cell proliferative changes was observed in 1 female rat following 12 months of dosing with pantoprazole at 5 mg/kg/day and a 9 month off-dose recovery [see Nonclinical Toxicology (13.1)] .
12.3 Pharmacokinetics
Pantoprazole sodium delayed-release tablets are prepared as enteric-coated tablets so that absorption of pantoprazole begins only after the tablet leaves the stomach. Peak serum concentration (C max) and area under the serum concentration time curve (AUC) increase in a manner proportional to oral and intravenous doses from 10 mg to 80 mg. Pantoprazole does not accumulate, and its pharmacokinetics are unaltered with multiple daily dosing. Following oral or intravenous administration, the serum concentration of pantoprazole declines biexponentially, with a terminal elimination half-life of approximately 1 hour.
In extensive metabolizers with normal liver function receiving an oral dose of the enteric-coated 40 mg pantoprazole tablet, the peak concentration (C max) is 2.5 µg/mL; the time to reach the peak concentration (t max) is 2.5 h, and the mean total area under the plasma concentration vs. time curve (AUC) is 4.8 µg •h/mL (range 1.4 to 13.3 µg •h/mL). Following intravenous administration of pantoprazole to extensive metabolizers, its total clearance is 7.6 to 14 L/h, and its apparent volume of distribution is 11.0 to 23.6 L.
Absorption
After administration of a single or multiple oral 40 mg doses of pantoprazole sodium delayed-release tablets, the peak plasma concentration of pantoprazole was achieved in approximately 2.5 hours, and C max was 2.5 µg/mL. Pantoprazole undergoes little first-pass metabolism, resulting in an absolute bioavailability of approximately 77%. Pantoprazole absorption is not affected by concomitant administration of antacids.
Administration of pantoprazole sodium delayed-release tablets with food may delay its absorption up to 2 hours or longer; however, the C max and the extent of pantoprazole absorption (AUC) are not altered. Thus, pantoprazole sodium delayed-release tablets may be taken without regard to timing of meals.
Distribution
The apparent volume of distribution of pantoprazole is approximately 11.0 to 23.6 L, distributing mainly in extracellular fluid. The serum protein binding of pantoprazole is about 98%, primarily to albumin.
Metabolism
Pantoprazole is extensively metabolized in the liver through the cytochrome P450 (CYP) system. Pantoprazole metabolism is independent of the route of administration (intravenous or oral). The main metabolic pathway is demethylation, by CYP2C19, with subsequent sulfation; other metabolic pathways include oxidation by CYP3A4. There is no evidence that any of the pantoprazole metabolites have significant pharmacologic activity.
Elimination
After a single oral or intravenous dose of 14C-labeled pantoprazole to healthy, normal metabolizer volunteers, approximately 71% of the dose was excreted in the urine, with 18% excreted in the feces through biliary excretion. There was no renal excretion of unchanged pantoprazole.
Geriatric
Only slight to moderate increases in pantoprazole AUC (43%) and C max (26%) were found in elderly volunteers (64 to 76 years of age) after repeated oral administration, compared with younger subjects. No dosage adjustment is recommended based on age.
Pediatric
The pharmacokinetics of pantoprazole were studied in children less than 16 years of age in 4 randomized, open-label clinical trials in pediatric patients with presumed/proven GERD. A pediatric granule formulation was studied in children through 5 years of age, and pantoprazole sodium delayed-release tablets were studied in children older than 5 years.
In a population PK analysis, total clearance increased with increasing bodyweight in a non-linear fashion. The total clearance also increased with increasing age only in children under 3 years of age.
Neonate Through 5 Years Of Age
See Use in Specific Populations (8.4).
Children And Adolescents 6 Through 16 Years Of Age
The pharmacokinetics of pantoprazole sodium delayed-release tablets were evaluated in children ages 6 through 16 years with a clinical diagnosis of GERD. The PK parameters following a single oral dose of 20 mg or 40 mg of pantoprazole sodium delayed-release tablets in children ages 6 through 16 years were highly variable (%CV ranges 40% to 80%). The geometric mean AUC estimated from population PK analysis after a 40 mg pantoprazole sodium delayed-release tablet in pediatric patients was about 39% and 10% higher respectively in 6 to 11 and 12 to 16 year-old children, compared to that of adults (Table 6).
