Product Images Sucralfate

View Photos of Packaging, Labels & Appearance

Product Label Images

The following 2 images provide visual information about the product associated with Sucralfate NDC 55154-5790 by Cardinal Health 107, Llc, such as packaging, labeling, and the appearance of the drug itself. This resource could be helpful for medical professionals, pharmacists, and patients seeking to verify medication information and ensure they have the correct product.

Bag label - image 01

Bag label - image 01

This is a Unit Dose package of Sucralfate Oral Suspension. The package contains 5 cups of 10ml each, and the usual dosage is provided in the product insert. It is advised to store the package between 20° and 25° C (68° to 77° F) and avoid freezing. The package is not child-resistant and is intended for institutional use only. The manufacturer is Pharmaceutical Associates, Inc., and it is distributed by Cardinal Health. Contact information for the manufacturer is provided.*

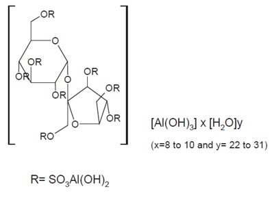
Structure - sucralfate oral suspension 1

Structure - sucralfate oral suspension  1

* The product label images have been analyzed using a combination of traditional computing and machine learning techniques. It should be noted that the descriptions provided may not be entirely accurate as they are experimental in nature. Use the information in this page at your own discretion and risk.