Product Images Zytiga
View Photos of Packaging, Labels & Appearance
Product Label Images
The following 7 images provide visual information about the product associated with Zytiga NDC 57894-195 by Janssen Biotech, Inc., such as packaging, labeling, and the appearance of the drug itself. This resource could be helpful for medical professionals, pharmacists, and patients seeking to verify medication information and ensure they have the correct product.
Figure 2 - zytiga 03

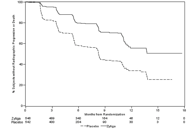
This appears to be a table showing the number of subjects without death over time, separated by months from randomization, for two different treatments (Zytign and Placebo). The numbers shown represent the number of subjects without death at each time point.*
PRINCIPAL DISPLAY PANEL - 250 mg Tablet Bottle Label 184-12 - zytiga 06

Zytiga is a prescription medicine that contains 250 mg of abiraterone acetate per tablet. It is recommended to store the tablets between 20°C to 25°C (68°F to 77°F) with permitted excursions of 15°C to 30°C (59°F to 86°F). The tablets should be swallowed whole and should not be crushed or chewed. Women who are pregnant should not handle Zytiga without gloves. The medicine should be kept out of reach of children. It is produced in Belgium and distributed by Janssen Biotech, with the details of manufacturing for Horsham, PA19044. Dosage information and administration can be found in the prescribing information. Other details such as its lot number, expiration date, and GTIN are also available.*
PRINCIPAL DISPLAY PANEL - 500 mg Bottle Label - zytiga 07

Zytiga is a medication used to treat prostate cancer. The tablets are film-coated and contain 500mg of abiraterone acetate. The recommended dosage is stated in the prescribing information, and the tablets should not be crushed or chewed. The product should be stored at room temperature and kept out of reach of children. The medication is a product of Belgium and manufactured for Janssen Biotech in Horsham, PA. The text also includes several identification codes.*
* The product label images have been analyzed using a combination of traditional computing and machine learning techniques. It should be noted that the descriptions provided may not be entirely accurate as they are experimental in nature. Use the information in this page at your own discretion and risk.