FDA Label for Erythromycin
View Indications, Usage & Precautions
Erythromycin Product Label
The following document was submitted to the FDA by the labeler of this product Lake Erie Medical Dba Quality Care Products Llc. The document includes published materials associated whith this product with the essential scientific information about this product as well as other prescribing information. Product labels may durg indications and usage, generic names, contraindications, active ingredients, strength dosage, routes of administration, appearance, warnings, inactive ingredients, etc.
Other
Rx only
Description
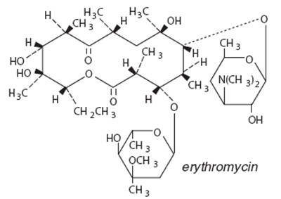
Erythromycin Ophthalmic Ointment, USP belongs to the macrolide group of antibiotics. The sterile ophthalmic ointment flows freely over the conjunctiva. Erythromycin base, as crystals or powder, is slightly soluble in water, moderately soluble in ether, and readily soluble in alcohol or chloroform. Erythromycin is an antibiotic produced from a strain of Streptomyces erythraeus. It is basic and readily forms a salt when combined with an acid. It has the following structural formula:
C37H67NO13
Mol. Wt. 733.94
Chemical Name: (3R•, 4S•, 5S•, 6R•, 7R•, 9R•, 11R•, 12R•, 13S•, 14R•)-4-[(2,6-Dideoxy-3-C-methyl-3-0-methyl-α-L-ribo-hexopyranosyl)oxy]-14-ethyl-7, 12, 13-trihydroxy-3, 5, 7, 9, 11, 13-hexamethyl-6-[[3,4,6-trideoxy-3-(dimethylamino)-β-D-xylo-hexopyranosyl]oxy]oxacyclotetradecane-2, 10-dione
Each Gram Contains: ACTIVE: Erythromycin, USP 5 mg (0.5%); INACTIVES: Mineral Oil, White Petrolatum.
Microbiology
Erythromycin inhibits protein synthesis without affecting nucleic acid synthesis. Erythromycin is usually active against the following organisms in vitro and in clinical infections: Streptococcus pyogenes (group A β-hemolytic), Alpha-hemolytic streptococci (viridans group); Staphylococcus aureus, including penicillinase-producing strains (methicillin-resistant staphylococci are uniformly resistant to erythromycin); Streptococcus pneumoniae; Mycoplasma pneumoniae (Eaton Agent, PPLO); Haemophilus influenzae (not all strains of this organism are susceptible at the erythromycin concentrations ordinarily achieved); Treponema pallidum; Corynebacterium diphtheriae; Neisseria gonorrhoeae; Chlamydia trachomatis.
Indications And Usage
For the treatment of superficial ocular infections involving the conjunctiva and/or cornea caused by organisms susceptible to erythromycin.
For prophylaxis of ophthalmia neonatorum due to N. gonorrhoeae or C. trachomatis.
The effectiveness of erythromycin in the prevention of ophthalmia caused by penicillinase-producing N. gonorrhoeae is not established.
For infants born to mothers with clinically apparent gonorrhea, intravenous or intramuscular injections of aqueous crystalline penicillin G should be given; a single dose of 50,000 units for term infants or 20,000 units for infants of low birth weight. Topical prophylaxis alone is inadequate for these infants.
Contraindications
This drug is contraindicated in patients with a history of hypersensitivity to erythromycin.
General
The use of antimicrobial agents may be associated with the overgrowth of non-susceptible organisms including fungi; in such a case, antibiotic administration should be stopped and appropriate measures taken.
Information For Patients:
Avoid contaminating the tip of container with material from the eye, fingers or other source.
Carcinogenesis, Mutagenesis, Impairment Of Fertility:
Two year oral studies conducted in rats with erythromycin did not provide evidence of tumorigenicity. Mutagenicity studies have not been conducted. No evidence of impaired fertility or harm to the fetus that appeared related to erythromycin was reported in these studies.
Pregnancy:
Pregnancy Category B.
Reproduction studies have been performed in rats, mice, and rabbits using erythromycin and its various salts and esters, at doses that were several multiples of the usual human dose. There are, however, no adequate and well-controlled studies in pregnant women. Because animal reproductive studies are not always predictive of human response, the erythromycins should be used during pregnancy only if clearly needed.
Nursing Mothers:
Caution should be exercised when erythromycin is administered to a nursing woman.
Pediatric Use:
See INDICATIONS AND USAGE and DOSAGE AND ADMINISTRATION.
Adverse Reactions
The most frequently reported adverse reactions are minor ocular irritations, redness and hypersensitivity reactions.
To report SUSPECTED ADVERSE REACTIONS, contact Bausch + Lomb, a division of Valeant Pharmaceuticals North America LLC at 1-800-321-4576 or FDA at 1-800-FDA-1088 or www.fda.gov/medwatch.
Dosage And Administration
In the treatment of superficial ocular infections, erythromycin ophthalmic ointment approximately 1 cm in length should be applied directly to the infected eye(s) up to six times daily, depending on the severity of the infection.
For prophylaxis of neonatal gonococcal or chlamydial ophthalmia, a ribbon of ointment approximately 1 cm in length should be instilled into each lower conjunctival sac. The ointment should not be flushed from the eye following instillation. A new tube should be used for each infant.
How Supplied
Erythromycin Ophthalmic Ointment, USP 0.5% is available in the following sizes:
1/8 oz. (3.5 g) tamper-resistant tube - NDC 55700-478-35
DO NOT USE IF CAP AND NECKRING ARE NOT INTACT.
DO NOT USE IF BOTTOM RIDGE OF TUBE CAP IS EXPOSED.
Storage:
Store between 15°-25°C (59°-77°F).
KEEP OUT OF REACH OF CHILDREN.
Revised: July 2016
Bausch + Lomb, a division of
Valeant Pharmaceuticals North America LLC
Bridgewater, NJ 08807 USA
©Bausch & Lomb Incorporated
9043404 (Folded)
9043504 (Flat)
* Please review the disclaimer below.
