FDA Label for Cardura
View Indications, Usage & Precautions
- 1.1 BENIGN PROSTATIC HYPERPLASIA (BPH)
- 1.2 HYPERTENSION
- 2.1 DOSING INFORMATION
- 2.2 BENIGN PROSTATIC HYPERPLASIA
- 2.3 HYPERTENSION
- 3 DOSAGE FORMS AND STRENGTHS
- 4 CONTRAINDICATIONS
- 5.1 POSTURAL HYPOTENSION
- 5.2 CATARACT SURGERY
- 5.3 PROSTATE CANCER
- 5.4 PRIAPISM
- 6.1 CLINICAL TRIALS EXPERIENCE
- BENIGN PROSTATIC HYPERPLASIA (BPH)
- HYPERTENSION
- LABORATORY CHANGES OBSERVED IN CLINICAL STUDIES
- 6.2 POSTMARKETING EXPERIENCE
- 7.1 CYP 3A INHIBITORS
- 7.2 PHOSPHODIESTERASE-5 (PDE-5) INHIBITORS
- RISK SUMMARY
- DISEASE-ASSOCIATED MATERNAL AND/OR EMBRYO/FETAL RISK
- ANIMAL DATA
- DATA
- 8.4 PEDIATRIC USE
- 8.6 HEPATIC IMPAIRMENT
- 10 OVERDOSAGE
- 11 DESCRIPTION
- EFFECT ON NORMOTENSIVE PATIENTS WITH BENIGN PROSTATIC HYPERPLASIA (BPH)
- ABSORPTION
- DISTRIBUTION
- METABOLISM
- EXCRETION
- GERIATRIC
- RENAL IMPAIRMENT
- HEPATIC IMPAIRMENT
- DRUG INTERACTIONS
- CARCINOGENESIS AND MUTAGENESIS
- FERTILITY IN MALES
- 13.2 ANIMAL TOXICOLOGY AND PHARMACOLOGY
- 14.1 BENIGN PROSTATIC HYPERPLASIA (BPH)
- 14.2 HYPERTENSION
- 16 HOW SUPPLIED/STORAGE AND HANDLING
- 17 PATIENT COUNSELING INFORMATION
- PATIENT INFORMATION
- PRINCIPAL DISPLAY PANEL – 1 MG
- PRINCIPAL DISPLAY PANEL – 2 MG
- PRINCIPAL DISPLAY PANEL – 4 MG
- PRINCIPAL DISPLAY PANEL – 8 MG
Cardura Product Label
The following document was submitted to the FDA by the labeler of this product Viatris Specialty Llc. The document includes published materials associated whith this product with the essential scientific information about this product as well as other prescribing information. Product labels may durg indications and usage, generic names, contraindications, active ingredients, strength dosage, routes of administration, appearance, warnings, inactive ingredients, etc.
1.1 Benign Prostatic Hyperplasia (Bph)
CARDURA is indicated for the treatment of the signs and symptoms of BPH.
1.2 Hypertension
CARDURA is indicated for the treatment of hypertension, to lower blood pressure. Lowering blood pressure reduces the risk of fatal and nonfatal cardiovascular events, primarily strokes and myocardial infarctions. These benefits have been seen in controlled trials of antihypertensive drugs from a wide variety of pharmacologic classes, including this drug.
Control of high blood pressure should be part of comprehensive cardiovascular risk management, including, as appropriate, lipid control, diabetes management, antithrombotic therapy, smoking cessation, exercise, and limited sodium intake. Many patients will require more than one drug to achieve blood pressure goals. For specific advice on goals and management, see published guidelines, such as those of the National High Blood Pressure Education Program’s Joint National Committee on Prevention, Detection, Evaluation, and Treatment of High Blood Pressure (JNC).
Numerous antihypertensive drugs, from a variety of pharmacologic classes and with different mechanisms of action, have been shown in randomized controlled trials to reduce cardiovascular morbidity and mortality, and it can be concluded that it is blood pressure reduction, and not some other pharmacologic property of the drugs, that is largely responsible for those benefits. The largest and most consistent cardiovascular outcome benefit has been a reduction in the risk of stroke, but reductions in myocardial infarction and cardiovascular mortality also have been seen regularly.
Elevated systolic or diastolic pressure causes increased cardiovascular risk, and the absolute risk increase per mmHg is greater at higher blood pressures, so that even modest reductions of severe hypertension can provide substantial benefit. Relative risk reduction from blood pressure reduction is similar across populations with varying absolute risk, so the absolute benefit is greater in patients who are at higher risk independent of their hypertension (for example, patients with diabetes or hyperlipidemia), and such patients would be expected to benefit from more aggressive treatment to a lower blood pressure goal.