6 to 11 Years | 12 to 16 Years | |
C max (μg/mL) Geometric mean values | 1.8 | 1.8 |
t max (h) Median values | 2.0 | 2.0 |
AUC (μg•h/mL) | 6.9 | 5.5 |
CL/F (L/h) | 6.6 | 6.8 |
Gender
There is a modest increase in pantoprazole AUC and C max in women compared to men. However, weight-normalized clearance values are similar in women and men. No dosage adjustment is recommended based on gender. In pediatric patients ages 1 through 16 years there were no clinically relevant effects of gender on clearance of pantoprazole, as shown by population pharmacokinetic analysis.
Renal Impairment
In patients with severe renal impairment, pharmacokinetic parameters for pantoprazole were similar to those of healthy subjects. No dosage adjustment is necessary in patients with renal impairment or in patients undergoing hemodialysis.
Hepatic Impairment
In patients with mild to severe hepatic impairment (Child-Pugh A to C cirrhosis), maximum pantoprazole concentrations increased only slightly (1.5-fold) relative to healthy subjects. Although serum half-life values increased to 7 to 9 hours and AUC values increased by 5- to 7-fold in hepatic-impaired patients, these increases were no greater than those observed in CYP2C19 poor metabolizers, where no dosage adjustment is warranted. These pharmacokinetic changes in hepatic-impaired patients result in minimal drug accumulation following once-daily, multiple-dose administration. No dosage adjustment is needed in patients with mild to severe hepatic impairment. Doses higher than 40 mg/day have not been studied in hepatically impaired patients.
Drug-Drug Interactions
Pantoprazole is metabolized mainly by CYP2C19 and to minor extents by CYPs 3A4, 2D6, and 2C9. In in vivo drug-drug interaction studies with CYP2C19 substrates (diazepam [also a CYP3A4 substrate] and phenytoin [also a CYP3A4 inducer] and clopidogrel), nifedipine, midazolam, and clarithromycin (CYP3A4 substrates), metoprolol (a CYP2D6 substrate), diclofenac, naproxen and piroxicam (CYP2C9 substrates), and theophylline (a CYP1A2 substrate) in healthy subjects, the pharmacokinetics of pantoprazole were not significantly altered.
Clopidogrel
Clopidogrel is metabolized to its active metabolite in part by CYP2C19. In a crossover clinical study, 66 healthy subjects were administered clopidogrel (300 mg loading dose followed by 75 mg per day) alone and with pantoprazole (80 mg at the same time as clopidogrel) for 5 days. On Day 5, the mean AUC of the active metabolite of clopidogrel was reduced by approximately 14% (geometric mean ratio was 86%, with 90% CI of 79% to 93%) when pantoprazole was coadministered with clopidogrel as compared to clopidogrel administered alone. Pharmacodynamic parameters were also measured and demonstrated that the change in inhibition of platelet aggregation (induced by 5 μM ADP) was correlated with the change in the exposure to clopidogrel active metabolite. The clinical significance of this finding is not clear.
Mycophenolate Mofetil (Mmf)
Administration of pantoprazole 40 mg twice daily for 4 days and a single 1000 mg dose of MMF approximately 1 hour after the last dose of pantoprazole to 12 healthy subjects in a cross-over study resulted in a 57% reduction in the C max and 27% reduction in the AUC of MPA. Transplant patients receiving approximately 2000 mg per day of MMF (n = 12) were compared to transplant patients receiving approximately the same dose of MMF and pantoprazole 40 mg per day (n = 21). There was a 78% reduction in the C max and a 45% reduction in the AUC of MPA in patients receiving both pantoprazole and MMF.
In vivo studies also suggest that pantoprazole does not significantly affect the kinetics of the following drugs (cisapride, theophylline, diazepam [and its active metabolite, desmethyldiazepam], phenytoin, warfarin, metoprolol, nifedipine, carbamazepine, midazolam, clarithromycin, naproxen, piroxicam, and oral contraceptives [levonorgestrel/ethinyl estradiol]). Dosage adjustment of these drugs is not necessary when they are coadministered with pantoprazole. In other in vivo studies, digoxin, ethanol, glyburide, antipyrine, caffeine, metronidazole, and amoxicillin had no clinically relevant interactions with pantoprazole.
Based on studies evaluating possible interactions of pantoprazole with other drugs, no dosage adjustment is needed with concomitant use of the following: theophylline, cisapride, antipyrine, caffeine, carbamazepine, diazepam (and its active metabolite, desmethyldiazepam), diclofenac, naproxen, piroxicam, digoxin, ethanol, glyburide, an oral contraceptive (levonorgestrel/ethinyl estradiol), metoprolol, nifedipine, phenytoin, warfarin, midazolam, clarithromycin, metronidazole, or amoxicillin.
