FDA Label for Lisinopril
View Indications, Usage & Precautions
- BOXED WARNING
- DESCRIPTION
- MECHANISM OF ACTION
- PHARMACOKINETICS AND METABOLISM
- HYPERTENSION
- HEART FAILURE
- ACUTE MYOCARDIAL INFARCTION
- CONTRAINDICATIONS
- ANAPHYLACTOID AND POSSIBLY RELATED REACTIONS
- HYPOTENSION
- LEUKOPENIA/NEUTROPENIA/AGRANULOCYTOSIS
- HEPATIC FAILURE
- FETAL/NEONATAL MORBIDITY AND MORTALITY
- GENERAL
- INFORMATION FOR PATIENTS
- DRUG INTERACTIONS
- CARCINOGENESIS, MUTAGENESIS, IMPAIRMENT OF FERTILITY
- PREGNANCY
- NURSING MOTHERS
- PEDIATRIC USE
- GERIATRIC USE
- ADVERSE REACTIONS
- CLINICAL LABORATORY FINDINGS
- OVERDOSAGE
- USE IN ELDERLY
- HOW SUPPLIED
- STORAGE AND HANDLING
- OTHER
Lisinopril Product Label
The following document was submitted to the FDA by the labeler of this product Wockhardt Limited. The document includes published materials associated whith this product with the essential scientific information about this product as well as other prescribing information. Product labels may durg indications and usage, generic names, contraindications, active ingredients, strength dosage, routes of administration, appearance, warnings, inactive ingredients, etc.
Boxed Warning
USE IN PREGNANCY
When used in pregnancy during the second and third trimesters, ACE inhibitors can cause injury and even death to the developing fetus. When pregnancy is detected, Lisinopril tablet should be discontinued as soon as possible. See WARNINGS, Fetal/Neonatal Morbidity and Mortality.
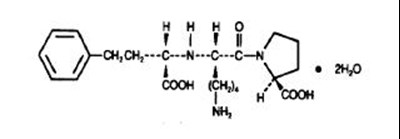
Description
Lisinopril is an oral long-acting angiotensin converting enzyme inhibitor. Lisinopril, a synthetic peptide derivative, is chemically described as (S)-1-[N2-(1-carboxy-3- phenylpropyl)-L-lysyl]-L-proline dihydrate. Its empirical formula is C21H31N3O5.2H2O and its structural formula is:
Lisinopril is a white to off-white, crystalline powder, with a molecular weight of 441.53. It is soluble in water and sparingly soluble in methanol and practically insoluble in ethanol.
Lisinopril tablet is supplied as 2.5 mg, 5 mg, 10 mg, 20 mg, 30 mg and 40 mg tablets for oral administration.
Inactive Ingredients:
2.5 mg, 5 mg, 10 mg tablets - dibasic calcium phosphate dihydrate, povidone, pregelatinized starch, mannitol, colloidal silicon dioxide, corn starch, magnesium stearate.
20 mg, 30 mg, 40 mg tablets - dibasic calcium phosphate dihydrate, povidone, pregelatinized starch, mannitol, colloidal silicon dioxide, corn starch, magnesium stearate, ferric oxide yellow (for 20 mg), ferric oxide red (for 30 mg) and ferric oxide brown (for 40 mg).
Mechanism Of Action
Lisinopril inhibits angiotensin-converting enzyme (ACE) in human subjects and animals. ACE is a peptidyl dipeptidase that catalyzes the conversion of angiotensin I to the vasoconstrictor substance, angiotensin II. Angiotensin II also stimulates aldosterone secretion by the adrenal cortex. The beneficial effects of lisinopril in hypertension and heart failure appear to result primarily from suppression of the reninangiotensin-aldosterone system. Inhibition of ACE results in decreased plasma angiotensin II which leads to decreased vasopressor activity and to decreased aldosterone secretion. The latter decrease may result in a small increase of serum potassium. In hypertensive patients with normal renal function treated with Lisinopril tablet alone for up to 24 weeks, the mean increase in serum potassium was approximately 0.1 mEq/L; however, approximately 15% of patients had increases greater than 0.5 mEq/L and approximately 6% had a decrease greater than 0.5 mEq/L. In the same study, patients treated with Lisinopril tablet and hydrochlorothiazide for up to 24 weeks had a mean decrease in serum potassium of 0.1 mEq/L; approximately 4% of patients had increases greater than 0.5 mEq/L and approximately 12% had a decrease greater than 0.5 mEq/L (See PRECAUTIONS). Removal of angiotensin II negative feedback on renin secretion leads to increased plasma renin activity.
ACE is identical to kininase, an enzyme that degrades bradykinin. Whether increased levels of bradykinin, a potent vasodepressor peptide, play a role in the therapeutic effects of Lisinopril tablet remains to be elucidated.
While the mechanism through which Lisinopril tablet lowers blood pressure is believed to be primarily suppression of the reninangiotensin-aldosterone system, Lisinopril tablet is antihypertensive even in patients with low-renin hypertension. Although Lisinopril tablet was antihypertensive in all races studied, Black hypertensive patients (usually a low-renin hypertensive population) had a smaller average response to monotherapy than non-Black patients.
Concomitant administration of Lisinopril tablet and hydrochlorothiazide further reduced blood pressure in Black and non-Black patients and any racial differences in blood pressure response were no longer evident.
Pharmacokinetics And Metabolism
Adult Patients: Following oral administration of Lisinopril tablet, peak serum concentrations of lisinopril occur within about 7 hours, although there was a trend to a small delay in time taken to reach peak serum concentrations in acute myocardial infarction patients. Declining serum concentrations exhibit a prolonged terminal phase which does not contribute to drug accumulation. This terminal phase probably represents saturable binding to ACE and is not proportional to dose.
Lisinopril does not appear to be bound to other serum proteins. Lisinopril does not undergo metabolism and is excreted unchanged entirely in the urine. Based on urinary recovery, the mean extent of absorption of lisinopril is approximately 25%, with large intersubject variability (6%-60%) at all doses tested (5-80 mg). Lisinopril absorption is not influenced by the presence of food in the gastrointestinal tract. The absolute bioavailability of lisinopril is reduced to 16% in patients with stable NYHA Class II-IV congestive heart failure, and the volume of distribution appears to be slightly smaller than that in normal subjects. The oral bioavailability of lisinopril in patients with acute myocardial infarction is similar to that in healthy volunteers.
Upon multiple dosing, lisinopril exhibits an effective half-life of accumulation of 12 hours.
Impaired renal function decreases elimination of lisinopril, which is excreted principally through the kidneys, but this decrease becomes clinically important only when the glomerular filtration rate is below 30 mL/min. Above this glomerular filtration rate, the elimination half-life is little changed. With greater impairment, however, peak and trough lisinopril levels increase, time to peak concentration increases and time to attain steady state is prolonged. Older patients, on average, have (approximately doubled) higher blood levels and area under the plasma concentration time curve (AUC) than younger patients. (See DOSAGE AND ADMINISTRATION). Lisinopril can be removed by hemodialysis.
Studies in rats indicate that lisinopril crosses the blood-brain barrier poorly. Multiple doses of lisinopril in rats do not result in accumulation in any tissues. Milk of lactating rats contains radioactivity following administration of 14C lisinopril. By whole body autoradiography, radioactivity was found in the placenta following administration of labeled drug to pregnant rats, but none was found in the fetuses.
Pediatric Patients: The pharmacokinetics of lisinopril were studied in 29 pediatric hypertensive patients between 6 years and 16 years with glomerular filtration rate >30 mL/min/1.73 m2. After doses of 0.1 to 0.2 mg/kg, steady state peak plasma concentrations of lisinopril occurred within 6 hours and the extent of absorption based on urinary recovery was about 28%. These values are similar to those obtained previously in adults. The typical value of lisinopril oral clearance (systemic clearance/absolute bioavailability) in a child weighing 30 kg is 10 L/h, which increases in proportion to renal function.