Some antihypertensive drugs have smaller blood pressure effects (as monotherapy) in black patients, and many antihypertensive drugs have additional approved indications and effects (e.g., on angina, heart failure, or diabetic kidney disease). These considerations may guide selection of therapy.
CARDURA may be used alone or in combination with other antihypertensives.
2.1 Dosing Information
Following the initial dose and with each dose increase of CARDURA, monitor blood pressure for at least 6 hours following administration. If CARDURA administration is discontinued for several days, therapy should be restarted using the initial dosing regimen.
2.2 Benign Prostatic Hyperplasia
The recommended initial dosage of CARDURA is 1 mg given once daily either in the morning or evening.
Depending on the individual patient’s urodynamics and BPH symptomatology, the dose may be titrated at 1 to 2 week intervals to 2 mg, and thereafter to 4 mg and 8 mg once daily. The maximum recommended dose for BPH is 8 mg once daily.
Routinely monitor blood pressure in these patients.
2.3 Hypertension
The initial dosage of CARDURA is 1 mg given once daily. Daily dosage may be doubled up 16 mg once daily, as needed, to achieve the desired reduction in blood pressure.
3 Dosage Forms And Strengths
Tablets: 1 mg (white), 2 mg (white), 4 mg (white) or 8 mg (white).
Each tablet contains doxazosin mesylate equivalent to 1 mg, 2 mg, 4 mg or 8 mg doxazosin (free base).
4 Contraindications
The use of CARDURA is contraindicated in patients with a hypersensitivity to doxazosin, other quinazolines (e.g., prazosin, terazosin), or any of its components.
5.1 Postural Hypotension
Postural hypotension with or without symptoms (e.g., dizziness) may develop within a few hours following administration of CARDURA. However, infrequently, symptomatic postural hypotension has also been reported later than a few hours after dosing. As with other alpha-blockers, there is a potential for syncope, especially after the initial dose or after an increase in dosage strength. Advise patient how to avoid symptoms resulting from postural hypotension and what measures to take should they develop.
Concomitant administration of CARDURA with a PDE-5 inhibitor can result in additive blood pressure lowering effects and symptomatic hypotension.
5.2 Cataract Surgery
Intraoperative Floppy Iris Syndrome (IFIS) has been observed during cataract surgery in some patients on or previously treated with alpha1 blockers. This variant of small pupil syndrome is characterized by the combination of a flaccid iris that billows in response to intraoperative irrigation currents, progressive intraoperative miosis despite preoperative dilation with standard mydriatic drugs, and potential prolapse of the iris toward the phacoemulsification incisions. The patient’s surgeon should be prepared for possible modifications to their surgical technique, such as the utilization of iris hooks, iris dilator rings, or viscoelastic substances. There does not appear to be a benefit of stopping alpha1 blocker therapy prior to cataract surgery.
5.3 Prostate Cancer
Carcinoma of the prostate causes many of the symptoms associated with BPH and the two disorders frequently co-exist. Carcinoma of the prostate should therefore be ruled out prior to commencing therapy with CARDURA for the treatment of BPH.
5.4 Priapism
Alpha1 antagonists, including doxazosin, have been associated with priapism (painful penile erection, sustained for hours and unrelieved by sexual intercourse or masturbation). This condition can lead to permanent impotence if not promptly treated.
6.1 Clinical Trials Experience
Because clinical trials are conducted under widely varying conditions, adverse reaction rates observed in the clinical trials of a drug cannot be directly compared to rates in the clinical trials of another drug and may not reflect the rates observed in practice.
Benign Prostatic Hyperplasia (Bph)
The incidence of adverse events has been ascertained from worldwide clinical trials in 965 BPH patients. The incidence rates presented below (Table 2) are based on combined data from seven placebo-controlled trials involving once-daily administration of CARDURA in doses of 1 to 16 mg in hypertensives and 0.5 to 8 mg in normotensives. Adverse reactions occurring more than 1% more frequently in BPH patients treated with CARDURA vs. placebo are summarized in Table 1.
BODY SYSTEM | CARDURA N=665 | Placebo N=300 |
NERVOUS SYSTEM DISORDERS | ||
Dizziness Includes vertigo | 15.6% | 9.0% |
Somnolence | 3.0% | 1.0% |
CARDIAC DISORDERS | ||
Hypotension | 1.7% | 0% |
RESPIRATORY, THORACIC AND MEDIASTINAL DISORDERS | ||
Dyspnoea | 2.6% | 0.3% |
GASTROINTESTINAL DISORDERS | ||
Dry Mouth | 1.4% | 0.3% |
GENERAL DISORDERS AND ADMINISTRATION SITE CONDITIONS | ||
Fatigue | 8.0% | 1.7% |
Oedema | 2.7% | 0.7% |
Other adverse reactions occurring less than 1% more frequently in BPH patients treated with CARDURA vs. placebo but plausibly related to CARDURA include: palpitations.
