Product Images Acetylcysteine

View Photos of Packaging, Labels & Appearance

Product Label Images

The following 4 images provide visual information about the product associated with Acetylcysteine NDC 55154-5731 by Cardinal Health 107, Llc, such as packaging, labeling, and the appearance of the drug itself. This resource could be helpful for medical professionals, pharmacists, and patients seeking to verify medication information and ensure they have the correct product.

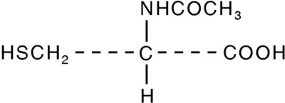
Structural Formula - acetylcysteine solution 1

Structural Formula - acetylcysteine solution 1

Figure - acetylcysteine solution 2

Figure - acetylcysteine solution 2

dd18df82 7150 4dc3 afad 5fb945e4fb85 00

dd18df82 7150 4dc3 afad 5fb945e4fb85 00

This is a 20% (200mg/mL) Acetylcysteine solution, USP, available in 5 X 4mL vials for inhalation or oral administration, used as a mucolytic agent or acetaminophen antidote which is not for injection and is also preservative-free. Each mL contains Acetylcysteine 200mg (20%), Edetate Disodium 0.025%, Water for Injection 4.5%, Hclustod with Sodum Hycrodde and, if necessary, hydrochloric acid is added. It comes with specific storage instructions, and a warning to discard an opened container after 96 hours. This package is not child-resistant and is intended for institutional use only. Keep all drugs out of the reach of children. This was distributed by Cardinal Health.*

dd18df82 7150 4dc3 afad 5fb945e4fb85 01

dd18df82 7150 4dc3 afad 5fb945e4fb85 01

This is a package of Acetylcysteine solution, USP with 10% (100 mg/mL) concentration in 5 x 4 mL vials. It is meant for oral administration as an acetaminophen antidote or inhalation as a mucolytic agent. The pH range is 6.0 to 7.5, and it contains Aceticysteine 100 mg (10%), Edetate Disodium 0.025%, and Water for Injection. The package insert should be consulted for usage directions, warnings, and precautions. It should not be injected, and the open container should be discarded after 86 hours. This package is not child-resistant and intended for institutional use only. The manufacturer is American Regent, Inc., and it is sold by Cardinal Health.*

* The product label images have been analyzed using a combination of traditional computing and machine learning techniques. It should be noted that the descriptions provided may not be entirely accurate as they are experimental in nature. Use the information in this page at your own discretion and risk.