Hypertension
Adult Patients: Administration of Lisinopril tablet to patients with hypertension results in a reduction of both supine and standing blood pressure to about the same extent with no compensatory tachycardia. Symptomatic postural hypotension is usually not observed although it can occur and should be anticipated in volume and/or salt-depleted patients (See WARNINGS). When given together with thiazide-type diuretics, the blood pressure lowering effects of the two drugs are approximately additive.
In most patients studied, onset of antihypertensive activity was seen at one hour after oral administration of an individual dose of Lisinopril tablet, with peak reduction of blood pressure achieved by 6 hours. Although an antihypertensive effect was observed 24 hours after dosing with recommended single daily doses, the effect was more consistent and the mean effect was considerably larger in some studies with doses of 20 mg or more than with lower doses; however, at all doses studied, the mean antihypertensive effect was substantially smaller 24 hours after dosing than it was 6 hours after dosing.
In some patients achievement of optimal blood pressure reduction may require two to four weeks of therapy.
The antihypertensive effects of Lisinopril tablet are maintained during long-term therapy. Abrupt withdrawal of Lisinopril tablet has not been associated with a rapid increase in blood pressure, or a significant increase in blood pressure compared to pretreatment levels.
Two dose-response studies utilizing a once-daily regimen were conducted in 438 mild to moderate hypertensive patients not on a diuretic. Blood pressure was measured 24 hours after dosing. An antihypertensive effect of Lisinopril tablet was seen with 5 mg in some patients. However, in both studies blood pressure reduction occurred sooner and was greater in patients treated with 10, 20 or 80 mg of Lisinopril tablet. In controlled clinical studies, Lisinopril tablet 20-80 mg has been compared in patients with mild to moderate hypertension to hydrochlorothiazide 12.5-50 mg and with atenolol 50-200 mg; and in patients with moderate to severe hypertension to metoprolol 100-200 mg. It was superior to hydrochlorothiazide in effects on systolic and diastolic pressure in a population that was 3/4 Caucasian. Lisinopril tablet was approximately equivalent to atenolol and metoprolol in effects on diastolic blood pressure, and had somewhat greater effects on systolic blood pressure.
Lisinopril tablet had similar effectiveness and adverse effects in younger and older (>65 years) patients. It was less effective in Blacks than in Caucasians.
In hemodynamic studies in patients with essential hypertension, blood pressure reduction was accompanied by a reduction in peripheral arterial resistance with little or no change in cardiac output and in heart rate. In a study in nine hypertensive patients, following administration of Lisinopril tablet, there was an increase in mean renal blood flow that was not significant. Data from several small studies are inconsistent with respect to the effect of lisinopril on glomerular filtration rate in hypertensive patients with normal renal function, but suggest that changes, if any, are not large.
In patients with renovascular hypertension Lisinopril tablet has been shown to be well tolerated and effective in controlling blood pressure (See PRECAUTIONS).
Pediatric Patients: In a clinical study involving 115 hypertensive pediatric patients 6 to 16 years of age, patients who weighed <50 kg received either 0.625, 2.5 or 20 mg of lisinopril daily and patients who weighed ≥50 kg received either 1.25, 5, or 40 mg of lisinopril daily. At the end of 2 weeks, lisinopril administered once daily lowered trough blood pressure in a dose-dependent manner with consistent antihypertensive efficacy demonstrated at doses >1.25 mg (0.02 mg/kg). This effect was confirmed in a withdrawal phase, where the diastolic pressure rose by about 9 mmHg more in patients randomized to placebo than it did in patients who were randomized to remain on the middle and high doses of lisinopril. The dose-dependent antihypertensive effect of lisinopril was consistent across several demographic subgroups: age, Tanner stage, gender, and race. In this study, lisinopril was generally well tolerated.
In the above pediatric studies, lisinopril was given either as tablets or in a suspension for those children and infants who were unable to swallow tablets or who required a lower dose than is available in tablet form (see DOSAGE AND ADMINISTRATION, Preparation of Suspension).
Lisinopril tablet is indicated for the treatment of hypertension. It may be used alone as initial therapy or concomitantly with other classes of antihypertensive agents.
In clinical trials in patients with hypertension treated with Lisinopril tablet, discontinuation of therapy due to clinical adverse experiences occurred in 5.7% of patients. The overall frequency of adverse experiences could not be related to total daily dosage within the recommended therapeutic dosage range.
For adverse experiences occurring in greater than 1% of patients with hypertension treated with Lisinopril tablet or Lisinopril tablet plus hydrochlorothiazide in controlled clinical trials, and more frequently with Lisinopril tablet and/or Lisinopril tablet plus hydrochlorothiazide than placebo, comparative incidence data are listed in the table below:
| Lisinopril tablet(n=1349)Incidence (discontinuation) | Lisinopril tablet/ Hydrochlorothiazide (n=629)Incidence (discontinuation) | PLACEBO(n=207) Incidence (discontinuation) | |
| Body as a Whole | |||
| Fatigue | 2.5 (0.3) | 4.0 (0.5) | 1.0 (0.0) | 
| Asthenia | 1.3 (0.5) | 2.1 (0.2) | 1.0 (0.0) | 
| Orthostatic Effects | 1.2 (0.0) | 3.5 (0.2) | 1.0 (0.0) | 
| Cardiovascular | |||
| Hypotension | 1.2 (0.5) | 1.6 (0.5) | 0.5 (0.5) | 
| Digestive | |||
| Diarrhea | 2.7 (0.2) | 2.7 (0.3) | 2.4 (0.0) | 
| Nausea | 2.0 (0.4) | 2.5 (0.2) | 2.4 (0.0) | 
| Vomiting | 1.1 (0.2) | 1.4 (0.1) | 0.5 (0.0) | 
| Dyspepsia | 0.9 (0.0) | 1.9 (0.0) | 0.0 (0.0) | 
| Musculoskeletal | |||
| Muscle Cramps | 0.5 (0.0) | 2.9 (0.8) | 0.5 (0.0) | 
| Nervous/Psychiatric | |||
| Headache | 5.7 (0.2) | 4.5 (0.5) | 1.9 (0.0) | 
| Dizziness | 5.4 (0.4) | 9.2 (1.0) | 1.9 (0.0) | 
| Paresthesia | 0.8 (0.1) | 2.1 (0.2) | 0.0 (0.0) | 
| Decreased Libido | 0.4 (0.1) | 1.3 (0.1) | 0.0 (0.0) | 
| Vertigo | 0.2 (0.1) | 1.1 (0.2) | 0.0 (0.0) | 
| Respiratory | |||
| Cough | 3.5 (0.7) | 4.6 (0.8) | 1.0 (0.0) | 
| Upper Respiratory Infection | 2.1 (0.1) | 2.7 (0.1) | 0.0 (0.0) | 
| Common Cold | 1.1 (0.1) | 1.3 (0.1) | 0.0 (0.0) | 
| Nasal Congestion | 0.4 (0.1) | 1.3 (0.1) | 0.0 (0.0) | 
| Influenza | 0.3 (0.1) | 1.1 (0.1) | 0.0 (0.0) | 
| Skin | |||
| Rash | 1.3 (0.4) | 1.6 (0.2) | 0.5 (0.5) | 
| Urogenital | |||
| Impotence | 1.0 (0.4) | 1.6 (0.5) | 0.0 (0.0) | 
Chest pain and back pain were also seen, but were more common on placebo than Lisinopril tablet.
Initial Therapy: In patients with uncomplicated essential hypertension not on diuretic therapy, the recommended initial dose is 10 mg once a day. Dosage should be adjusted according to blood pressure response. The usual dosage range is 20 to 40 mg per day administered in a single daily dose. The antihypertensive effect may diminish toward the end of the dosing interval regardless of the administered dose, but most commonly with a dose of 10 mg daily. This can be evaluated by measuring blood pressure just prior to dosing to determine whether satisfactory control is being maintained for 24 hours. If it is not, an increase in dose should be considered. Doses up to 80 mg have been used but do not appear to give greater effect. If blood pressure is not controlled with Lisinopril tablet alone, a low dose of a diuretic may be added. Hydrochlorothiazide, 12.5 mg has been shown to provide an additive effect. After the addition of a diuretic, it may be possible to reduce the dose of Lisinopril tablet.