The safety and effectiveness profile of CARDURA was similar in the elderly (age ≥ 65 years) and younger (age < 65 years) patients.
The symptoms associated with benign prostatic hyperplasia (BPH), such as urinary frequency, nocturia, weak stream, hesitancy, and incomplete emptying are related to two components, anatomical (static) and functional (dynamic). The static component is related to an increase in prostate size caused, in part, by a proliferation of smooth muscle cells in the prostatic stroma. However, the severity of BPH symptoms and the degree of urethral obstruction do not correlate well with the size of the prostate. The dynamic component of BPH is associated with an increase in smooth muscle tone in the prostate and bladder neck. The degree of tone in this area is mediated by the alpha1 adrenoceptor, which is present in high density in the prostatic stroma, prostatic capsule and bladder neck. Blockade of the alpha1 receptor decreases urethral resistance and may relieve the obstruction and BPH symptoms and improve urine flow.
Administration of CARDURA to patients with symptomatic BPH resulted in a statistically significant improvement in maximum urinary flow rate [see Clinical Studies (14.1)].
Hypertension
CARDURA has been administered to approximately 4000 hypertensive patients in clinical trials, of whom 1679 were included in the hypertension clinical development program. In placebo-controlled studies, adverse events occurred in 49% and 40% of patients in the doxazosin and placebo groups, respectively, and led to discontinuation in 2% of patients in each group.
Adverse reactions occurring more than 1% more frequently in hypertensive patients treated with CARDURA vs. placebo are summarized in Table 1. Postural effects and edema appeared to be dose-related. The prevalence rates presented below are based on combined data from placebo-controlled studies involving once-daily administration of doxazosin at doses ranging from 1 to 16 mg.
BODY SYSTEM | CARDURA N=339 | Placebo N=336 |
NERVOUS SYSTEM DISORDERS | ||
Dizziness | 19% | 9% |
Somnolence | 5% | 1% |
RESPIRATORY, THORACIC AND MEDIASTINAL DISORDERS | ||
Rhinitis | 3% | 1% |
RENAL AND URINARY DISORDERS | ||
Polyuria | 2% | 0% |
REPRODUCTIVE SYSTEM AND BREAST DISORDERS GENERAL DISORDERS AND ADMINISTRATION SITE CONDITIONS | ||
Fatigue / Malaise | 12% | 6% |
Other adverse reactions occurring less than 1% more frequently in hypertensive patients treated with CARDURA vs. placebo but plausibly related to CARDURA use include vertigo, hypotension, hot flushes, epistaxis and oedema.
CARDURA has been associated with decreases in white blood cell counts.
Clinical studies of CARDURA did not include sufficient numbers of subjects aged 65 and over to determine whether they respond differently from younger subjects. Other reported clinical experience has not identified differences in responses between the elderly and younger patients.
In general, dose selection for an elderly patient should be cautious, usually starting at the low end of the dosing range, reflecting the greater frequency of decreased hepatic, renal or cardiac function, and of concomitant disease or other drug therapy.
The mechanism of action of CARDURA is selective blockade of the alpha1 (postjunctional) subtype of adrenergic receptors. Studies in normal human subjects have shown that doxazosin competitively antagonized the pressor effects of phenylephrine (an alpha1 agonist) and the systolic pressor effect of norepinephrine. Doxazosin and prazosin have similar abilities to antagonize phenylephrine. The antihypertensive effect of CARDURA results from a decrease in systemic vascular resistance. The parent compound doxazosin is primarily responsible for the antihypertensive activity. The low plasma concentrations of known active and inactive metabolites of doxazosin (2-piperazinyl, 6'- and 7'-hydroxy and 6- and 7-O-desmethyl compounds) compared to parent drug indicate that the contribution of even the most potent compound (6'-hydroxy) to the antihypertensive effect of doxazosin in man is probably small. The 6'- and 7'-hydroxy metabolites have demonstrated antioxidant properties at concentrations of
5 µM, in vitro.
Administration of CARDURA results in a reduction in systemic vascular resistance. In patients with hypertension, there is little change in cardiac output. Maximum reductions in blood pressure usually occur 2-6 hours after dosing and are associated with a small increase in standing heart rate. Like other alpha1-adrenergic blocking agents, doxazosin has a greater effect on blood pressure and heart rate in the standing position.
Laboratory Changes Observed In Clinical Studies
Leukopenia/Neutropenia
Decreases in mean white blood cell (WBC) and mean neutrophil count were observed in controlled clinical trials of hypertensive patients receiving CARDURA. In cases where follow-up was available, WBC and neutrophil counts returned to normal after discontinuation of CARDURA. No patients became symptomatic as a result of the low WBC or neutrophil counts.