There was also no interaction with concomitantly administered antacids.
There have been postmarketing reports of increased INR and prothrombin time in patients receiving proton pump inhibitors, including pantoprazole sodium delayed-release tablets, and warfarin concomitantly [see Drug Interactions (7.2)] .
Although no significant drug-drug interactions have been observed in clinical studies, the potential for significant drug-drug interactions with more than once daily dosing with high doses of pantoprazole has not been studied in poor metabolizers or individuals who are hepatically impaired.
Other Effects
In a clinical pharmacology study, pantoprazole sodium delayed-release tablets 40 mg given once daily for 2 weeks had no effect on the levels of the following hormones: cortisol, testosterone, triiodothyronine (T 3), thyroxine (T 4), thyroid-stimulating hormone (TSH), thyronine-binding protein, parathyroid hormone, insulin, glucagon, renin, aldosterone, follicle-stimulating hormone, luteinizing hormone, prolactin, and growth hormone.
In a 1-year study of GERD patients treated with pantoprazole sodium delayed-release tablets 40 mg or 20 mg, there were no changes from baseline in overall levels of T 3, T 4, and TSH.
12.4 Pharmacogenomics
CYP2C19 displays a known genetic polymorphism due to its deficiency in some subpopulations (e.g., approximately 3% of Caucasians and African-Americans and 17% to 23% of Asians are poor metabolizers). Although these subpopulations of pantoprazole poor metabolizers have elimination half-life values of 3.5 to 10.0 hours in adults, they still have minimal accumulation (≤ 23%) with once daily dosing. For adult patients who are CYP2C19 poor metabolizers, no dosage adjustment is needed.
Similar to adults, pediatric patients who have the poor metabolizer genotype of CYP2C19 (CYP2C19 *2/*2) exhibited greater than a 6-fold increase in AUC compared to pediatric extensive (CYP2C19 *1/*1) and intermediate (CYP2C19 *1/*x) metabolizers. Poor metabolizers exhibited approximately 10-fold lower apparent oral clearance compared to extensive metabolizers.
For known pediatric poor metabolizers, a dose reduction should be considered.
13.1 Carcinogenesis, Mutagenesis, Impairment Of Fertility
In a 24-month carcinogenicity study, Sprague-Dawley rats were treated orally with doses of 0.5 mg/kg/day to 200 mg/kg/day, about 0.1 to 40 times the exposure on a body surface area basis of a 50 kg person dosed at 40 mg/day. In the gastric fundus, treatment at 0.5 mg/kg/day to 200 mg/kg/day produced enterochromaffin-like (ECL) cell hyperplasia and benign and malignant neuroendocrine cell tumors in a dose-related manner. In the forestomach, treatment at 50 mg/kg/day and 200 mg/kg/day (about 10 and 40 times the recommended human dose on a body surface area basis) produced benign squamous cell papillomas and malignant squamous cell carcinomas. Rare gastrointestinal tumors associated with pantoprazole treatment included an adenocarcinoma of the duodenum at 50 mg/kg/day and benign polyps and adenocarcinomas of the gastric fundus at 200 mg/kg/day. In the liver, treatment at 0.5 mg/kg/day to 200 mg/kg/day produced dose-related increases in the incidences of hepatocellular adenomas and carcinomas. In the thyroid gland, treatment at 200 mg/kg/day produced increased incidences of follicular cell adenomas and carcinomas for both male and female rats.
In a 24-month carcinogenicity study, Fischer 344 rats were treated orally with doses of 5 mg/kg/day to 50 mg/kg/day, approximately 1 to 10 times the recommended human dose based on body surface area. In the gastric fundus, treatment at 5 mg/kg/day to 50 mg/kg/day produced enterochromaffin-like (ECL) cell hyperplasia and benign and malignant neuroendocrine cell tumors. Dose selection for this study may not have been adequate to comprehensively evaluate the carcinogenic potential of pantoprazole.
In a 24-month carcinogenicity study, B6C3F1 mice were treated orally with doses of 5 mg/kg/day to 150 mg/kg/day, 0.5 to 15 times the recommended human dose based on body surface area. In the liver, treatment at 150 mg/kg/day produced increased incidences of hepatocellular adenomas and carcinomas in female mice. Treatment at 5 mg/kg/day to 150 mg/kg/day also produced gastric-fundic ECL cell hyperplasia.