Diuretic Treated Patients: In hypertensive patients who are currently being treated with a diuretic, symptomatic hypotension may occur occasionally following the initial dose of Lisinopril tablet. The diuretic should be discontinued, if possible, for two to three days before beginning therapy with Lisinopril tablet to reduce the likelihood of hypotension (See WARNINGS). The dosage of Lisinopril tablet should be adjusted according to blood pressure response. If the patient's blood pressure is not controlled with Lisinopril tablet alone, diuretic therapy may be resumed as described above.
If the diuretic cannot be discontinued, an initial dose of 5 mg should be used under medical supervision for at least two hours and until blood pressure has stabilized for at least an additional hour (See WARNINGS and PRECAUTIONS, Drug Interactions).
Concomitant administration of Lisinopril tablet with potassium supplements, potassium salt substitutes, or potassium-sparing diuretics may lead to increases of serum potassium (See PRECAUTIONS).
Dosage Adjustment in Renal Impairment: The usual dose of Lisinopril tablet (10 mg) is recommended for patients with creatinine clearance >30 mL/min (serum creatinine of up to approximately 3 mg/dL). For patients with creatinine clearance ≥10 mL/min ≤30 mL/min (serum creatinine ≥3 mg/dL), the first dose is 5 mg once daily. For patients with creatinine clearance <10 mL/min (usually on hemodialysis) the recommended initial dose is 2.5 mg. The dosage may be titrated upward until blood pressure is controlled or to a maximum of 40 mg daily.
| * See WARNINGS, Anaphylactoid Reactions During Membrane Exposure. | ||
| ** Dosage or dosing interval should be adjusted depending on the blood pressure response. | ||
| Renal Status | Creatinine Clearance mL/min | Initial Dose mg/day | 
| Normal Renal Function to Mild Impairment | >30 | 10 | 
| Moderate to Severe Impairment | ≥10 ≤30 | 5 | 
| Dialysis Patients* | <10 | 2.5** | 
Heart Failure
During baseline-controlled clinical trials, in patients receiving digitalis and diuretics, single doses of Lisinopril tablet resulted in decreases in pulmonary capillary wedge pressure, systemic vascular resistance and blood pressure accompanied by an increase in cardiac output and no change in heart rate.
In two placebo controlled, 12-week clinical studies using doses of Lisinopril tablet up to 20 mg, Lisinopril tablet as adjunctive therapy to digitalis and diuretics improved the following signs and symptoms due to congestive heart failure: edema, rales, paroxysmal nocturnal dyspnea and jugular venous distention. In one of the studies, beneficial response was also noted for: orthopnea, presence of third heart sound and the number of patients classified as NYHA Class III and IV. Exercise tolerance was also improved in this study. The once-daily dosing for the treatment of congestive heart failure was the only dosage regimen used during clinical trial development and was determined by the measurement of hemodynamic response. A large (over 3000 patients) survival study, the ATLAS Trial, comparing 2.5 and 35 mg of lisinopril in patients with heart failure, showed that the higher dose of lisinopril had outcomes at least as favorable as the lower dose.
Lisinopril tablet is indicated as adjunctive therapy in the management of heart failure in patients who are not responding adequately to diuretics and digitalis.
In patients with heart failure treated with Lisinopril tablet for up to four years, discontinuation of therapy due to clinical adverse experiences occurred in 11.0% of patients. In controlled studies in patients with heart failure, therapy was discontinued in 8.1% of patients treated with Lisinopril tablet for 12 weeks, compared to 7.7% of patients treated with placebo for 12 weeks.
The following table lists those adverse experiences which occurred in greater than 1% of patients with heart failure treated with Lisinopril tablet or placebo for up to 12 weeks in controlled clinical trials, and more frequently on Lisinopril tablet than placebo.
| Controlled Trials | ||
| Lisinopril tablet (n=407) Incidence (discontinuation) 12 weeks | Placebo (n=155) Incidence(discontinuation) 12 weeks | |
| Body as a Whole | ||
| Chest Pain | 3.4 (0.2) | 1.3 (0.0) | 
| Abdominal Pain | 2.2 (0.7) | 1.9 (0.0) | 
| Cardiovascular | ||
| Hypotension | 4.4 (1.7) | 0.6 (0.6) | 
| Digestive | ||
| Diarrhea | 3.7 (0.5) | 1.9 (0.0) | 
| Nervous/Psychiatric | ||
| Dizziness | 11.8 (1.2) | 4.5 (1.3) | 
| Headache | 4.4 (0.2) | 3.9 (0.0) | 
| Respiratory | ||
| Upper Respiratory Infection | 1.5 (0.0) | 1.3 (0.0) | 
| Skin | ||
| Rash | 1.7 (0.5) | 0.6 (0.6) | 
Also observed at >1% with Lisinopril tablet but more frequent or as frequent on placebo than Lisinopril tablet in controlled trials were asthenia, angina pectoris, nausea, dyspnea, cough, and pruritus.
Worsening of heart failure, anorexia, increased salivation, muscle cramps, back pain, myalgia, depression, chest sound abnormalities, and pulmonary edema were also seen in controlled clinical trials, but were more common on placebo than Lisinopril tablet.
In the two-dose ATLAS trial in heart failure patients, withdrawals due to adverse events were not different between the low and high groups, either in total number of discontinuation (17-18%) or in rare specific events (<1%). The following adverse events, mostly related to ACE inhibition, were reported more commonly in the high dose group:
| *NPN = non-protein nitrogen | ||
| % of patients Events | High Dose (N=1568) | Low dose (N=1596) | 
| Dizziness | 18.9 | 12.1 | 
| Hypotension | 10.8 | 6.7 | 
| Creatinine increased | 9.9 | 7.0 | 
| Hyperkalemia | 6.4 | 3.5 | 
| NPN* increased | 9.2 | 6.5 | 
| Syncope | 7.0 | 5.1 | 
Lisinopril tablet is indicated as adjunctive therapy with diuretics and (usually) digitalis. The recommended starting dose is 5 mg once a day. When initiating treatment with lisinopril in patients with heart failure, the initial dose should be administered under medical observation, especially in those patients with low blood pressure (systolic blood pressure below 100 mmHg). The mean peak blood pressure lowering occurs six to eight hours after dosing. Observation should continue until blood pressure is stable. The concomitant diuretic dose should be reduced, if possible, to help minimize hypovolemia which may contribute to hypotension (See WARNINGS and PRECAUTIONS, Drug Interactions). The appearance of hypotension after the initial dose of Lisinopril tablet does not preclude subsequent careful dose titration with the drug, following effective management of the hypotension.
The usual effective dosage range is 5 to 40 mg per day administered as a single daily dose. The dose of Lisinopril tablet can be increased by increments of no greater than 10 mg, at intervals of no less than 2 weeks to the highest tolerated dose, up to a maximum of 40 mg daily. Dose adjustment should be based on the clinical response of individual patients.
Dosage Adjustment in Patients with Heart Failure and Renal Impairment or Hyponatremia: In patients with heart failure who have hyponatremia (serum sodium <130 mEq/L) or moderate to severe renal impairment (creatinine clearance ≤30 mL/min or serum creatinine >3 mg/dL), therapy with Lisinopril tablet should be initiated at a dose of 2.5 mg once a day under close medical supervision (See WARNINGS and PRECAUTIONS, Drug Interactions).