6.2 Postmarketing Experience
The following adverse reactions have been identified during post-approval use of CARDURA. Because these reactions are reported voluntarily from a population of uncertain size, it is not always possible to reliably estimate their frequency or establish a causal relationship to drug exposure.
In post-marketing experience, the following additional adverse reactions have been reported:
Blood and Lymphatic System Disorders: leukopenia, thrombocytopenia;
Immune System Disorders: allergic reaction;
Nervous System Disorders: hypoesthesia;
Eye Disorders: Intraoperative Floppy Iris Syndrome [see Warnings and Precautions (5.4)];
Cardiac Disorders: bradycardia;
Respiratory, Thoracic and Mediastinal Disorders: bronchospasm aggravated;
Gastrointestinal Disorders: vomiting;
Hepatobiliary Disorders: cholestasis, hepatitis cholestatic;
Skin and Subcutaneous Tissue Disorders: urticaria;
Musculoskeletal and Connective Tissue Disorders: muscle cramps, muscle weakness;
Renal and Urinary Disorders: hematuria, micturition disorder, micturition frequency, nocturia;
Reproductive System and Breast Disorders: gynecomastia, priapism.
7.1 Cyp 3A Inhibitors
In vitro studies suggest that doxazosin is a substrate of CYP 3A4. Strong CYP3A inhibitors may increase exposure to doxazosin. Monitor blood pressure and for symptoms of hypotension when CARDURA is used concomitantly with strong CYP3A inhibitors [see Clinical Pharmacology (12.3)].
7.2 Phosphodiesterase-5 (Pde-5) Inhibitors
Concomitant administration of CARDURA with a phosphodiesterase-5 (PDE-5) inhibitor can result in additive blood pressure lowering effects and symptomatic hypotension. Monitor blood pressure and for symptoms of hypotension [see Warnings and Precautions (5.1)].
Risk Summary
The limited available data with CARDURA in pregnant women are not sufficient to inform a drug-associated risk for major birth defects and miscarriage. However, untreated hypertension during pregnancy can result in increased maternal risks [see Clinical Considerations]. In animal reproduction studies, no adverse developmental effects were observed when doxazosin was orally administered to pregnant rabbits and rats during the period of organogenesis at doses of up to 41 and 20 mg/kg, respectively (exposures in rabbits and rats were 10 and 4 times, respectively, the human AUC exposures with a 12 mg/day therapeutic dose). A dosage regimen of 82 mg/kg/day in the rabbit was associated with reduced fetal survival [see Data].
The estimated background risk of major birth defects and miscarriage for the indicated population is unknown. In the U.S. general population, the estimated background risk of major birth defects and miscarriage in clinically recognized pregnancies is 2-4% and 15-20%, respectively.
There is limited information on the presence of CARDURA in human milk [see Data]. There is no information on the effects of CARDURA on the breastfeed infant or the effects on milk production.
Disease-Associated Maternal And/Or Embryo/Fetal Risk
Hypertension in pregnancy increases the maternal risk for pre-eclampsia, gestational diabetes, premature delivery, and delivery complications (e.g., need for cesarean section, and post-partum hemorrhage). Hypertension increases the fetal risk for intrauterine growth restriction and intrauterine death.
Animal Data
Radioactivity was found to cross the placenta following oral administration of labelled doxazosin to pregnant rats. Studies in pregnant rabbits and rats at daily oral doses of up to 41 and 20 mg/kg, respectively (plasma drug concentrations of 10 and 4 times, respectively, the human AUC exposures with a 12 mg/day therapeutic dose), have revealed no evidence of adverse developmental effects. A dosage regimen of 82 mg/kg/day in the rabbit was associated with reduced fetal survival. In peri- and postnatal studies in rats, postnatal development at maternal doses of 40 or 50 mg/kg/day of doxazosin (about 8 times human AUC exposure with a 12 mg/day therapeutic dose) was delayed, as evidenced by slower body weight gain and slightly later appearance of anatomical features and reflexes.
Data
A single case study reports that CARDURA is present in human milk, which resulted in an infant dose of less than 1% of the maternal weight-adjusted dosage and a milk/plasma ratio of 0.1. However, these data are insufficient to confirm the presence of CARDURA in human milk.
8.4 Pediatric Use
The safety and effectiveness of CARDURA have not been established in children.
8.6 Hepatic Impairment
CARDURA is extensively metabolized in the liver. Hepatic impairment is expected to increase exposure to doxazosin. Use of CARDURA in patients with severe hepatic impairment (Child-Pugh Class C) is not recommended. Monitor blood pressure and for symptoms of hypotension in patients with lesser degrees of hepatic impairment (Child-Pugh Class A and B) [see Clinical Pharmacology (12.3)].
