FDA Label for Airduo Respiclick
View Indications, Usage & Precautions
- 1 INDICATIONS AND USAGE
- 2.1 ADMINISTRATION INSTRUCTIONS
- 2.2 RECOMMENDED DOSAGE
- 2.3 STORING AND CLEANING THE INHALER
- 2.4 DOSE COUNTER
- 3 DOSAGE FORMS AND STRENGTHS
- 4 CONTRAINDICATIONS
- 5.1 SERIOUS ASTHMA-RELATED EVENTS – HOSPITALIZATIONS, INTUBATIONS, DEATH
- 5.2 DETERIORATION OF DISEASE AND ACUTE EPISODES
- 5.3 AVOID EXCESSIVE USE OF AIRDUO RESPICLICK AND AVOID USE WITH OTHER LONG-ACTING BETA2-AGONISTS
- 5.4 OROPHARYNGEAL CANDIDIASIS
- 5.5 IMMUNOSUPPRESSION AND RISK OF INFECTIONS
- 5.6 TRANSFERRING PATIENTS FROM SYSTEMIC CORTICOSTEROID THERAPY
- 5.7 HYPERCORTICISM AND ADRENAL SUPPRESSION
- 5.8 DRUG INTERACTIONS WITH STRONG CYTOCHROME P450 3A4 INHIBITORS
- 5.9 PARADOXICAL BRONCHOSPASM AND UPPER AIRWAY SYMPTOMS
- 5.10 HYPERSENSITIVITY REACTIONS, INCLUDING ANAPHYLAXIS
- 5.11 CARDIOVASCULAR AND CENTRAL NERVOUS SYSTEM EFFECTS
- 5.12 REDUCTION IN BONE MINERAL DENSITY
- 5.13 EFFECT ON GROWTH
- 5.14 GLAUCOMA AND CATARACTS
- 5.15 EOSINOPHILIC CONDITIONS AND CHURG-STRAUSS SYNDROME
- 5.16 COEXISTING CONDITIONS
- 5.17 HYPOKALEMIA AND HYPERGLYCEMIA
- 6 ADVERSE REACTIONS
- 6.1 CLINICAL TRIALS EXPERIENCE IN ASTHMA
- 6.2 POSTMARKETING EXPERIENCE
- 7 DRUG INTERACTIONS
- 7.1 INHIBITORS OF CYTOCHROME P450 3A4
- 7.2 MONOAMINE OXIDASE INHIBITORS AND TRICYCLIC ANTIDEPRESSANTS
- 7.3 BETA-ADRENERGIC RECEPTOR BLOCKING AGENTS
- 7.4 NON-POTASSIUM-SPARING DIURETICS
- 8.1 PREGNANCY
- 8.2 LACTATION
- 8.4 PEDIATRIC USE
- 8.5 GERIATRIC USE
- 8.6 HEPATIC IMPAIRMENT
- 8.7 RENAL IMPAIRMENT
- 10 OVERDOSAGE
- 11 DESCRIPTION
- 12.1 MECHANISM OF ACTION
- 12.2 PHARMACODYNAMICS
- 12.3 PHARMACOKINETICS
- 13.1 CARCINOGENESIS, MUTAGENESIS, IMPAIRMENT OF FERTILITY
- 13.2 ANIMAL TOXICOLOGY AND/OR PHARMACOLOGY
- 14 CLINICAL STUDIES
- 14.1 DOSE-RANGING STUDIES IN PATIENTS WITH ASTHMA
- 14.2 TRIALS IN THE TREATMENT OF ASTHMA
- 16 HOW SUPPLIED/STORAGE AND HANDLING
- 17 PATIENT COUNSELING INFORMATION
- PATIENT INFORMATION
- INSTRUCTIONS FOR USE
- PACKAGE/LABEL DISPLAY PANEL
Airduo Respiclick Product Label
The following document was submitted to the FDA by the labeler of this product Teva Respiratory, Llc. The document includes published materials associated whith this product with the essential scientific information about this product as well as other prescribing information. Product labels may durg indications and usage, generic names, contraindications, active ingredients, strength dosage, routes of administration, appearance, warnings, inactive ingredients, etc.
