Product Images Atenolol And Chlorthalidone
View Photos of Packaging, Labels & Appearance
Product Label Images
The following 3 images provide visual information about the product associated with Atenolol And Chlorthalidone NDC 55289-993 by Pd-rx Pharmaceuticals, Inc., such as packaging, labeling, and the appearance of the drug itself. This resource could be helpful for medical professionals, pharmacists, and patients seeking to verify medication information and ensure they have the correct product.
55289993 Label - 55289993

This medication is Atenolol combined with Chlorthalidone, which is used to treat high blood pressure. It is important to consult a physician before stopping the medication. The white tablets are round and scored, and each one contains 50mg of Atenolol and 25mg of Chlorthalidone. The patient should take the medication according to the doctor's instructions. The medication comes in a bottle of 90 tablets and should be kept out of the reach of children. The lot number is B20A16 and the expiration date is 01/2021. The GTIN number is 00355289993902. The medication may cause side effects, which should be reported to the FDA at 1-800-FDA-1088.*
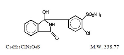
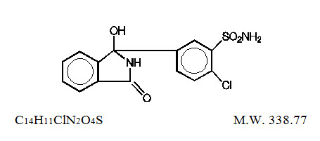
Structural formula for Chlorthalidone - atenolol and chlorthalidone tabs 2

This text provides the molecular formula for a chemical compound, which is C14H11CIN204S, and its molecular weight, which is 338.77. No further information is provided.*
* The product label images have been analyzed using a combination of traditional computing and machine learning techniques. It should be noted that the descriptions provided may not be entirely accurate as they are experimental in nature. Use the information in this page at your own discretion and risk.