10 Overdosage
Experience with CARDURA overdosage is limited. Two adolescents, who each intentionally ingested 40 mg CARDURA with diclofenac or acetaminophen, were treated with gastric lavage with activated charcoal and made full recoveries. A two-year-old child who accidently ingested 4 mg CARDURA was treated with gastric lavage and remained normotensive during the five-hour emergency room observation period. A six-month-old child accidentally received a crushed 1 mg tablet of CARDURA and was reported to have been drowsy. A 32-year-old female with chronic renal failure, epilepsy, and depression intentionally ingested 60 mg CARDURA (blood level = 0.9 mcg/mL; normal values in hypertensives = 0.02 mcg/mL); death was attributed to a grand mal seizure resulting from hypotension. A 39-year-old female who ingested 70 mg CARDURA, alcohol, and Dalmane® (flurazepam) developed hypotension which responded to fluid therapy.
The oral LD50 of doxazosin is greater than 1000 mg/kg in mice and rats. The most likely manifestation of overdosage would be hypotension, for which the usual treatment would be intravenous infusion of fluid. As doxazosin is highly protein bound, dialysis would not be indicated.
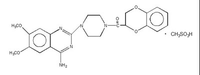
11 Description
CARDURA® (doxazosin) is a quinazoline compound that is a selective inhibitor of the alpha1 subtype of alpha-adrenergic receptors. The chemical name of doxazosin mesylate is 1-(4-amino-6,7-dimethoxy-2-quinazolinyl)-4-(1,4-benzodioxan-2-ylcarbonyl) piperazine methanesulfonate. The empirical formula for doxazosin mesylate is C23H25N5O5 • CH4O3S and the molecular weight is 547.6. It has the following structure:
CARDURA (doxazosin) is freely soluble in dimethylsulfoxide, soluble in dimethylformamide, slightly soluble in methanol, ethanol, and water (0.8% at 25°C), and very slightly soluble in acetone and methylene chloride. CARDURA is available as tablets for oral use and contains doxazosin mesylate equivalent to 1 mg (white), 2 mg (white), 4 mg (white) and 8 mg (white) of doxazosin as the free base.
The inactive ingredients for all tablets are lactose, magnesium stearate, microcrystalline cellulose, sodium lauryl sulfate and sodium starch glycolate.
Effect On Normotensive Patients With Benign Prostatic Hyperplasia (Bph)
Although blockade of alpha1 adrenoceptors also lowers blood pressure in hypertensive patients with increased peripheral vascular resistance, CARDURA treatment of normotensive men with BPH did not result in a clinically significant blood pressure lowering effect (Table 4). The proportion of normotensive patients with a sitting systolic blood pressure less than 90 mmHg and/or diastolic blood pressure less than 60 mmHg at any time during treatment with CARDURA 1-8 mg once daily was 6.7% with doxazosin and not significantly different (statistically) from that with placebo (5%).
Absorption
After oral administration of therapeutic doses, peak plasma levels of CARDURA occur at about 2-3 hours. Bioavailability is approximately 65%, reflecting first-pass metabolism of doxazosin by the liver. The effect of food on the pharmacokinetics of CARDURA was examined in a crossover study with twelve hypertensive subjects. Reductions of 18% in mean maximum plasma concentration (Cmax) and 12% in the area under the concentration-time curve (AUC) occurred when CARDURA was administered with food. Neither of these differences is clinically significant.
In a crossover study in 24 normotensive subjects, the pharmacokinetics and safety of doxazosin were shown to be similar with morning and evening dosing regimens. The AUC after morning dosing was, however, 11% less than that after evening dosing and the time to peak concentration after evening dosing occurred significantly later than that after morning dosing (5.6 vs. 3.5 hours).
Distribution
At the plasma concentrations achieved by therapeutic doses, approximately 98% of the circulating drug is bound to plasma proteins.
Metabolism
CARDURA is extensively metabolized in the liver, mainly by O-demethylation of the quinazoline nucleus or hydroxylation of the benzodioxan moiety. In vitro studies suggest that the primary pathway for elimination is via CYP 3A4; however, CYP 2D6 and CYP 2C9 metabolic pathways are also involved to a lesser extent. Although several active metabolites of doxazosin have been identified, the pharmacokinetics of these metabolites have not been characterized.
Excretion
Plasma elimination of doxazosin is biphasic, with a terminal elimination half-life of about 22 hours. Steady-state studies in hypertensive patients given doxazosin doses of 2 to 16 mg once daily showed linear kinetics and dose proportionality. In two studies, following the administration of 2 mg orally once daily, the mean accumulation ratios (steady-state AUC vs. first-dose AUC) were 1.2 and 1.7. Enterohepatic recycling is suggested by secondary peaking of plasma doxazosin concentrations.