1 Indications And Usage
AIRDUO® RESPICLICK® is indicated for the treatment of asthma in adult and pediatric patients aged 12 years and older. AIRDUO RESPICLICK should be used for patients not adequately controlled on a long term asthma control medication such as an inhaled corticosteroid or whose disease warrants initiation of treatment with both an inhaled corticosteroid and long acting beta2-adrenergic agonist (LABA).
Limitations of Use:
AIRDUO RESPICLICK is not indicated for the relief of acute bronchospasm.
2.1 Administration Instructions
- AIRDUO RESPICLICK is for oral inhalation and does not require priming.
- Do not use AIRDUO RESPICLICK with a spacer or volume holding chamber.
- Do not use more than two times every 24 hours. More frequent administration or a greater number of daily inhalations (more than one inhalation twice daily) is not recommended as some patients are more likely to experience adverse reactions with higher salmeterol dosages.
- Avoid the concomitant use of other long acting beta2-adrenergic agonist (LABAs) [see Warnings and Precautions (5.3, 5.11)].
- If asthma symptoms arise in the period between doses, an inhaled, short-acting beta2-agonist should be taken for immediate relief.
2.2 Recommended Dosage
Administer 1 inhalation of AIRDUO RESPICLICK twice daily by oral inhalation (approximately 12 hours apart at the same time every day). Rinse the mouth with water without swallowing after each inhalation.
Dosage Selection
The recommended starting dosage for AIRDUO RESPICLICK is based on asthma severity and current inhaled corticosteroid use and strength.
Patients not taking inhaled corticosteroids (ICS) (with less severe asthma):
- 1 inhalation of 55 mcg/14 mcg AIRDUO RESPICLICK dose strength (55 mcg of fluticasone propionate and 14 mcg of salmeterol), twice daily by oral inhalation.
Patients with greater asthma severity, use the higher dose strengths:
1 inhalation of 113 mcg/14 mcg AIRDUO RESPICLICK (113 mcg of fluticasone propionate and 14 mcg of salmeterol) twice daily; or
1 inhalation of 232 mcg/14 mcg AIRDUO RESPICLICK (232 mcg of fluticasone propionate and 14 mcg of salmeterol) twice daily
Patients switching to AIRDUO RESPICLICK from another inhaled corticosteroid or combination product:
1 inhalation of low (55 mcg/14 mcg), medium (113 mcg/14 mcg) or high (232 mcg/14 mcg) AIRDUO RESPICLICK twice daily by oral inhalation based on the strength of the previous inhaled corticosteroid product, or the strength of the inhaled corticosteroid from a combination product, and disease severity.
The maximum recommended dosage of AIRDUO RESPICLICK is 232 mcg/14 mcg twice daily.
General Dosing Information
Improvement in asthma control following AIRDUO RESPICLICK administration can occur within 15 minutes of beginning treatment; although maximum benefit may not be achieved for 1 week or longer after starting treatment. Individual patients will experience a variable time to onset and degree of symptom relief. For patients who do not respond adequately to the starting dose of AIRDUO RESPICLICK after 2 weeks of therapy, consider increasing the strength (replace with higher strength) to possibly provide additional improvement in asthma control.
If a previously effective dosage regimen fails to provide adequate improvement in asthma control, re-evaluate the therapeutic regimen, including patient compliance and inhaler technique, and consider additional therapeutic options (e.g., increasing the dose of AIRDUO RESPICLICK with a higher strength, adding additional controller therapies). After asthma stability has been achieved, it is desirable to titrate to the lowest effective dosage to reduce the risk of adverse reactions.
2.3 Storing And Cleaning The Inhaler
Keep the inhaler in a cool dry place.
Routine maintenance is not required. If the mouthpiece needs cleaning, gently wipe the mouthpiece with a dry cloth or tissue as needed.
Never wash or put any part of the inhaler in water.
2.4 Dose Counter
The AIRDUO RESPICLICK inhaler has a dose counter:
The number 60 is displayed (prior to use).
The dose counter will count down each time the mouthpiece is opened and closed [see Patient Counseling Information (17)].
3 Dosage Forms And Strengths
Inhalation powder: an inhalation-driven, multidose dry powder inhaler (MDPI) for oral inhalation that meters 55 mcg, 113 mcg, or 232 mcg of fluticasone propionate with 14 mcg of salmeterol from the device reservoir and delivers 49 mcg, 100 mcg, or 202 mcg of fluticasone propionate with 12.75 mcg of salmeterol, respectively, from the mouthpiece per actuation. The AIRDUO RESPICLICK is a white inhaler with a yellow cap, and is provided in a sealed foil pouch with desiccant [see How Supplied/Storage and Handling (16)].
