Product Images Furosemide

View Photos of Packaging, Labels & Appearance

Product Label Images

The following 3 images provide visual information about the product associated with Furosemide NDC 58118-0143 by Clinical Solutions Wholesale, Llc, such as packaging, labeling, and the appearance of the drug itself. This resource could be helpful for medical professionals, pharmacists, and patients seeking to verify medication information and ensure they have the correct product.

furosemide 20mg

furosemide 20mg

This is a description of Furosemide 20mg tablets provided by a company named Leating Pharma LLC. The tablets come in a package with NDC 58118-0143-8 and a quantity of 30. The packaging also includes a Mig_Lot number and batch number SAMPLE123, along with an expiration date of September 2021. The company is based in Fairfield, NJ, 07004. There is also a code provided for the SH. The tablets are likely used for clinical solutions.*

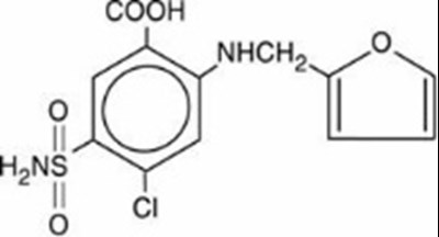
furosemide structure - furosemide image01

furosemide structure - furosemide image01

Furosemide 40mg tablet 30 count blister card - image 02

Furosemide 40mg tablet 30 count blister card - image 02

Not-Available*

* The product label images have been analyzed using a combination of traditional computing and machine learning techniques. It should be noted that the descriptions provided may not be entirely accurate as they are experimental in nature. Use the information in this page at your own discretion and risk.