In a study of two subjects administered radiolabelled doxazosin 2 mg orally and 1 mg intravenously on two separate occasions, approximately 63% of the dose was eliminated in the feces and 9% of the dose was found in the urine. On average only 4.8% of the dose was excreted as unchanged drug in the feces and only a trace of the total radioactivity in the urine was attributed to unchanged drug.
Geriatric
The pharmacokinetics of CARDURA in young (<65 years) and elderly (≥65 years) subjects were similar for plasma half-life values and oral clearance.
Renal Impairment
Pharmacokinetic studies in elderly patients and patients with renal impairment have shown no significant alterations compared to younger patients with normal renal function.
Hepatic Impairment
Administration of a single 2 mg dose to patients with cirrhosis (Child-Pugh Class A) showed a 40% increase in exposure to doxazosin. The impact of moderate (Child-Pugh Class B) or severe (Child-Pugh Class C) hepatic impairment on the pharmacokinetics of doxazosin is not known [see Use in Specific Populations (8.6)].
Drug Interactions
There are only limited data on the effects of drugs known to influence the hepatic metabolism of doxazosin (e.g., cimetidine).
Cimetidine: In healthy volunteers, the administration of a single 1 mg dose of doxazosin on day 1 of a four-day regimen of oral cimetidine (400 mg twice daily) resulted in a 10% increase in mean AUC of doxazosin, and a slight but not significant increase in mean Cmax and mean half-life of doxazosin.
In vitro data in human plasma indicate that CARDURA has no effect on protein binding of digoxin, warfarin, phenytoin, or indomethacin.
Carcinogenesis And Mutagenesis
Chronic dietary administration (up to 24 months) of doxazosin mesylate at maximally tolerated doses of 40 mg/kg/day in rats and 120 mg/kg/day in mice revealed no evidence of carcinogenic potential. The highest doses evaluated in the rat and mouse studies are associated with AUCs (a measure of systemic exposure) that are 8 times and 4 times, respectively, the human AUC at a dose of 16 mg/day.
Mutagenicity studies revealed no drug- or metabolite-related effects at either chromosomal or subchromosomal levels.
Fertility In Males
Studies in rats showed reduced fertility in males treated with doxazosin at oral doses of 20 (but not 5 or 10) mg/kg/day, about 4 times the AUC exposures obtained with a 12 mg/day human dose. This effect was reversible within two weeks of drug withdrawal. There have been no reports of any effects of doxazosin on male fertility in humans.
13.2 Animal Toxicology And Pharmacology
An increased incidence of myocardial necrosis or fibrosis was observed in long-term (6-12 months) studies in rats and mice (exposure 8 times human AUC exposure in rats and somewhat equivalent to human Cmax exposure in mice). Findings were not seen at lower doses. In dogs no cardiotoxicity was observed following 12 months of oral dosing at doses that resulted in maximum plasma concentrations (Cmax) 14 times the Cmax exposure in humans receiving a 12 mg/day therapeutic dose or in Wistar rats at Cmax exposures 15 times human Cmax exposure. There is no evidence that similar lesions occur in humans.
14.1 Benign Prostatic Hyperplasia (Bph)
The efficacy of CARDURA was evaluated extensively in over 900 patients with BPH in double-blind, placebo-controlled trials. CARDURA treatment was superior to placebo in improving patient symptoms and urinary flow rate. Significant relief with CARDURA was seen as early as one week into the treatment regimen, with CARDURA-treated patients (N=173) showing a significant (p<0.01) increase in maximum flow rate of 0.8 mL/sec compared to a decrease of 0.5 mL/sec in the placebo group (N=41). In long-term studies, improvement was maintained for up to 2 years of treatment. In 66-71% of patients, improvements above baseline were seen in both symptoms and maximum urinary flow rate.
In three placebo-controlled studies of 14-16 weeks’ duration, obstructive symptoms (hesitation, intermittency, dribbling, weak urinary stream, incomplete emptying of the bladder) and irritative symptoms (nocturia, daytime frequency, urgency, burning) of BPH were evaluated at each visit by patient-assessed symptom questionnaires. The bothersomeness of symptoms was measured with a modified Boyarsky questionnaire. Symptom severity/frequency was assessed using a modified Boyarsky questionnaire or an AUA-based questionnaire. Uroflowmetric evaluations were performed at times of peak (2-6 hours post-dose) and/or trough (24 hours post-dose) plasma concentrations of CARDURA.
The results from the three placebo-controlled studies (N=609) showing significant efficacy with 4 mg and 8 mg doxazosin are summarized in Table 3. In all three studies, CARDURA resulted in statistically significant relief of obstructive and irritative symptoms compared to placebo. Statistically significant improvements of 2.3-3.3 mL/sec in maximum flow rate were seen with CARDURA in Studies 1 and 2, compared to 0.1-0.7 mL/sec with placebo.
Table 3.
