Product Images Erythromycin

View Photos of Packaging, Labels & Appearance

Product Label Images

The following 2 images provide visual information about the product associated with Erythromycin NDC 55289-025 by Pd-rx Pharmaceuticals, Inc., such as packaging, labeling, and the appearance of the drug itself. This resource could be helpful for medical professionals, pharmacists, and patients seeking to verify medication information and ensure they have the correct product.

55289025 Label - 55289025

55289025 Label - 55289025

This is a description of a medication called Erythromycin. The medication comes in 500mg strength tablets in a pack of 20, with NDC code 55289-025-20. The medication is pink in color and produced by PD-Rx Pharmaceuticals Incorporated in Oklahoma City. The medication is taken orally, and the patient should continue usage until the medication is completely finished, unless instructed otherwise by their doctor. Erythromycin may cause abdominal discomfort and cramps. In the case of side effects, patients are advised to contact their medical provider or report to the FDA. The medication details, such as the lot, the expiration date and the dosage instructions, are also mentioned.*

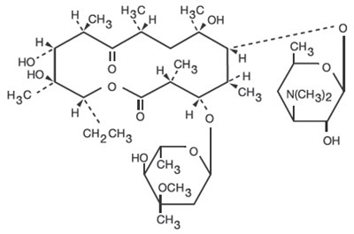
Chemical Structure - erythromycin 01

Chemical Structure - erythromycin 01

* The product label images have been analyzed using a combination of traditional computing and machine learning techniques. It should be noted that the descriptions provided may not be entirely accurate as they are experimental in nature. Use the information in this page at your own discretion and risk.