Acute Myocardial Infarction
The Gruppo Italiano per lo Studio della Sopravvienza nell’Infarto Miocardico (GISSI-3) study was a multicenter, controlled, randomized, unblended clinical trial conducted in 19,394 patients with acute myocardial infarction admitted to a coronary care unit. It was designed to examine the effects of short-term (6 week) treatment with lisinopril, nitrates, their combination, or no therapy on short-term (6 week) mortality and on long-term death and markedly impaired cardiac function. Patients presenting within 24 hours of the onset of symptoms who were hemodynamically stable were randomized, in a 2 x 2 factorial design, to six weeks of either 1) Lisinopril tablet alone (n=4841), 2) nitrates alone (n=4869), 3) Lisinopril tablet plus nitrates (n=4841), or 4) open control (n=4843). All patients received routine therapies, including thrombolytics (72%), aspirin (84%), and a beta-blocker (31%), as appropriate, normally utilized in acute myocardial infarction (MI) patients.
The protocol excluded patients with hypotension (systolic blood pressure ≤100 mmHg), severe heart failure, cardiogenic shock, and renal dysfunction (serum creatinine >2 mg/dL and/or proteinuria >500 mg/24 h). Doses of Lisinopril tablet were adjusted as necessary according to protocol (see DOSAGE AND ADMINISTRATION).
Study treatment was withdrawn at six weeks except where clinical conditions indicated continuation of treatment.
The primary outcomes of the trial were the overall mortality at 6 weeks and a combined end point at 6 months after the myocardial infarction, consisting of the number of patients who died, had late (day 4) clinical congestive heart failure, or had extensive left ventricular damage defined as ejection fraction ≤35% or an akinetic-dyskinetic [A-D] score ≥45%. Patients receiving Lisinopril tablet (n=9646), alone or with nitrates, had an 11% lower risk of death (2p [two-tailed] = 0.04) compared to patients receiving no Lisinopril tablet (n=9672) (6.4% vs. 7.2%, respectively) at six weeks. Although patients randomized to receive Lisinopril tablet for up to six weeks also fared numerically better on the combined end point at 6 months, the open nature of the assessment of heart failure, substantial loss to follow-up echocardiography, and substantial excess use of lisinopril between 6 weeks and 6 months in the group randomized to 6 weeks of lisinopril, preclude any conclusion about this end point.
Patients with acute myocardial infarction, treated with Lisinopril tablet, had a higher (9.0% versus 3.7%) incidence of persistent hypotension (systolic blood pressure <90 mmHg for more than 1 hour) and renal dysfunction (2.4% versus 1.1%) in-hospital and at six weeks (increasing creatinine concentration to over 3 mg/dL or a doubling or more of the baseline serum creatinine concentration). See ADVERSE REACTIONS - Acute Myocardial Infarction.
Lisinopril tablet is indicated for the treatment of hemodynamically stable patients within 24 hours of acute myocardial infarction, to improve survival. Patients should receive, as appropriate, the standard recommended treatments such as thrombolytics, aspirin and beta blockers.
In using Lisinopril tablet, consideration should be given to the fact that another angiotensin-converting enzyme inhibitor, captopril, has caused agranulocytosis, particularly in patients with renal impairment or collagen vascular disease, and that available data are insufficient to show that Lisinopril tablet does not have a similar risk (See WARNINGS).
In considering the use of Lisinopril tablet, it should be noted that in controlled clinical trials ACE inhibitors have an effect on blood pressure that is less in Black patients than in non-Blacks. In addition, ACE inhibitors have been associated with a higher rate of angioedema in Black than in non-Black patients (see WARNINGS, Anaphylactoid and Possibly Related Reactions).
In the GISSI-3 trial, in patients treated with Lisinopril tablet for six weeks following acute myocardial infarction, discontinuation of therapy occurred in 17.6% of patients.
Patients treated with Lisinopril tablet had a significantly higher incidence of hypotension and renal dysfunction compared with patients not taking Lisinopril tablet.
In the GISSI-3 trial, hypotension (9.7%), renal dysfunction (2.0%), cough (0.5%), post infarction angina (0.3%), skin rash and generalized edema (0.01%), and angioedema (0.01%) resulted in withdrawal of treatment. In elderly patients treated with Lisinopril tablet, discontinuation due to renal dysfunction was 4.2%.
Other clinical adverse experiences occurring in 0.3% to 1.0% of patients with hypertension or heart failure treated with Lisinopril tablet in controlled clinical trials and rarer, serious, possibly drug-related events reported in uncontrolled studies or marketing experience are listed below, and within each category are in order of decreasing severity:
Body as a Whole: Anaphylactoid reactions (see WARNINGS, Anaphylactoid and Possibly Related Reactions), syncope, orthostatic effects, chest discomfort, pain, pelvic pain, flank pain, edema, facial edema, virus infection, fever, chills, malaise.
Cardiovascular: Cardiac arrest; myocardial infarction or cerebrovascular accident possibly secondary to excessive hypotension in high risk patients (see WARNINGS, Hypotension); pulmonary embolism and infarction, arrhythmias (including ventricular tachycardia, atrial tachycardia, atrial fibrillation, bradycardia and premature ventricular contractions), palpitations, transient ischemic attacks, paroxysmal nocturnal dyspnea, orthostatic hypotension, decreased blood pressure, peripheral edema, vasculitis.
Digestive: Pancreatitis, hepatitis (hepatocellular or cholestatic jaundice) (see WARNINGS, Hepatic Failure), vomiting, gastritis, dyspepsia, heartburn, gastrointestinal cramps, constipation, flatulence, dry mouth.
Hematologic: Rare cases of bone marrow depression, hemolytic anemia, leukopenia/ neutropenia and thrombocytopenia.
Endocrine: Diabetes mellitus.
Metabolic: Weight loss, dehydration, fluid overload, gout, weight gain. Cases of hypoglycemia in diabetic patients on oral antidiabetic agents or insulin have been reported in post-marketing experience (See PRECAUTIONS, Drug Interactions).
Musculoskeletal: Arthritis, arthralgia, neck pain, hip pain, low back pain, joint pain, leg pain, knee pain, shoulder pain, arm pain, lumbago.
Nervous System/Psychiatric: Stroke, ataxia, memory impairment, tremor, peripheral neuropathy (e.g., dysesthesia), spasm, paresthesia, confusion, insomnia, somnolence, hypersomnia, irritability, nervousness and mood alterations (including depressive symptoms).
Respiratory System: Malignant lung neoplasms, hemoptysis, pulmonary infiltrates, bronchospasm, asthma, pleural effusion, pneumonia, eosinophilic pneumonitis, bronchitis, wheezing, orthopnea, painful respiration, epistaxis, laryngitis, sinusitis, pharyngeal pain, pharyngitis, rhinitis, rhinorrhea.
Skin: Urticaria, alopecia, herpes zoster, photosensitivity, skin lesions, skin infections, pemphigus, erythema, flushing, diaphoresis, cutaneous pseudolymphoma. Other severe skin reactions have been reported rarely, including toxic epidermal necrolysis and Stevens-Johnson syndrome; causal relationship has not been established.
Special Senses: Visual loss, diplopia, blurred vision, tinnitus, photophobia, taste disturbances.
Urogenital System: Acute renal failure, oliguria, anuria, uremia, progressive azotemia, renal dysfunction (see PRECAUTIONS and DOSAGE AND ADMINISTRATION), pyelonephritis, dysuria, urinary tract infection, breast pain.
Miscellaneous: A symptom complex has been reported which may include a positive ANA, an elevated erythrocyte sedimentation rate, arthralgia/arthritis, myalgia, fever, vasculitis, eosinophilia and leukocytosis. Rash, photosensitivity or other dermatological manifestations may occur alone or in combination with these symptoms.
Angioedema: Angioedema has been reported in patients receiving Lisinopril tablet (0.1%) with an incidence higher in Black than in non-Black patients. Angioedema associated with laryngeal edema may be fatal. If angioedema of the face, extremities, lips, tongue, glottis and/or larynx occurs, treatment with Lisinopril tablet should be discontinued and appropriate therapy instituted immediately (See WARNINGS).
In rare cases, intestinal angioedema has been reported in post marketing experience.