4 Contraindications
AIRDUO RESPICLICK is contraindicated in:
- the primary treatment of status asthmaticus or other acute episodes of asthma where intensive measures are required [see Warnings and Precautions (5.2)].
- patients with known severe hypersensitivity to milk proteins or who have demonstrated hypersensitivity to fluticasone propionate or any of the excipients [see Warnings and Precautions (5.10) and Description (11)].
5.1 Serious Asthma-Related Events – Hospitalizations, Intubations, Death
Use of LABA as monotherapy [without inhaled corticosteroids (ICS)] for asthma is associated with an increased risk of asthma-related death [see Salmeterol Multicenter Asthma Research Trial (SMART)]. Available data from controlled clinical trials also suggest that use of LABA as monotherapy increases the risk of asthma-related hospitalization in pediatric and adolescent patients. These findings are considered a class effect of LABA monotherapy. When LABA are used in fixed-dose combination with ICS, data from large clinical trials do not show a significant increase in the risk of serious asthma-related events (hospitalizations, intubations, death) compared with ICS alone [see Serious Asthma-Related Events with Inhaled Corticosteroid/Long-acting Beta2-adrenergic Agonists].
Serious Asthma-Related Events with Inhaled Corticosteroid/Long-acting Beta2-adrenergic Agonists
Four large, 26-week, randomized, blinded, active-controlled clinical safety trials were conducted to evaluate the risk of serious asthma-related events when LABA were used in fixed-dose combination with ICS compared with ICS alone in subjects with asthma. Three (3) trials included adult and adolescent subjects aged 12 years and older: 1 trial compared budesonide/formoterol to budesonide, 1 trial compared fluticasone propionate/salmeterol inhalation powder to fluticasone propionate inhalation powder, and 1 trial compared mometasone furoate/formoterol to mometasone furoate. The fourth trial included pediatric subjects aged 4 to 11 years and compared fluticasone propionate/salmeterol inhalation powder to fluticasone propionate inhalation powder. The primary safety endpoint for all 4 trials was serious asthma-related events (hospitalizations, intubations, death). A blinded adjudication committee determined whether events were asthma-related.
The 3 adult and adolescent trials were designed to rule out a risk margin of 2.0, and the pediatric trial was designed to rule out a risk margin of 2.7. Each individual trial met its pre-specified objective and demonstrated non-inferiority of ICS/LABA to ICS alone. A meta-analysis of the 3 adult and adolescent trials did not show a significant increase in risk of a serious asthma-related event with ICS/LABA fixed-dose combination compared with ICS alone (Table 1). These trials were not designed to rule out all risk for serious asthma-related events with ICS/LABA compared with ICS.
Table 1. Meta-analysis of Serious Asthma-Related Events in Subjects with Asthma Aged 12 Years and Older| ICS/LABA (n =17,537) a | ICS (n = 17,552) a | ICS/LABA vs. ICS Hazard Ratio (95% CI)b | |
| Serious asthma-related event c | 116 | 105 | 1.10 (0.85, 1.44) |
| Asthma-related death | 2 | 0 | |
| Asthma-related intubation (endotracheal) | 1 | 2 | |
| Asthma-related hospitalization (≥24-hour stay) | 115 | 105 |
ICS = Inhaled Corticosteroid; LABA = Long-acting Beta2-adrenergic Agonist.
a Randomized subjects who had taken at least 1 dose of study drug. Planned treatment used for analysis.
b Estimated using a Cox proportional hazards model for time to first event with baseline hazards stratified by each of the 3 trials.
c Number of subjects with events that occurred within 6 months after the first use of study drug or 7 days after the last date of study drug, whichever date was later. Subjects can have one or more events, but only the first event was counted for analysis. A single, blinded, independent adjudication committee determined whether events were asthma related.