A 26-week p53 +/- transgenic mouse carcinogenicity study was not positive.
Pantoprazole was positive in the in vitro human lymphocyte chromosomal aberration assays, in one of two mouse micronucleus tests for clastogenic effects, and in the in vitro Chinese hamster ovarian cell/HGPRT forward mutation assay for mutagenic effects. Equivocal results were observed in the in vivo rat liver DNA covalent binding assay. Pantoprazole was negative in the in vitro Ames mutation assay, the in vitro unscheduled DNA synthesis (UDS) assay with rat hepatocytes, the in vitro AS52/GPT mammalian cell-forward gene mutation assay, the in vitro thymidine kinase mutation test with mouse lymphoma L5178Y cells, and the in vivo rat bone marrow cell chromosomal aberration assay.
There were no effects on fertility or reproductive performance when pantoprazole was given at oral doses up to 500 mg/kg/day in male rats (98 times the recommended human dose based on body surface area) and 450 mg/kg/day in female rats (88 times the recommended human dose based on body surface area).
13.2 Animal Toxicology And/Or Pharmacology
Studies in neonatal/juvenile and adult rats and dogs were performed. The data from these studies revealed that animals in both age groups respond to pantoprazole in a similar manner. Gastric alterations, including increased stomach weights, increased incidence of eosinophilic chief cells in adult and neonatal/juvenile rats, and atrophy of chief cells in adult rats and in neonatal/juvenile dogs, were observed in the fundic mucosa of stomachs in repeated-dose studies. Decreases in red cell mass parameters, increases in cholesterol and triglycerides, increased liver weight, enzyme induction, and hepatocellular hypertrophy were also seen in repeated-dose studies in rats and/or dogs. Full to partial recovery of these effects were noted in animals of both age groups following a recovery period.
Reproductive Toxicology Studies
Reproduction studies have been performed in rats at oral doses up to 450 mg/kg/day (88 times the recommended human dose based on body surface area) and rabbits at oral doses up to 40 mg/kg/day (16 times the recommended human dose based on body surface area) and have revealed no evidence of impaired fertility or harm to the fetus due to pantoprazole.
14 Clinical Studies
Pantoprazole sodium delayed-release tablets were used in the following clinical trials.
Adult Patients
A U.S. multicenter, double-blind, placebo-controlled study of pantoprazole sodium delayed-release tablets 10 mg, 20 mg, or 40 mg once daily was conducted in 603 patients with reflux symptoms and endoscopically diagnosed EE of grade 2 or above (Hetzel-Dent scale). In this study, approximately 25% of enrolled patients had severe EE of grade 3, and 10% had grade 4. The percentages of patients healed (per protocol, n = 541) in this study are shown in Table 7.
Pantoprazole Sodium Delayed-Release Tablets | Placebo | |||
Week | 10 mg daily | 20 mg daily | 40 mg daily | (n = 68) |
4 | 45.6% (p < 0.001) pantoprazole sodium delayed-release tablets vs. placebo | 58.4% (p < 0.05) vs. 10 mg or 20 mg pantoprazole sodium delayed-release tablets | 75.0% (p < 0.05) vs. 10 mg pantoprazole sodium delayed-release tablets | 14.3% |
8 | 66.0% | 83.5% | 92.6% | 39.7% |
In this study, all pantoprazole sodium delayed-release tablet treatment groups had significantly greater healing rates than the placebo group. This was true regardless of H. pylori status for the 40 mg and 20 mg pantoprazole sodium delayed-release tablet treatment groups. The 40 mg dose of pantoprazole sodium delayed-release tablets resulted in healing rates significantly greater than those found with either the 20 mg or 10 mg dose.
A significantly greater proportion of patients taking pantoprazole sodium delayed-release tablets 40 mg experienced complete relief of daytime and nighttime heartburn and the absence of regurgitation, starting from the first day of treatment, compared with placebo. Patients taking pantoprazole sodium delayed-release tablets consumed significantly fewer antacid tablets per day than those taking placebo.