Hypotension: In hypertensive patients, hypotension occurred in 1.2% and syncope occurred in 0.1% of patients with an incidence higher in Black than in non-Black patients. Hypotension or syncope was a cause of discontinuation of therapy in 0.5% of hypertensive patients. In patients with heart failure, hypotension occurred in 5.3% and syncope occurred in 1.8% of patients. These adverse experiences were possibly dose-related (see above data from ATLAS Trial) and caused discontinuation of therapy in 1.8% of these patients in the symptomatic trials. In patients treated with Lisinopril tablet for six weeks after acute myocardial infarction, hypotension (systolic blood pressure ≤100 mmHg) resulted in discontinuation of therapy in 9.7% of the patients (See WARNINGS).
Fetal/Neonatal Morbidity and Mortality: See WARNINGS, Fetal/Neonatal Morbidity and Mortality.
Cough: See PRECAUTIONS - Cough
Pediatric Patients: No relevant differences between the adverse experience profile for pediatric patients and that previously reported for adult patients were identified.
In hemodynamically stable patients within 24 hours of the onset of symptoms of acute myocardial infarction, the first dose of Lisinopril tablet is 5 mg given orally, followed by 5 mg after 24 hours, 10 mg after 48 hours and then 10 mg of Lisinopril tablet once daily. Dosing should continue for six weeks. Patients should receive, as appropriate, the standard recommended treatments such as thrombolytics, aspirin, and beta-blockers.
Patients with a low systolic blood pressure (≤120 mmHg) when treatment is started or during the first 3 days after the infarct should be given a lower 2.5 mg oral dose of Lisinopril tablet (see WARNINGS). If hypotension occurs (systolic blood pressure ≤100 mmHg) a daily maintenance dose of 5 mg may be given with temporary reductions to 2.5 mg if needed. If prolonged hypotension occurs (systolic blood pressure <90 mmHg for more than 1 hour) Lisinopril tablet should be withdrawn. For patients who develop symptoms of heart failure, see DOSAGE AND ADMINISTRATION, Heart Failure.
Dosage Adjustment in Patients With Myocardial Infarction with Renal Impairment: In acute myocardial infarction, treatment with Lisinopril tablet should be initiated with caution in patients with evidence of renal dysfunction, defined as serum creatinine concentration exceeding 2 mg/dL. No evaluation of dosing adjustments in myocardial infarction patients with severe renal impairment has been performed.
Contraindications
Lisinopril tablet is contraindicated in patients who are hypersensitive to this product and in patients with a history of angioedema related to previous treatment with an angiotensin converting enzyme inhibitor and in patients with hereditary or idiopathic angioedema.
Anaphylactoid And Possibly Related Reactions
Presumably because angiotensin-converting enzyme inhibitors affect the metabolism of eicosanoids and polypeptides, including endogenous bradykinin, patients receiving ACE inhibitors (including Lisinopril tablet) may be subject to a variety of adverse reactions, some of them serious.
Head and Neck Angioedema: Angioedema of the face, extremities, lips, tongue, glottis and/or larynx has been reported in patients treated with angiotensin converting enzyme inhibitors, including Lisinopril tablet. This may occur at any time during treatment. ACE inhibitors have been associated with a higher rate of angioedema in Black than in non-Black patients. Lisinopril tablet should be promptly discontinued and appropriate therapy and monitoring should be provided until complete and sustained resolution of signs and symptoms has occurred. Even in those instances where swelling of only the tongue is involved, without respiratory distress, patients may require prolonged observation since treatment with antihistamines and corticosteroids may not be sufficient. Very rarely, fatalities have been reported due to angioedema associated with laryngeal edema or tongue edema. Patients with involvement of the tongue, glottis or larynx are likely to experience airway obstruction, especially those with a history of airway surgery. Where there is involvement of the tongue, glottis or larynx, likely to cause airway obstruction, appropriate therapy, e.g., subcutaneous epinephrine solution 1:1000 (0.3 mL to 0.5 mL) and/or measures necessary to ensure a patent airway should be promptly provided (See ADVERSE REACTIONS).
Intestinal angioedema: Intestinal angioedema has been reported in patients treated with ACE inhibitors. These patients presented with abdominal pain (with or without nausea or vomiting); in some cases there was no prior history of facial angioedema and C-1 esterase levels were normal. The angioedema was diagnosed by procedures including abdominal CT scan or ultrasound, or at surgery, and symptoms resolved after stopping the ACE inhibitor. Intestinal angioedema should be included in the differential diagnosis of patients on ACE inhibitors presenting with abdominal pain.
Patients with a history of angioedema unrelated to ACE inhibitor therapy may be at increased risk of angioedema while receiving an ACE inhibitor (See also INDICATIONS AND USAGE and CONTRAINDICATIONS).
Anaphylactoid Reactions During Desensitization: Two patients undergoing desensitizing treatment with hymenoptera venom while receiving ACE inhibitors sustained life-threatening anaphylactoid reactions. In the same patients, these reactions were avoided when ACE inhibitors were temporarily withheld, but they reappeared upon inadvertent rechallenge.
Anaphylactoid Reactions During Membrane Exposure: Sudden and potentially life threatening anaphylactoid reactions have been reported in some patients dialyzed with high-flux membranes (e.g., AN69®*) and treated concomitantly with an ACE inhibitor. In such patients, dialysis must be stopped immediately, and aggressive therapy for anaphylactoid reactions must be initiated. Symptoms have not been relieved by antihistamines in these situations. In these patients, consideration should be given to using a different type of dialysis membrane or a different class of antihypertensive agent. Anaphylactoid reactions have also been reported in patients undergoing low-density lipoprotein apheresis with dextran sulfate absorption.
Hypotension
Excessive hypotension is rare in patients with uncomplicated hypertension treated with Lisinopril tablet alone.
Patients with heart failure given Lisinopril tablet commonly have some reduction in blood pressure, with peak blood pressure reduction occurring 6 to 8 hours post dose. Evidence from the two-dose ATLAS trial suggested that incidence of hypotension may increase with dose of lisinopril in heart failure patients. Discontinuation of therapy because of continuing symptomatic hypotension usually is not necessary when dosing instructions are followed; caution should be observed when initiating therapy (See DOSAGE AND ADMINISTRATION).
Patients at risk of excessive hypotension, sometimes associated with oliguria and/or progressive azotemia, and rarely with acute renal failure and/or death, include those with the following conditions or characteristics: heart failure with systolic blood pressure below 100 mmHg, hyponatremia, high dose diuretic therapy, recent intensive diuresis or increase in diuretic dose, renal dialysis, or severe volume and/or salt depletion of any etiology. It may be advisable to eliminate the diuretic (except in patients with heart failure), reduce the diuretic dose or increase salt intake cautiously before initiating therapy with Lisinopril tablet in patients at risk for excessive hypotension who are able to tolerate such adjustments (See PRECAUTIONS, Drug Interactions and ADVERSE REACTIONS).
Patients with acute myocardial infarction in the GISSI-3 trial had a higher (9.0% versus 3.7%) incidence of persistent hypotension (systolic blood pressure <90 mmHg for more than 1 hour) when treated with Lisinopril tablet. Treatment with Lisinopril tablet must not be initiated in acute myocardial infarction patients at risk of further serious hemodynamic deterioration after treatment with a vasodilator (e.g., systolic blood pressure of 100 mmHg or lower) or cardiogenic shock.
In patients at risk of excessive hypotension, therapy should be started under very close medical supervision and such patients should be followed closely for the first two weeks of treatment and whenever the dose of Lisinopril tablet and/or diuretic is increased. Similar considerations may apply to patients with ischemic heart or cerebrovascular disease, or in patients with acute myocardial infarction, in whom an excessive fall in blood pressure could result in a myocardial infarction or cerebrovascular accident.
If excessive hypotension occurs, the patient should be placed in the supine position and, if necessary, receive an intravenous infusion of normal saline. A transient hypotensive response is not a contraindication to further doses of Lisinopril tablet which usually can be given without difficulty once the blood pressure has stabilized. If symptomatic hypotension develops, a dose reduction or discontinuation of Lisinopril tablet or concomitant diuretic may be necessary.