The pediatric safety trial included 6,208 pediatric patients aged 4 to 11 years who received ICS/LABA (fluticasone propionate/salmeterol inhalation powder) or ICS (fluticasone propionate inhalation powder). In this trial 27/3,107 (0.9%) of patients treated with ICS/LABA and 21/3,101 (0.7%) of patients treated with ICS experienced a serious asthma‑related event. There were no asthma-related deaths or intubations. ICS/LABA did not show a significantly increased risk of a serious asthma-related event compared to ICS based on the prespecified risk margin (2.7), with an estimated hazard ratio of time to first event of 1.29 (95% CI: 0.73, 2.27).
Salmeterol Multicenter Asthma Research Trial (SMART)
A 28-week, placebo-controlled, U.S. trial that compared the safety of salmeterol with placebo, each added to usual asthma therapy, showed an increase in asthma-related deaths in subjects receiving salmeterol (13/13,176 in subjects treated with salmeterol versus 3/13,179 in subjects treated with placebo; relative risk: 4.37 [95% CI: 1.25, 15.34]). Use of background ICS was not required in SMART. The increased risk of asthma‑related death is considered a class effect of LABA monotherapy.
5.2 Deterioration Of Disease And Acute Episodes
AIRDUO RESPICLICK should not be initiated in patients during rapidly deteriorating or potentially life‑threatening episodes of asthma. AIRDUO RESPICLICK has not been studied in subjects with acutely deteriorating asthma. The initiation of AIRDUO RESPICLICK in this setting is not appropriate.
Serious acute respiratory events, including fatalities, have been reported when salmeterol, a component of AIRDUO RESPICLICK, has been initiated in patients with significantly worsening or acutely deteriorating asthma. In most cases, these have occurred in patients with severe asthma (e.g., patients with a history of corticosteroid dependence, low pulmonary function, intubation, mechanical ventilation, frequent hospitalizations, previous life‑threatening acute asthma exacerbations) and in some patients with acutely deteriorating asthma (e.g., patients with significantly increasing symptoms; increasing need for inhaled, short‑acting beta2‑agonists; decreasing response to usual medications; increasing need for systemic corticosteroids; recent emergency room visits; deteriorating lung function). However, these events have occurred in a few patients with less severe asthma as well. It was not possible from these reports to determine whether salmeterol contributed to these events.
Increasing use of inhaled, short‑acting beta2‑agonists is a marker of deteriorating asthma. In this situation, the patient requires immediate reevaluation with reassessment of the treatment regimen, giving special consideration to the possible need for replacing the current strength of AIRDUO RESPICLICK with a higher strength, adding additional inhaled corticosteroid, or initiating systemic corticosteroids. Patients should not use more than 1 inhalation twice daily of AIRDUO RESPICLICK.
AIRDUO RESPICLICK should not be used for the relief of acute symptoms, i.e., as rescue therapy for the treatment of acute episodes of bronchospasm. An inhaled, short‑acting beta2‑agonist, not AIRDUO RESPICLICK, should be used to relieve acute symptoms such as shortness of breath. When prescribing AIRDUO RESPICLICK, the healthcare provider should also prescribe an inhaled, short‑acting beta2-agonist (e.g., albuterol) for treatment of acute symptoms, despite regular twice‑daily use of AIRDUO RESPICLICK.
When beginning treatment with AIRDUO RESPICLICK, patients who have been taking oral or inhaled, short‑acting beta2‑agonists on a regular basis (e.g., 4 times a day) should be instructed to discontinue the regular use of these drugs.
5.3 Avoid Excessive Use Of Airduo Respiclick And Avoid Use With Other Long-Acting Beta2-Agonists
AIRDUO RESPICLICK should not be used more often than recommended, at higher doses than recommended, or in conjunction with other medicines containing LABA, as an overdose may result. Clinically significant cardiovascular effects and fatalities have been reported in association with excessive use of inhaled sympathomimetic drugs. Patients using AIRDUO RESPICLICK should not use another medicine containing a LABA (e.g., salmeterol, formoterol fumarate, arformoterol tartrate, indacaterol) for any reason.
5.4 Oropharyngeal Candidiasis
In clinical trials, the development of localized infections of the mouth and pharynx with Candida albicans has occurred in subjects treated with AIRDUO RESPICLICK. When such an infection develops, it should be treated with appropriate local or systemic (i.e., oral) antifungal therapy while treatment with AIRDUO RESPICLICK continues, but at times therapy with AIRDUO RESPICLICK may need to be interrupted. Advise the patient to rinse his/her mouth with water without swallowing following inhalation to help reduce the risk of oropharyngeal candidiasis.