Pantoprazole sodium delayed-release tablets 40 mg and 20 mg once daily were also compared with nizatidine 150 mg twice daily in a U.S. multicenter, double-blind study of 243 patients with reflux symptoms and endoscopically diagnosed EE of grade 2 or above. The percentages of patients healed (per protocol, n = 212) are shown in Table 8.
| Pantoprazole Sodium Delayed-Release Tablets | Nizatidine | |
Week | 20 mg daily | 40 mg daily | 150 mg twice daily |
4 | 61.4% (p < 0.001) pantoprazole sodium delayed-release tablets vs. nizatidine | 64.0% | 22.2% |
8 | 79.2% | 82.9% | 41.4% |
Once daily treatment with pantoprazole sodium delayed-release tablets 40 mg or 20 mg resulted in significantly superior rates of healing at both 4 and 8 weeks compared with twice daily treatment with 150 mg of nizatidine. For the 40 mg treatment group, significantly greater healing rates compared to nizatidine were achieved regardless of the H. pylori status.
A significantly greater proportion of the patients in the pantoprazole sodium delayed-release tablet treatment groups experienced complete relief of nighttime heartburn and regurgitation, starting on the first day and of daytime heartburn on the second day, compared with those taking nizatidine 150 mg twice daily. Patients taking pantoprazole sodium delayed-release tablets consumed significantly fewer antacid tablets per day than those taking nizatidine.
Pediatric Patients Ages 5 Years Through 16 Years
The efficacy of pantoprazole sodium delayed-release tablets in the treatment of EE associated with GERD in pediatric patients ages 5 years through 16 years is extrapolated from adequate and well-conducted trials in adults, as the pathophysiology is thought to be the same. Four pediatric patients with endoscopically diagnosed EE were studied in multicenter, randomized, double-blind, parallel-treatment trials. Children with endoscopically diagnosed EE (defined as an endoscopic Hetzel-Dent score ≥ 2) were treated once daily for 8 weeks with one of two dose levels of pantoprazole sodium delayed-release tablets (20 mg or 40 mg). All 4 patients with EE were healed (Hetzel-Dent score of 0 or 1) at 8 weeks.
14.2 Long-Term Maintenance Of Healing Of Erosive Esophagitis
Two independent, multicenter, randomized, double-blind, comparator-controlled trials of identical design were conducted in adult GERD patients with endoscopically confirmed healed erosive esophagitis to demonstrate efficacy of pantoprazole sodium delayed-release tablets in long-term maintenance of healing. The 2 U.S. studies enrolled 386 and 404 patients, respectively, to receive either 10 mg, 20 mg, or 40 mg of pantoprazole sodium delayed-release tablets once daily or 150 mg of ranitidine twice daily. As demonstrated in Table 9, pantoprazole sodium delayed-release tablets 40 mg and 20 mg were significantly superior to ranitidine at every timepoint with respect to the maintenance of healing. In addition, pantoprazole sodium delayed-release tablets 40 mg were superior to all other treatments studied.
Pantoprazole Sodium Delayed-Release Tablets | Pantoprazole Sodium Delayed-Release Tablets | Ranitidine | |
Study 1 | n = 75 | n = 74 | n = 75 |
Month 1 | 91 (p < 0.05 vs. ranitidine) | 99 | 68 |
Month 3 | 82 | 93 (p < 0.05 vs. pantoprazole sodium delayed-release tablets 20 mg) Note: Pantoprazole sodium delayed-release tablets 10 mg were superior (p < 0.05) to ranitidine in Study 2, but not Study 1. | 54 |
Month 6 | 76 | 90 | 44 |
Month 12 | 70 | 86 | 35 |
Study 2 | n = 74 | n = 88 | n = 84 |
Month 1 | 89 | 92 | 62 |
Month 3 | 78 | 91 | 47 |
Month 6 | 72 | 88 | 39 |
Month 12 | 72 | 83 | 37 |
Pantoprazole sodium delayed-release tablets 40 mg were superior to ranitidine in reducing the number of daytime and nighttime heartburn episodes from the first through the twelfth month of treatment. Pantoprazole sodium delayed-release tablets 20 mg, administered once daily, were also effective in reducing episodes of daytime and nighttime heartburn in one trial, as presented in Table 10.
Pantoprazole Sodium Delayed-Release Tablets | Ranitidine | ||
Month 1 | Daytime | 5.1 ± 1.6 (p < 0.001 vs. ranitidine, combined data from the 2 U.S. studies) | 18.3 ± 1.6 |
Nighttime | 3.9 ± 1.1 | 11.9 ± 1.1 | |
Month 12 | Daytime | 2.9 ± 1.5 | 17.5 ± 1.5 |
Nighttime | 2.5 ± 1.2 | 13.8 ± 1.3 | |
14.3 Pathological Hypersecretory Conditions Including Zollinger-Ellison Syndrome
In a multicenter, open-label trial of 35 patients with pathological hypersecretory conditions, such as Zollinger-Ellison syndrome, with or without multiple endocrine neoplasia-type I, pantoprazole sodium delayed-release tablets successfully controlled gastric acid secretion. Doses ranging from 80 mg daily to 240 mg daily maintained gastric acid output below 10 mEq/h in patients without prior acid-reducing surgery and below 5 mEq/h in patients with prior acid-reducing surgery.