Leukopenia/Neutropenia/Agranulocytosis
Another angiotensin converting enzyme inhibitor, captopril, has been shown to cause agranulocytosis and bone marrow depression, rarely in uncomplicated patients but more frequently in patients with renal impairment especially if they also have a collagen vascular disease. Available data from clinical trials of Lisinopril tablet are insufficient to show that Lisinopril tablet does not cause agranulocytosis at similar rates. Marketing experience has revealed rare cases of leukopenia/neutropenia and bone marrow depression in which a causal relationship to lisinopril cannot be excluded. Periodic monitoring of white blood cell counts in patients with collagen vascular disease and renal disease should be considered.
Hepatic Failure
Rarely, ACE inhibitors have been associated with a syndrome that starts with cholestatic jaundice or hepatitis and progresses to fulminant hepatic necrosis and (sometimes) death. The mechanism of this syndrome is not understood. Patients receiving ACE inhibitors who develop jaundice or marked elevations of hepatic enzymes should discontinue the ACE inhibitor and receive appropriate medical follow-up.
Fetal/Neonatal Morbidity And Mortality
ACE inhibitors can cause fetal and neonatal morbidity and death when administered to pregnant women. Several dozen cases have been reported in the world literature. When pregnancy is detected, ACE inhibitors should be discontinued as soon as possible.
In a published retrospective epidemiological study, infants whose mothers had taken an ACE inhibitor drug during their first trimester of pregnancy appeared to have an increased risk of major congenital malformations compared with infants whose mothers had not undergone first trimester exposure to ACE inhibitor drugs. The number of cases of birth defects is small and the findings of this study have not yet been repeated.
The use of ACE inhibitors during the second and third trimesters of pregnancy has been associated with fetal and neonatal injury, including hypotension, neonatal skull hypoplasia, anuria, reversible or irreversible renal failure, and death. Oligohydramnios has also been reported, presumably resulting from decreased fetal renal function; oligohydramnios in this setting has been associated with fetal limb contractures, craniofacial deformation, and hypoplastic lung development. Prematurity, intrauterine growth retardation, and patent ductus arteriosus have also been reported, although it is not clear whether these occurrences were due to the ACE-inhibitor exposure.
These adverse effects do not appear to have resulted from intrauterine ACE-inhibitor exposure that has been limited to the first trimester. Mothers whose embryos and fetuses are exposed to ACE inhibitors only during the first trimester should be so informed. Nonetheless, when patients become pregnant, physicians should make every effort to discontinue the use of Lisinopril tablet as soon as possible.
Rarely (probably less often than once in every thousand pregnancies), no alternative to ACE inhibitors will be found. In these rare cases, the mothers should be apprised of the potential hazards to their fetuses, and serial ultrasound examinations should be performed to assess the intraamniotic environment.
If oligohydramnios is observed, Lisinopril tablet should be discontinued unless it is considered lifesaving for the mother. Contraction stress testing (CST), a nonstress test (NST), or biophysical profiling (BPP) may be appropriate, depending upon the week of pregnancy. Patients and physicians should be aware, however, that oligohydramnios may not appear until after the fetus has sustained irreversible injury.
Infants with histories of in utero exposure to ACE inhibitors should be closely observed for hypotension, oliguria, and hyperkalemia. If oliguria occurs, attention should be directed toward support of blood pressure and renal perfusion. Exchange transfusion or dialysis may be required as means of reversing hypotension and/or substituting for disordered renal function. Lisinopril, which crosses the placenta, has been removed from neonatal circulation by peritoneal dialysis with some clinical benefit, and theoretically may be removed by exchange transfusion, although there is no experience with the latter procedure.
No teratogenic effects of lisinopril were seen in studies of pregnant rats, mice, and rabbits. On a mg/kg basis, the doses used were up to 625 times (in mice), 188 times (in rats), and 0.6 times (in rabbits) the maximum recommended human dose.
General
Aortic Stenosis/Hypertrophic Cardiomyopathy: As with all vasodilators, lisinopril should be given with caution to patients with obstruction in the outflow tract of the left ventricle.
Impaired Renal Function: As a consequence of inhibiting the renin-angiotensin-aldosterone system, changes in renal function may be anticipated in susceptible individuals. In patients with severe congestive heart failure whose renal function may depend on the activity of the renin-angiotensin-aldosterone system, treatment with angiotensin converting enzyme inhibitors, including Lisinopril tablet, may be associated with oliguria and/or progressive azotemia and rarely with acute renal failure and/or death.
In hypertensive patients with unilateral or bilateral renal artery stenosis, increases in blood urea nitrogen and serum creatinine may occur. Experience with another angiotensin-converting enzyme inhibitor suggests that these increases are usually reversible upon discontinuation of Lisinopril tablet and/or diuretic therapy. In such patients, renal function should be monitored during the first few weeks of therapy.
Some patients with hypertension or heart failure with no apparent pre-existing renal vascular disease have developed increases in blood urea nitrogen and serum creatinine, usually minor and transient, especially when Lisinopril tablet has been given concomitantly with a diuretic. This is more likely to occur in patients with pre-existing renal impairment. Dosage reduction and/or discontinuation of the diuretic and/or Lisinopril tablet may be required.
Patients with acute myocardial infarction in the GISSI-3 trial treated with Lisinopril tablet had a higher (2.4% versus 1.1%) incidence of renal dysfunction in-hospital and at six weeks (increasing creatinine concentration to over 3 mg/dL or a doubling or more of the baseline serum creatinine concentration). In acute myocardial infarction, treatment with Lisinopril tablet should be initiated with caution in patients with evidence of renal dysfunction, defined as serum creatinine concentration exceeding 2 mg/dL. If renal dysfunction develops during treatment with Lisinopril tablet (serum creatinine concentration exceeding 3 mg/dL or a doubling from the pre-treatment value) then the physician should consider withdrawal of Lisinopril tablet.
Evaluation of patients with hypertension, heart failure, or myocardial infarction should always include assessment of renal function (See DOSAGE AND ADMINISTRATION).
Hyperkalemia: In clinical trials hyperkalemia (serum potassium greater than 5.7 mEq/L) occurred in approximately 2.2% of hypertensive patients and 4.8% of patients with heart failure. In most cases these were isolated values which resolved despite continued therapy. Hyperkalemia was a cause of discontinuation of therapy in approximately 0.1% of hypertensive patients; 0.6% of patients with heart failure and 0.1% of patients with myocardial infarction. Risk factors for the development of hyperkalemia include renal insufficiency, diabetes mellitus, and the concomitant use of potassium- sparing diuretics, potassium supplements and/or potassium-containing salt substitutes. Hyperkalemia can cause serious, sometimes fatal, arrhythmias. Lisinopril tablet should be used cautiously, if at all, with these agents and with frequent monitoring of serum potassium (See Drug Interactions.)
Cough: Presumably due to the inhibition of the degradation of endogenous bradykinin, persistent nonproductive cough has been reported with all ACE inhibitors, almost always resolving after discontinuation of therapy. ACE inhibitor induced cough should be considered in the differential diagnosis of cough.
Surgery/Anesthesia: In patients undergoing major surgery or during anesthesia with agents that produce hypotension, Lisinopril tablet may block angiotensin II formation secondary to compensatory renin release. If hypotension occurs and is considered to be due to this mechanism, it can be corrected by volume expansion.
Information For Patients
Angioedema: Angioedema, including laryngeal edema, may occur at any time during treatment with angiotensin-converting enzyme inhibitors, including Lisinopril tablet. Patients should be so advised and told to report immediately any signs or symptoms suggesting angioedema (swelling of face, extremities, eyes, lips, tongue, difficulty in swallowing or breathing) and to take no more drug until they have consulted with the prescribing physician.
Symptomatic Hypotension: Patients should be cautioned to report lightheadedness especially during the first few days of therapy. If actual syncope occurs, the patient should be told to discontinue the drug until they have consulted with the prescribing physician.