5.5 Immunosuppression And Risk Of Infections
Persons who are using drugs that suppress the immune system are more susceptible to infections than healthy individuals. Chickenpox and measles, for example, can have a more serious or even fatal course in susceptible adolescents or adults using corticosteroids. In such patients who have not had these diseases or who have not been properly immunized, particular care should be taken to avoid exposure. How the dose, route and duration of corticosteroid administration affect the risk of developing a disseminated infection is not known. The contribution of the underlying disease and/or prior corticosteroid treatment to the risk is also not known. If a patient is exposed to chickenpox, prophylaxis with varicella-zoster immune globulin (VZIG) or pooled intravenous immunoglobulin (IVIG) may be indicated. If a patient is exposed to measles, prophylaxis with pooled intramuscular immunoglobulin (IG) may be indicated. (See the respective package inserts for complete VZIG and IG prescribing information.) If chickenpox develops, treatment with antiviral agents may be considered.
Inhaled corticosteroids should be used with caution, if at all, in patients with active or quiescent tuberculosis infections of the respiratory tract; systemic fungal, bacterial, viral, or parasitic infections; or ocular herpes simplex.
5.6 Transferring Patients From Systemic Corticosteroid Therapy
HPA Suppression/Adrenal Insufficiency
Particular care is needed for patients who are transferred from systemically active corticosteroids to inhaled corticosteroids because deaths due to adrenal insufficiency have occurred in patients with asthma during and after transfer from systemic corticosteroids to less systemically available inhaled corticosteroids. After withdrawal from systemic corticosteroids, a number of months are required for recovery of hypothalamic‑pituitary‑adrenal (HPA) function.
Patients who have been previously maintained on 20 mg or more of prednisone (or its equivalent) may be most susceptible, particularly when their systemic corticosteroids have been almost completely withdrawn. During this period of HPA suppression, patients may exhibit signs and symptoms of adrenal insufficiency when exposed to trauma, surgery, or infection (particularly gastroenteritis) or other conditions associated with severe electrolyte loss. Although AIRDUO RESPICLICK may improve control of asthma symptoms during these episodes, in recommended doses it supplies less than normal physiological amounts of corticosteroid systemically and does NOT provide the mineralocorticoid activity that is necessary for coping with these emergencies.
During periods of stress or a severe asthmatic attack, patients who have been withdrawn from systemic corticosteroids should be instructed to resume oral corticosteroids (in large doses) immediately and to contact their physician for further instruction. These patients should also be instructed to carry a medical identification warning card indicating that they may need supplementary systemic corticosteroids during periods of stress or a severe asthma attack.
Patients requiring systemic corticosteroids should be weaned slowly from systemic corticosteroid use after transferring to AIRDUO RESPICLICK. Lung function (mean forced expiratory volume in 1 second [FEV1] or morning peak expiratory flow [AM PEF]), beta‑agonist use, and asthma symptoms should be carefully monitored during withdrawal of systemic corticosteroids. In addition to monitoring asthma signs and symptoms, patients should be observed for signs and symptoms of adrenal insufficiency, such as fatigue, lassitude, weakness, nausea and vomiting, and hypotension.
Unmasking of Allergic Conditions Previously Suppressed by Systemic Corticosteroids
Transfer of patients from systemic corticosteroid therapy to AIRDUO RESPICLICK may unmask allergic conditions previously suppressed by the systemic corticosteroid therapy (e.g., rhinitis, conjunctivitis, eczema, arthritis, eosinophilic conditions).
Corticosteroid Withdrawal Symptoms
During withdrawal from oral corticosteroids, some patients may experience symptoms of systemically active corticosteroid withdrawal (e.g., joint and/or muscular pain, lassitude, depression) despite maintenance or even improvement of respiratory function.