Doses were initially titrated to the individual patient needs, and adjusted in some patients based on the clinical response with time [see Dosage and Administration (2)] . Pantoprazole sodium delayed-release tablets were well tolerated at these dose levels for prolonged periods (greater than 2 years in some patients).
16 How Supplied/Storage And Handling
Pantoprazole Sodium Delayed-Release Tablets, USP are available containing pantoprazole sodium, USP equivalent to 40 mg of pantoprazole.
The 40 mg tablets are dark yellow film-coated, oval unscored tablets imprinted with M P9 in black ink on one side of the tablet and blank on the other side. They are available overbagged with 10 tablets per bag, NDC 55154-4382-0.
Store at 20° to 25°C (68° to 77°F). [See USP Controlled Room Temperature.]
PHARMACIST: Dispense a Medication Guide with each prescription.
17 Patient Counseling Information
Advise the patient to read the FDA-approved patient labeling (Medication Guide).
Adverse Reactions:
• Hypersensitivity Reactions [see Contraindications (4)]• Acute Interstitial Nephritis [see Warnings and Precautions (5.2)]• Clostridium difficile-Associated Diarrhea [see Warnings and Precautions (5.3)]• Bone Fracture [see Warnings and Precautions (5.4)]• Cutaneous and Systemic Lupus Erythematosus [see Warnings and Precautions (5.5)]• Cyanocobalamin (Vitamin B-12) Deficiency [see Warnings and Precautions (5.6)]• Hypomagnesemia [see Warnings and Precautions (5.7)]• Caution patients that pantoprazole sodium delayed-release tablets should not be split, crushed, or chewed.• Tell patients that pantoprazole sodium delayed-release tablets should be swallowed whole, with or without food in the stomach.• Let patients know that concomitant administration of antacids does not affect the absorption of pantoprazole sodium delayed-release tablets.
Drug Interactions:
Instruct patients to inform their healthcare provider of any other medications they are currently taking, including over-the-counter medications.
Administration:
Medication Guide
Pantoprazole Sodium Delayed-Release Tablets, USP
(pan toe′ pra zole soe′dee um)
Read this Medication Guide before you start taking pantoprazole sodium delayed-release tablets and each time you get a refill. There may be new information. This information does not take the place of talking with your doctor about your medical condition or your treatment.
What is the most important information I should know about pantoprazole sodium delayed-release tablets?
Pantoprazole sodium delayed-release tablets may help your acid-related symptoms, but you could still have serious stomach problems. Talk with your doctor.
Pantoprazole sodium delayed-release tablets can cause serious side effects, including:
• A type of kidney problem (acute interstitial nephritis). Some people who take proton pump inhibitor (PPI) medicines, including pantoprazole sodium delayed-release tablets, may develop a kidney problem called acute interstitial nephritis that can happen at any time during treatment with pantoprazole sodium delayed-release tablets. Call your doctor if you have a decrease in the amount that you urinate or if you have blood in your urine.• Diarrhea. Pantoprazole sodium delayed-release tablets may increase your risk of getting severe diarrhea. This diarrhea may be caused by an infection (Clostridium difficile) in your intestines.• Call your doctor right away if you have watery stool, stomach pain, and fever that does not go away.• Bone fractures. People who take multiple daily doses of PPI medicines for a long period of time (a year or longer) may have an increased risk of fractures of the hip, wrist, or spine. You should take pantoprazole sodium delayed-release tablets exactly as prescribed, at the lowest dose possible for your treatment and for the shortest time needed. Talk to your doctor about your risk of bone fracture if you take pantoprazole sodium delayed-release tablets.• Certain types of lupus erythematosus. Lupus erythematosus is an autoimmune disorder (the body’s immune cells attack other cells or organs in the body). Some people who take PPI medicines, including pantoprazole sodium delayed-release tablets, may develop certain types of lupus erythematosus or have worsening of the lupus they already have. Call your doctor right away if you have new or worsening joint pain or a rash on your cheeks or arms that gets worse in the sun.• for up to 8 weeks to heal acid-related damage to the lining of the esophagus (erosive esophagitis or EE) and to relieve symptoms caused by gastroesophageal reflux disease (GERD). If needed, your doctor may decide to prescribe another 8 weeks of pantoprazole sodium delayed-release tablets.