Product Images Myrbetriq

View Photos of Packaging, Labels & Appearance

Product Label Images

The following 17 images provide visual information about the product associated with Myrbetriq NDC 55154-8712 by Cardinal Health 107, Llc, such as packaging, labeling, and the appearance of the drug itself. This resource could be helpful for medical professionals, pharmacists, and patients seeking to verify medication information and ensure they have the correct product.

988efbea 7199 4a8b ac71 005aba502572 00

988efbea 7199 4a8b ac71 005aba502572 00

This is a medication packaging label for Wyrbetra tablets, marketed by Astellas Pharma US, Inc. The tablets are made of Svalloy and should not be cut, crushed, or chewed. The label includes information on dosage, safety closures, and manufacturer NDC. The label also provides a contact number and website for patients to obtain information and instructions.*

988efbea 7199 4a8b ac71 005aba502572 01

988efbea 7199 4a8b ac71 005aba502572 01

Myrbetriq is a medication that comes in the form of a tablet that must be swallowed whole, without cutting or crushing it. The recommended dosage is once-daily by mouth, and the complete prescribing information and warnings can be found in the product insert. The product must be stored at a temperature of 25°C with excursions permitted up to 30°C. It is important to note that safety closures must be used when handling the product unless otherwise directed by the physician. Myrbetriq is a registered trademark of Astellas Pharma Inc. and is distributed by Cardinal Health. For patient information, one can call 1-800-727-7003 or visit www.myrbetriq.com.*

bottle label - image 01

bottle label - image 01

bottle label - image 02

bottle label - image 02

Astellas logo - image 03

Astellas logo - image 03

image 04

image 04

image 05

image 05

image 08

image 08

This appears to be a chart or table with various drugs and their recommended dosages based on their effect on the enzyme CYP3ARgp. The table lists the drug name, dosage, the fold change in PK, 80% confidence interval, and a recommendation for dose adjustment. The drugs listed are ketoconazole, fitampicin, solifenacin, tamsulosin, and metformin. However, the chart is not complete and lacks further context or explanation.*

image 09

image 09

This is a table with information about the recommended dose adjustment for different drugs based on their interaction with CYP3A and CYP2D substrates. Some of the drugs require no dose adjustment, while others need caution or starting dose adjustment. The table also includes mean change relative to the substrate alone.*

image 10

image 10

image 11

image 11

image 12

image 12

image 13

image 13

image 14

image 14

image 15

image 15

image 16

image 16

image 17

image 17

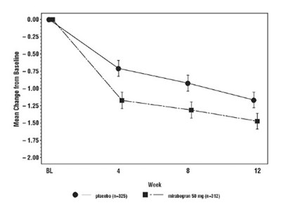
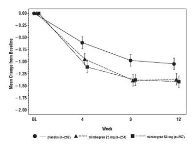
The description is related to a table of values for "Adjusted Change From Baseline" at different time points during a medical study using a placebo and two different dosages of medication. The dosages were M25mg and M50mg. The study evaluated the participants for 12 weeks. The description of the study design ends abruptly, and there is not sufficient information to provide more insight.*

* The product label images have been analyzed using a combination of traditional computing and machine learning techniques. It should be noted that the descriptions provided may not be entirely accurate as they are experimental in nature. Use the information in this page at your own discretion and risk.