5.7 Hypercorticism And Adrenal Suppression
Fluticasone propionate, a component of AIRDUO RESPICLICK, will often help control asthma symptoms with less suppression of HPA function than therapeutically equivalent oral doses of prednisone. Since fluticasone propionate is absorbed into the circulation and can be systemically active at higher doses, the beneficial effects of AIRDUO RESPICLICK in minimizing HPA dysfunction may be expected only when recommended dosages are not exceeded and individual patients are titrated to the lowest effective dose. A relationship between plasma levels of fluticasone propionate and inhibitory effects on stimulated cortisol production has been shown after 4 weeks of treatment with fluticasone propionate inhalation aerosol. Since individual sensitivity to effects on cortisol production exists, physicians should consider this information when prescribing AIRDUO RESPICLICK.
Because of the possibility of significant systemic absorption of inhaled corticosteroids, patients treated with AIRDUO RESPICLICK should be observed carefully for any evidence of systemic corticosteroid effects. Particular care should be taken in observing patients postoperatively or during periods of stress for evidence of inadequate adrenal response.
It is possible that systemic corticosteroid effects such as hypercorticism and adrenal suppression (including adrenal crisis) may appear in a small number of patients who are sensitive to these effects. If such effects occur, AIRDUO RESPICLICK should be reduced slowly, consistent with accepted procedures for reducing systemic corticosteroids, and for management of asthma symptoms.
5.8 Drug Interactions With Strong Cytochrome P450 3A4 Inhibitors
The use of strong cytochrome P450 3A4 (CYP3A4) inhibitors (e.g., ritonavir, atazanavir, clarithromycin, indinavir, itraconazole, nefazodone, nelfinavir, saquinavir, ketoconazole, telithromycin) with AIRDUO RESPICLICK is not recommended because increased systemic corticosteroid and increased cardiovascular adverse effects may occur [see Drug Interactions (7.1) and Clinical Pharmacology (12.3)].
5.9 Paradoxical Bronchospasm And Upper Airway Symptoms
As with other inhaled medicines, AIRDUO RESPICLICK can produce paradoxical bronchospasm, which may be life‑threatening. If paradoxical bronchospasm occurs following dosing with inhaled fluticasone propionate/salmeterol medicines, it should be treated immediately with an inhaled, short-acting bronchodilator; inhaled fluticasone propionate/salmeterol medicines should be discontinued immediately; and alternative therapy should be instituted. Upper airway symptoms of laryngeal spasm, irritation, or swelling, such as stridor and choking, have been reported in patients receiving inhaled fluticasone propionate/salmeterol medicines.
5.10 Hypersensitivity Reactions, Including Anaphylaxis
Immediate hypersensitivity reactions (e.g., urticaria, angioedema, rash, bronchospasm, hypotension), including anaphylaxis, may occur after administration of AIRDUO RESPICLICK. There have been reports of anaphylactic reactions in patients with severe milk protein allergy after inhalation of other powder products containing lactose; therefore, patients with severe milk protein allergy should not use AIRDUO RESPICLICK [see Contraindications (4)].
5.11 Cardiovascular And Central Nervous System Effects
Excessive beta‑adrenergic stimulation has been associated with seizures, angina, hypertension or hypotension, tachycardia with rates up to 200 beats/min, arrhythmias, nervousness, headache, tremor, palpitation, nausea, dizziness, fatigue, malaise, and insomnia [see Overdosage (10)]. Therefore, AIRDUO RESPICLICK, like all products containing sympathomimetic amines, should be used with caution in patients with cardiovascular disorders, especially coronary insufficiency, cardiac arrhythmias, and hypertension.
Salmeterol, a component of AIRDUO RESPICLICK, can produce a clinically significant cardiovascular effect in some patients as measured by pulse rate, blood pressure, and/or symptoms. Although such effects are uncommon after administration of salmeterol at recommended doses, if they occur, the drug may need to be discontinued. In addition, beta‑agonists have been reported to produce electrocardiogram (ECG) changes, such as flattening of the T wave, prolongation of the QTc interval, and ST segment depression. The clinical significance of these findings is unknown. Large doses of inhaled or oral salmeterol (12 to 20 times the recommended dose) have been associated with clinically significant prolongation of the QTc interval, which has the potential for producing ventricular arrhythmias. Fatalities have been reported in association with excessive use of inhaled sympathomimetic drugs.
5.12 Reduction In Bone Mineral Density
Decreases in bone mineral density (BMD) have been observed with long‑term administration of products containing inhaled corticosteroids. The clinical significance of small changes in BMD with regard to long‑term consequences such as fracture is unknown. Patients with major risk factors for decreased bone mineral content, such as prolonged immobilization, family history of osteoporosis, or chronic use of drugs that can reduce bone mass (e.g., anticonvulsants, oral corticosteroids) should be monitored and treated with established standards of care.