• to maintain the healing of acid-related damage to the lining of the esophagus and help prevent return of heartburn symptoms caused by GERD. It is not known if pantoprazole sodium delayed-release tablets are safe and effective if used longer than 12 months (1 year).• GERD happens when acid in your stomach backs up into the tube (esophagus) that connects your mouth to your stomach. This may cause a burning feeling in your chest or throat, sour taste, or burping.• for the long-term treatment of conditions where your stomach makes too much acid. This includes a rare condition called Zollinger-Ellison syndrome.• allergic to pantoprazole sodium or any of the other ingredients in pantoprazole sodium delayed-release tablets. See the end of this Medication Guide for a complete list of ingredients in pantoprazole sodium delayed-release tablets.• allergic to any proton pump inhibitor (PPI) medicine.• have been told that you have low magnesium levels in your blood• have liver problems• have any other medical conditions• are pregnant or plan to become pregnant. It is not known if pantoprazole sodium delayed-release tablets will harm your unborn baby.• are breastfeeding or plan to breastfeed. Pantoprazole may pass into your milk. You and your doctor should decide if you will take pantoprazole sodium delayed-release tablets or breastfeed. You should not do both. Talk with your doctor about the best way to feed your baby if you take pantoprazole sodium delayed-release tablets.• atazanavir (Reyataz)• nelfinavir (Viracept)• warfarin (Coumadin, Jantoven)• ketoconazole (Nizoral)• a product that contains iron• an antibiotic that contains ampicillin• methotrexate• mycophenolate mofetil (Cellcept)• Take pantoprazole sodium delayed-release tablets exactly as prescribed by your doctor.• Do not change your dose or stop pantoprazole sodium delayed-release tablets without talking to your doctor.• If you forget to take a dose of pantoprazole sodium delayed-release tablets, take it as soon as you remember. If it is almost time for your next dose, do not take the missed dose. Take the next dose at your regular time. Do not take two doses to try to make up for a missed dose.• If you take too many pantoprazole sodium delayed-release tablets, call your doctor right away or go to the nearest hospital emergency room.• See the Instructions for Use at the end of this Medication Guide for detailed instructions about:• how to take pantoprazole sodium delayed-release tablets.• Vitamin B-12 deficiency. Pantoprazole sodium delayed-release tablets reduce the amount of acid in your stomach. Stomach acid is needed to absorb vitamin B-12 properly. Talk with your doctor about the possibility of vitamin B-12 deficiency if you have been on pantoprazole sodium delayed-release tablets for a long time (more than 3 years).• Low magnesium levels in your body. This problem can be serious. Low magnesium can happen in some people who take a PPI medicine for at least 3 months. If low magnesium levels happen, it is usually after a year of treatment. You may or may not have symptoms of low magnesium.• Tell your doctor right away if you have any of these symptoms:1. seizures2. dizziness3. abnormal or fast heartbeat4. jitteriness5. jerking movements or shaking (tremors)6. muscle weakness7. spasms of the hands and feet8. cramps or muscle aches9. spasm of the voice box
• Your doctor may check the level of magnesium in your body before you start taking pantoprazole sodium delayed-release tablets or during treatment, if you will be taking pantoprazole sodium delayed-release tablets for a long period of time.• Headache• Vomiting• Diarrhea• Gas• Nausea• Dizziness• Stomach pain• Pain in your joints• Upper respiratory infection• Vomiting• Headache• Rash• Fever• Stomach pain• Diarrhea• Serious allergic reactions. Tell your doctor if you get any of the following symptoms with pantoprazole sodium delayed-release tablets:• rash• face swelling• throat tightness• difficult breathing
• Store pantoprazole sodium delayed-release tablets at room temperature between 20° to 25°C (68° to 77°F).• You can take pantoprazole sodium delayed-release tablets with food or on an empty stomach.• Swallow pantoprazole sodium delayed-release tablets whole.• If you have trouble swallowing a pantoprazole sodium delayed-release 40 mg tablet, you can take two 20 mg tablets instead.• Do not split, chew, or crush pantoprazole sodium delayed-release tablets.