In one fixed-dose study (Study 2), CARDURA therapy (4 to 8 mg, once daily) resulted in a significant and sustained improvement in maximum urinary flow rate of 2.3-3.3 mL/sec (Table 3) compared to placebo (0.1 mL/sec). In this study, the only study in which weekly evaluations were made, significant improvement with CARDURA vs. placebo was seen after one week. The proportion of patients who responded with a maximum flow rate improvement of ≥3 mL/sec was significantly larger with CARDURA (34-42%) than placebo (13-17%). A significantly greater improvement was also seen in average flow rate with CARDURA (1.6 mL/sec) than with placebo (0.2 mL/sec). The onset and time course of symptom relief and increased urinary flow from Study 1 are illustrated in Figure 1.
14.2 Hypertension
In a pooled analysis of placebo-controlled hypertension studies with about 300 hypertensive patients per treatment group, doxazosin, at doses of 1 to 16 mg given once daily, lowered blood pressure at 24 hours by about 10/8 mmHg compared to placebo in the standing position and about 9/5 mmHg in the supine position. Peak blood pressure effects (1-6 hours) were larger by about 50-75% (i.e., trough values were about 55-70% of peak effect), with the larger peak-trough differences seen in systolic pressures. There was no apparent difference in the blood pressure response of Caucasians and blacks or of patients above and below age 65. In the same patient population, patients receiving CARDURA gained a mean of 0.6 kg compared to a mean loss of 0.1 kg for placebo patients.
PLACEBO (N=85) | CARDURA (N=183) | |||
Sitting BP (mmHg) | Baseline | Change | Baseline | Change |
Systolic | 128.4 | -1.4 | 128.8 | -4.9 p ≤0.05 compared to placebo |
Diastolic | 79.2 | -1.2 | 79.6 | -2.4 |
Standing BP (mmHg) | Baseline | Change | Baseline | Change |
Systolic | 128.5 | -0.6 | 128.5 | -5.3 |
Diastolic | 80.5 | -0.7 | 80.4 | -2.6 |
16 How Supplied/Storage And Handling
CARDURA (doxazosin) is available as tablets for oral administration. Each tablet contains doxazosin mesylate equivalent to 1 mg (white), 2 mg (white), 4 mg (white) or 8 mg (white) of doxazosin as the free base.
NDC and Pack Size | Strength | Description |
NDC 58151-074-01 (Bottle of 100) | 1 mg | White, round tablets with “CN1” on one side and “VLE” on the other side. |
NDC 58151-075-01 (Bottle of 100) | 2 mg | White, oblong tablets with score and “CN 2” on one side and “VLE” on the other side. |
NDC 58151-076-01 (Bottle of 100) | 4 mg | White, rhombus shaped tablets with break score and “CN 4” on one side and VLE on the other side. |
NDC 58151-077-01 (Bottle of 100) | 8 mg | White, capsule shaped tablets with break score and “CN 8” on one side and “VLE” on the other side. |
Recommended Storage: Store at 25°C (77°F); excursions permitted from 15°C to 30°C (59°F to 86°F) [see USP Controlled Room Temperature].
17 Patient Counseling Information
Advise the patient to read the FDA-approved patient labeling (Patient Information).
Postural Hypotension
Advise patients of the possibility of syncopal and orthostatic symptoms, especially at the initiation of therapy, and urged to avoid driving or hazardous tasks for 24 hours after the first dose, after a dosage increase, and after interruption of therapy when treatment is resumed. Advise patients to report symptoms to their healthcare provider.
Priapism
Advise patients of the possibility of priapism and to seek immediate medical attention if symptoms occur.
Distributed by:
Viatris Specialty LLC
Morgantown, WV 26505 U.S.A.
© 2023 Viatris Inc.
CARDURA is a registered trademark of Viatris US Holdings 4 LLC, a Viatris Company.
The brands listed are trademarks of their respective owners.
UPJ:CDRA:R1
Patient Information
CARDURA® (kar-DUR-a) (doxazosin tablets) | ||
What is CARDURA? CARDURA is a prescription medicine that contains doxazosin mesylate and is called an “alpha-blocker”. CARDURA is used to treat:
It is not known if CARDURA is safe and effective in children. | ||
Who should not take CARDURA? Do not take CARDURA if you:
| ||
What should I tell my healthcare provider before taking CARDURA? Before taking CARDURA, tell your healthcare provider about all of your medical conditions, including if you:
Tell your healthcare provider about all the medicines you take, including prescription and over-the-counter medicines, vitamins, and herbal supplements. CARDURA may affect the way other medicines work, and other medicines may affect the way CARDURA works causing side effects. Especially tell your healthcare provider if you take: Know the medicines you take. Keep a list of them to show your healthcare provider and pharmacist when you get a new medicine. | ||
How should I take CARDURA?