All patients should be cautioned that excessive perspiration and dehydration may lead to an excessive fall in blood pressure because of reduction in fluid volume. Other causes of volume depletion such as vomiting or diarrhea may also lead to a fall in blood pressure; patients should be advised to consult with their physician.
Hyperkalemia: Patients should be told not to use salt substitutes containing potassium without consulting their physician.
Hypoglycemia: Diabetic patients treated with oral antidiabetic agents or insulin starting an ACE inhibitor should be told to closely monitor for hypoglycemia, especially during the first month of combined use (See PRECAUTIONS, Drug Interactions).
Leukopenia/Neutropenia: Patients should be told to report promptly any indication of infection (e.g., sore throat, fever) which may be a sign of leukopenia/neutropenia.
Pregnancy: Female patients of childbearing age should be told about the consequences of exposure to ACE inhibitors during pregnancy. These patients should be asked to report pregnancies to their physicians as soon as possible.
NOTE: As with many other drugs, certain advice to patients being treated with Lisinopril tablet is warranted. This information is intended to aid in the safe and effective use of this medication. It is not a disclosure of all possible adverse or intended effects.
Drug Interactions
Hypotension - Patients on Diuretic Therapy: Patients on diuretics and especially those in whom diuretic therapy was recently instituted, may occasionally experience an excessive reduction of blood pressure after initiation of therapy with Lisinopril tablet. The possibility of hypotensive effects with Lisinopril tablet can be minimized by either discontinuing the diuretic or increasing the salt intake prior to initiation of treatment with Lisinopril tablet. If it is necessary to continue the diuretic, initiate therapy with Lisinopril tablet at a dose of 5 mg daily, and provide close medical supervision after the initial dose until blood pressure has stabilized (See WARNINGS, and DOSAGE AND ADMINISTRATION). When a diuretic is added to the therapy of a patient receiving Lisinopril tablet, an additional antihypertensive effect is usually observed. Studies with ACE inhibitors in combination with diuretics indicate that the dose of the ACE inhibitor can be reduced when it is given with a diuretic (See DOSAGE AND ADMINISTRATION).
Antidiabetics: Epidemiological studies have suggested that concomitant administration of ACE inhibitors and antidiabetic medicines (insulins, oral hypoglycemic agents) may cause an increased blood-glucose-lowering effect with risk of hypoglycemia. This phenomenon appeared to be more likely to occur during the first weeks of combined treatment and in patients with renal impairment. In diabetic patients treated with oral antidiabetic agents or insulin, glycemic control should be closely monitored for hypoglycemia, especially during the first month of treatment with an ACE inhibitor.
Non-steroidal Anti-inflammatory Agents: In some patients with comprised renal function who are being treated with non-steroidal anti-inflammatory drugs, the co-administration of lisinopril may result in further deterioration of renal function. These effects are usually reversible. In a study in 36 patients with mild to moderate hypertension where the antihypertensive effects of Lisinopril tablet alone were compared to Lisinopril tablet given concomitantly with indomethacin, the use of indomethacin was associated with a reduced effect, although the difference between the two regimens was not significant.
Other Agents: Lisinopril tablet has been used concomitantly with nitrates and/or digoxin without evidence of clinically significant adverse interactions. This included post myocardial infarction patients who were receiving intravenous or transdermal nitroglycerin. No clinically important pharmacokinetic interactions occurred when Lisinopril tablet was used concomitantly with propranolol or hydrochlorothiazide. The presence of food in the stomach does not alter the bioavailability of Lisinopril tablet.
Agents Increasing Serum Potassium: Lisinopril tablet attenuates potassium loss caused by thiazide-type diuretics. Use of Lisinopril tablet with potassium-sparing diuretics (e.g., spironolactone, triamterene, or amiloride, eplerenone), potassium supplements, or potassium-containing salt substitutes may lead to significant increases in serum potassium. Therefore, if concomitant use of these agents is indicated because of demonstrated hypokalemia, they should be used with caution and with frequent monitoring of serum potassium. Potassium-sparing agents should generally not be used in patients with heart failure who are receiving Lisinopril tablet.
Lithium: Lithium toxicity has been reported in patients receiving lithium concomitantly with drugs which cause elimination of sodium, including ACE inhibitors. Lithium toxicity was usually reversible upon discontinuation of lithium and the ACE inhibitor. It is recommended that serum lithium levels be monitored frequently if Lisinopril tablet is administered concomitantly with lithium.
Gold: Nitritoid reactions (symptoms include facial flushing, nausea, vomiting and hypotension) have been reported rarely in patients on therapy with injectable gold (sodium aurothiomalate) and concomitant ACE inhibitor therapy including lisinopril.
Carcinogenesis, Mutagenesis, Impairment Of Fertility
There was no evidence of a tumorigenic effect when lisinopril was administered for 105 weeks to male and female rats at doses up to 90 mg/kg/day (about 56 or 9 times* the maximum recommended daily human dose, based on body weight and body surface area, respectively). There was no evidence of carcinogenicity when lisinopril was administered for 92 weeks to (male and female) mice at doses up to 135 mg/kg/day (about 84 times* the maximum recommended daily human dose). This dose was 6.8 times the maximum human dose based on body surface area in mice.
*Calculations assume a human weight of 50 kg and human body surface area of 1.62 m2.
Lisinopril was not mutagenic in the Ames microbial mutagen test with or without metabolic activation. It was also negative in a forward mutation assay using Chinese hamster lung cells. Lisinopril did not produce single strand DNA breaks in an in vitro alkaline elution rat hepatocyte assay. In addition, lisinopril did not produce increases in chromosomal aberrations in an in vitro test in Chinese hamster ovary cells or in an in vivo study in mouse bone marrow.
There were no adverse effects on reproductive performance in male and female rats treated with up to 300 mg/kg/day of lisinopril. This dose is 188 times and 30 times the maximum human dose when based on mg/kg and mg/m2, respectively.
Pregnancy
Pregnancy Categories C (first trimester) and D (second and third trimesters). See WARNINGS, Fetal/Neonatal Morbidity and Mortality.
Nursing Mothers
Milk of lactating rats contains radioactivity following administration of 14C lisinopril. It is not known whether this drug is excreted in human milk. Because many drugs are excreted in human milk and because of the potential for serious adverse reactions in nursing infants from ACE inhibitors, a decision should be made whether to discontinue nursing or discontinue Lisinopril tablet, taking into account the importance of the drug to the mother.
Pediatric Use
Antihypertensive effects of Lisinopril tablet have been established in hypertensive pediatric patients aged 6 to 16 years.
There are no data on the effect of Lisinopril tablet on blood pressure in pediatric patients under the age 6 or in pediatric patients with glomerular filtration rate <30 mL/min/1.73 m2. (See CLINICAL PHARMACOLOGY, Pharmacokinetics and Metabolism and Pharmacodynamics and Clinical Effects, and DOSAGE AND ADMINISTRATION).
Geriatric Use
Clinical studies of Lisinopril tablet in patients with hypertension did not include sufficient numbers of subjects aged 65 and over to determine whether they respond differently from younger subjects. Other clinical experience in this population has not identified differences in responses between the elderly and younger patients. In general, dose selection for an elderly patient should be cautious, usually starting at the low end of the dosing range, reflecting the greater frequency of decreased hepatic, renal, or cardiac function, and of concomitant disease or other drug therapy.
In the ATLAS trial of Lisinopril tablet in patients with congestive heart failure, 1,596 (50%) were 65 and over, while 437 (14%) were 75 and over. In a clinical study of Lisinopril tablet in patients with myocardial infarctions 4,413 (47%) were 65 and over, while 1,656 (18%) were 75 and over. In these studies, no overall differences in safety or effectiveness were observed between elderly and younger patients, and other reported clinical experiences has not identified differences in responses between the elderly and younger patients (see CLINICAL PHARMACOLOGY - Pharmacodynamics and Clinical Effects - Heart Failure and CLINICAL PHARMACOLOGY - Pharmacodynamics and Clinical Effects - Acute Myocardial Infarction).