Pantoprazole sodium delayed-release tablets can have other serious side effects. See “What are the possible side effects of pantoprazole sodium delayed-release tablets?”
What are pantoprazole sodium delayed-release tablets?
Pantoprazole sodium delayed-release tablets are a prescription medicine called a proton pump inhibitor (PPI).
Pantoprazole sodium delayed-release tablets reduce the amount of acid in your stomach.
Pantoprazole sodium delayed-release tablets are used in adults:
Pantoprazole sodium delayed-release tablets are used in children 5 years of age and older for up to 8 weeks to heal acid-related damage to the lining of the esophagus (erosive esophagitis or EE) caused by GERD.
It is not known if pantoprazole sodium delayed-release tablets are safe if used longer than 8 weeks in children. Pantoprazole sodium delayed-release tablets are not for children under 5 years of age.
Who should not take pantoprazole sodium delayed-release tablets?
Do not take pantoprazole sodium delayed-release tablets if you are:
What should I tell my doctor before taking pantoprazole sodium delayed-release tablets?
Before taking pantoprazole sodium delayed-release tablets, tell your doctor if you:
Tell your doctor about all of the medicines you take, including prescription and non-prescription drugs, vitamins, and herbal supplements. Pantoprazole sodium delayed-release tablets may affect how other medicines work, and other medicines may affect how pantoprazole sodium delayed-release tablets work.
Especially tell your doctor if you take:
Ask your doctor or pharmacist for a list of these medicines, if you are not sure.
Know the medicines that you take. Keep a list of them to show your doctor and pharmacist when you get a new medicine.
How should I take pantoprazole sodium delayed-release tablets?
What are the possible side effects of pantoprazole sodium delayed-release tablets?
Pantoprazole sodium delayed-release tablets may cause serious side effects, including:
See “What is the most important information I should know about pantoprazole sodium delayed-release tablets?”
The most common side effects with pantoprazole sodium delayed-release tablets in adults include:
The most common side effects with pantoprazole sodium delayed-release tablets in children include:
Other side effects:
Your doctor may stop pantoprazole sodium delayed-release tablets if these symptoms happen.
Tell your doctor about any side effects that bother you or that do not go away.
These are not all the possible side effects with pantoprazole sodium delayed-release tablets. For more information, ask your doctor or pharmacist.
Call your doctor for medical advice about side effects. You may report side effects to FDA at 1-800-FDA-1088.
How should I store pantoprazole sodium delayed-release tablets?
Keep pantoprazole sodium delayed-release tablets and all medicines out of the reach of children.
General information about pantoprazole sodium delayed-release tablets
Medicines are sometimes prescribed for purposes other than those listed in a Medication Guide. Do not use pantoprazole sodium delayed-release tablets for a condition for which they were not prescribed. Do not give pantoprazole sodium delayed-release tablets to other people, even if they have the same symptoms you have. They may harm them.
This Medication Guide summarizes the most important information about pantoprazole sodium delayed-release tablets. For more information, ask your doctor. You can ask your doctor or pharmacist for information that is written for healthcare professionals.
For more information, call Mylan Pharmaceuticals Inc. at 1-877-446-3679 (1-877-4-INFO-RX).
What are the ingredients in pantoprazole sodium delayed-release tablets?
Active ingredient: pantoprazole sodium sesquihydrate
Inactive ingredients in pantoprazole sodium delayed-release tablets: anhydrous sodium carbonate, calcium stearate, crospovidone, hypromellose, mannitol, methacrylic acid copolymer, povidone, propylene glycol, titanium dioxide, triethyl citrate, and yellow iron oxide. The black imprinting ink contains black iron oxide, propylene glycol, and shellac glaze.
Instructions for Use
Pantoprazole Sodium Delayed-Release Tablets:
This Medication Guide has been approved by the U.S. Food and Drug Administration.
The brands listed are trademarks of their respective owners.
Manufactured for:
Mylan Pharmaceuticals Inc.
Morgantown, WV 26505 U.S.A.
Manufactured by:
Mylan Laboratories Limited
Hyderabad — 500 034, India
Code No.: MH/DRUGS/25/NKD/89
Distributed by:
Mylan Institutional Inc.
Rockford, IL 61103 U.S.A.
Repackaged By:
Cardinal Health
Zanesville, OH 43701
L50113580817
S-10985 R6
4/17
Package/Label Display Panel
Pantoprazole Sodium Delayed-Release Tablets, USP
40 mg*
10 Tablets
* Please review the disclaimer below.