| ||
What should I avoid while taking CARDURA? Do not drive or perform any hazardous task until at least 24 hours after you have taken CARDURA if you are taking:
| ||
What are the possible side effects of CARDURA? CARDURA may cause serious side effects, including:
The most common side effects of CARDURA are: | ||
|
| |
Tell your healthcare provider if you have any side effect that bothers you or that does not go away. These are not all the possible side effects of CARDURA. For more information, ask your healthcare provider or pharmacist. Call your doctor for medical advice about side effects. You may report side effects to FDA at 1-800-FDA-1088. | ||
General information about the safe and effective use of CARDURA. Medicines are sometimes prescribed for purposes other than those listed in a Patient Information leaflet. Do not use CARDURA for a condition for which it was not prescribed. Do not give CARDURA to other people, even if they have the same symptoms you have. It may harm them. This Patient Information leaflet summarizes the most important information about CARDURA. For more information, ask your healthcare provider. You can ask your healthcare provider or pharmacist for information that is written for healthcare professionals. | ||
What are the ingredients in CARDURA? The size, shape and appearance of the tablet that you receive may vary, all the tablets have the same active ingredient, and this will not affect the way that the medicine works. You can identify the tablet that you have from the following information. | ||
Strength | ||
1 mg Tablet | White, round tablets with “CN1” on one side and “VLE” on the other side. | |
2 mg Tablet | White, oblong tablets with score and “CN 2” on one side and “VLE” on the other side. | |
4 mg Tablet | White, rhombus shaped tablets with break score and “CN 4” on one side and “VLE” on the other side. | |
8 mg Tablet | White, capsule shaped tablets with break score and “CN 8” on one side and “VLE” on the other side. | |
Active ingredient: doxazosin Inactive ingredients: lactose, magnesium stearate, microcrystalline cellulose, sodium lauryl sulfate and sodium starch glycolate. Distributed by: Viatris Specialty LLC Morgantown, WV 26505 U.S.A. © 2023 Viatris Inc. CARDURA is a registered trademark of Viatris US Holdings 4 LLC, a Viatris Company. The brands listed are trademarks of their respective owners. UPJ:PL:CDRA:R1 For more information, call 1-877-446-3679 (1-877-4-INFO-RX). | ||
This Patient Information has been approved by the U.S. Food and Drug Administration.
Revised: 10/2023
Principal Display Panel – 1 Mg
NDC 58151-074-01
Cardura®
(doxazosin)
tablets
1 mg*
100 Tablets
Rx only
Store at 25°C (77°F);
excursions permitted
from 15°C to 30°C
(59°F to 86°F)
[see USP Controlled Room
Temperature].
Recommended Dosage
See prescribing information.
*Each tablet contains doxazosin
mesylate equivalent to 1 mg
doxazosin as a free base.
Made in Germany
Distributed by:
Viatris Specialty LLC
Morgantown, WV 26505 U.S.A.
© 2023 Viatris Inc.
RUPJ074A
Principal Display Panel – 2 Mg
NDC 58151-075-01
Cardura®
(doxazosin)
tablets
2 mg*
100 Tablets
Rx only
Store at 25°C (77°F);
excursions permitted
from 15°C to 30°C
(59°F to 86°F)
[see USP Controlled Room
Temperature].
Recommended Dosage
See prescribing information.
*Each tablet contains doxazosin
mesylate equivalent to 2 mg
doxazosin as a free base.
Made in Germany
Distributed by:
Viatris Specialty LLC
Morgantown, WV 26505 U.S.A.
© 2023 Viatris Inc.
RUPJ075A
Principal Display Panel – 4 Mg
NDC 58151-076-01
Cardura®
(doxazosin)
tablets
4 mg*
100 Tablets
Rx only
Store at 25°C (77°F);
excursions permitted
from 15°C to 30°C
(59°F to 86°F)
[see USP Controlled Room
Temperature].
Recommended Dosage
See prescribing information.
*Each tablet contains doxazosin
mesylate equivalent to 4 mg
doxazosin as a free base.
Made in Germany
Distributed by:
Viatris Specialty LLC
Morgantown, WV 26505 U.S.A.
© 2023 Viatris Inc.
RUPJ076A
Principal Display Panel – 8 Mg
NDC 58151-077-01
Cardura®
(doxazosin)
tablets
8 mg*
100 Tablets
Rx only
Store at 25°C (77°F);
excursions permitted
from 15°C to 30°C
(59°F to 86°F)
[see USP Controlled Room
Temperature].
Recommended Dosage
See prescribing information.
*Each tablet contains doxazosin
mesylate equivalent to 8 mg
doxazosin as a free base.
Made in Germany
Distributed by:
Viatris Specialty LLC
Morgantown, WV 26505 U.S.A.
© 2023 Viatris Inc.
RUPJ077A
* Please review the disclaimer below.