Other reported clinical experience has not identified differences in responses between elderly and younger patients, but greater sensitivity of some older individuals cannot be ruled out.
Pharmacokinetic studies indicate that maximum blood levels and area under the plasma concentration time curve (AUC) are doubled in older patients (see CLINICAL PHARMACOLOGY - Pharmacokinetics and Metabolism).
This drug is known to be substantially excreted by the kidney, and the risk of toxic reactions to this drug may be greater in patients with impaired renal function. Because elderly patients are more likely to have decreased renal function, care should be taken in dose selection. Evaluation of patients with hypertension, congestive heart failure, or myocardial infarction should always include assessment of renal function (see DOSAGE AND ADMINISTRATION).
Adverse Reactions
Lisinopril tablet has been found to be generally well tolerated in controlled clinical trials involving 1969 patients with hypertension or heart failure. For the most part, adverse experiences were mild and transient.
Clinical Laboratory Findings
Serum Electrolytes: Hyperkalemia (See PRECAUTIONS), hyponatremia.
Creatinine, Blood Urea Nitrogen: Minor increases in blood urea nitrogen and serum creatinine, reversible upon discontinuation of therapy, were observed in about 2.0% of patients with essential hypertension treated with Lisinopril tablet alone. Increases were more common in patients receiving concomitant diuretics and in patients with renal artery stenosis (See PRECAUTIONS). Reversible minor increases in blood urea nitrogen and serum creatinine were observed in approximately 11.6% of patients with heart failure on concomitant diuretic therapy. Frequently, these abnormalities resolved when the dosage of the diuretic was decreased.
Hemoglobin and Hematocrit: Small decreases in hemoglobin and hematocrit (mean decreases of approximately 0.4 g% and 1.3 vol%, respectively) occurred frequently in patients treated with Lisinopril tablet but were rarely of clinical importance in patients without some other cause of anemia. In clinical trials, less than 0.1% of patients discontinued therapy due to anemia. Hemolytic anemia has been reported; a causal relationship to lisinopril cannot be excluded.
Liver Function Tests: Rarely, elevations of liver enzymes and/or serum bilirubin have occurred. (See WARNINGS, Hepatic Failure).
In hypertensive patients, 2.0% discontinued therapy due to laboratory adverse experiences, principally elevations in blood urea nitrogen (0.6%), serum creatinine (0.5%) and serum potassium (0.4%).
In the heart failure trials, 3.4% of patients discontinued therapy due to laboratory adverse experiences; 1.8% due to elevations in blood urea nitrogen and/or creatinine and 0.6% due to elevations in serum potassium.
In the myocardial infarction trial, 2.0% of patients receiving Lisinopril tablet discontinued therapy due to renal dysfunction (increasing creatinine concentration to over 3 mg/dL or a doubling or more of the baseline serum creatinine concentration); less than 1.0% of patients discontinued therapy due to other laboratory adverse experiences: 0.1% with hyperkalemia and less than 0.1% with hepatic enzyme alterations.
Overdosage
Following a single oral dose of 20 g/kg no lethality occurred in rats, and death occurred in one of 20 mice receiving the same dose. The most likely manifestation of overdosage would be hypotension, for which the usual treatment would be intravenous infusion of normal saline solution.
Lisinopril can be removed by hemodialysis (See WARNINGS, Anaphylactoid Reactions During Membrane Exposure).
Use In Elderly
In general, the clinical response was similar in younger and older patients given similar doses of Lisinopril tablet. Pharmacokinetic studies, however indicate that maximum blood levels and area under the plasma concentration time curve (AUC) are doubled in older patients, so that dosage adjustments should be made with particular caution.
Pediatric Hypertensive Patients ≥6 Years of age
The usual recommended starting dose is 0.07 mg/kg once daily (up to 5 mg total). Dosage should be adjusted according to blood pressure response. Doses above 0.61 mg/kg (or in excess of 40 mg) have not been studied in pediatric patients (See CLINICAL PHARMACOLOGY, Pharmacokinetics and Metabolism and Pharmacodynamics and Clinical Effects).
Lisinopril tablet is not recommend in pediatric patients <6 years or in pediatric patients with glomerular filtration rate <30 mL/min/1.73m2 (see CLINICAL PHARMACOLOGY, Pharmacokinetics and Metabolism and Pharmacodynamics and Clinical Effects and PRECAUTIONS).
Preparation of Suspension (for 200 mL of a 1.0 mg/mL suspension): Add 10 mL of Purified Water USP to a polyethylene terephthalate (PET) bottle containing ten 20 mg tablets of Lisinopril tablet and shake for at least one minute. Add 30 mL of Bicitra®† diluent and 160 mL of Ora Sweet SFTM†† to the concentrate in the PET bottle and gently shake for several seconds to disperse the ingredients. The suspension should be stored at or below 25°C (77°F) and can be stored for up to four weeks. Shake the suspension before each use.
† Registered trademark of Alza Corporation
†† Trademark of Paddock Laboratories, Inc.
How Supplied
2.5 mg Tablets, white to off-white, round biconvex uncoated tablets debossed with "W" on one side and other side plain.
(NDC 64679-927-01) Bottles of 100 tablets
(NDC 64679-927-02) Bottles of 1000 tablets
(NDC 64679-927-03) Unit Dose Blister Package of 100
(NDC 64679-927-05) Bottles of 500 tablets
5 mg Tablets, white to off-white, round biconvex uncoated tablets debossed with W/928 on one side and breakline on other side.
(NDC 64679-928-01) Bottles of 100 tablets
(NDC 64679-928-02) Bottles of 3000 tablets
(NDC 64679-928-03) Unit Dose Blister Package of 100
(NDC 64679-928-05) Bottles of 500 tablets
(NDC 64679-928-06) Bottles of 1000 tablets
10 mg Tablets, white to off-white, round biconvex uncoated tablets debossed with W/929 on one side and other side plain.
(NDC 64679-929-01) Bottles of 100 tablets
(NDC 64679-929-02) Bottles of 3000 tablets
(NDC 64679-929-03) Unit Dose Blister Package of 100
(NDC 64679-929-05) Bottles of 500 tablets
(NDC 64679-929-06) Bottles of 1000 tablets
20 mg Tablets, mottled light yellow, round biconvex uncoated tablets debossed with W/941 on one side and other side plain.
(NDC 64679-941-01) Bottles of 100 tablets
(NDC 64679-941-02) Bottles of 3000 tablets
(NDC 64679-941-03) Unit Dose Blister Package of 100
(NDC 64679-941-05) Bottles of 500 tablets
(NDC 64679-941-06) Bottles of 1000 tablets
30 mg Tablets, mottled light red, round biconvex uncoated tablets debossed with W/953 on one side and other side plain.
(NDC 64679-953-01) Bottles of 100 tablets
(NDC 64679-953-02) Bottles of 1000 tablets
(NDC 64679-953-03) Unit Dose Blister Package of 100
(NDC 64679-953-05) Bottles of 500 tablets
40 mg Tablets, mottled light brown, round biconvex uncoated tablets debossed with W/942 on one side and other side plain.
(NDC 64679-942-01) Bottles of 100 tablets
(NDC 64679-942-02) Bottles of 1000 tablets
(NDC 64679-942-03) Unit Dose Blister Package of 100
(NDC 64679-942-05) Bottles of 500 tablets
Storage And Handling
Store at controlled room temperature, 20-25°C (68-77°F) [see USP]. Protect from moisture, freezing and excessive heat. Dispense in a tight container.
*AN69 is a registered trademark of Hospal Ltd.
Other
Manufactured by:
Wockhardt Limited
Mumbai, India.
Distributed by:
Wockhardt USA LLC.
20 Waterview Blvd.
Parsippany, NJ 07054USA.
Rev.290709
* Please review the disclaimer below.