5.13 Effect On Growth
Orally inhaled corticosteroids, including AIRDUO RESPICLICK, may cause a reduction in growth velocity when administered to pediatric patients. Monitor the growth of pediatric patients receiving AIRDUO RESPICLICK routinely (e.g., via stadiometry). To minimize the systemic effects of orally inhaled corticosteroids, including AIRDUO RESPICLICK, titrate each patient’s dosage to the lowest dosage that effectively controls his/her symptoms [see Dosage and Administration (2), Use in Specific Populations (8.4)].
5.14 Glaucoma And Cataracts
Glaucoma, increased intraocular pressure, and cataracts have been reported in patients following the long-term administration of inhaled corticosteroids, including fluticasone propionate, a component of AIRDUO RESPICLICK. Therefore, close monitoring is warranted in patients with a change in vision or with a history of increased intraocular pressure, glaucoma, and/or cataracts.
Effects of treatment with other Fluticasone Propionate and Salmeterol Inhalation Powder 500 mcg/50 mcg, fluticasone propionate 500 mcg, salmeterol 50 mcg, or placebo on development of cataracts or glaucoma was evaluated in a subset of 658 subjects with COPD in the 3-year survival trial. Ophthalmic examinations were conducted at baseline and at 48, 108, and 158 weeks. Conclusions about cataracts cannot be drawn from this trial because the high incidence of cataracts at baseline (61% to 71%) resulted in an inadequate number of subjects treated with other Fluticasone Propionate and Salmeterol Inhalation Powder 500 mcg/50 mcg who were eligible and available for evaluation of cataracts at the end of the trial (n = 53). The incidence of newly diagnosed glaucoma was 2% with other Fluticasone Propionate and Salmeterol Inhalation Powder 500 mcg/50 mcg, 5% with fluticasone propionate, 0% with salmeterol, and 2% with placebo.
5.15 Eosinophilic Conditions And Churg-Strauss Syndrome
In rare cases, patients on inhaled fluticasone propionate, a component of AIRDUO RESPICLICK, may present with systemic eosinophilic conditions. Some of these patients have clinical features of vasculitis consistent with Churg‑Strauss syndrome, a condition that is often treated with systemic corticosteroid therapy. These events usually, but not always, have been associated with the reduction and/or withdrawal of oral corticosteroid therapy following the introduction of fluticasone propionate. Cases of serious eosinophilic conditions have also been reported with other inhaled corticosteroids in this clinical setting. Physicians should be alert to eosinophilia, vasculitic rash, worsening pulmonary symptoms, cardiac complications, and/or neuropathy presenting in their patients. A causal relationship between fluticasone propionate and these underlying conditions has not been established.
5.16 Coexisting Conditions
AIRDUO RESPICLICK, like all medicines containing sympathomimetic amines, should be used with caution in patients with convulsive disorders or thyrotoxicosis and in those who are unusually responsive to sympathomimetic amines. Doses of the related beta2‑adrenoceptor agonist albuterol, when administered intravenously, have been reported to aggravate preexisting diabetes mellitus and ketoacidosis.
5.17 Hypokalemia And Hyperglycemia
Beta‑adrenergic agonist medicines may produce significant hypokalemia in some patients, possibly through intracellular shunting, which has the potential to produce adverse cardiovascular effects [see Clinical Pharmacology (12.2)]. The decrease in serum potassium is usually transient, not requiring supplementation. Clinically significant changes in blood glucose and/or serum potassium were seen infrequently during clinical trials with AIRDUO RESPICLICK at recommended doses.
6 Adverse Reactions
The following clinically significant adverse reactions are described elsewhere in the labeling:
- Serious asthma-related events – hospitalizations, intubations, death [see Warnings and Precautions (5.1)]
- Oropharyngeal candidiasis [see Warnings and Precautions (5.4)]
- Immunosuppression and risk of infections [see Warnings and Precautions (5.5)]
- Hypercorticism and adrenal suppression [see Warnings and Precautions (5.7)]
- Cardiovascular and central nervous system effects [see Warnings and Precautions (5.11)]
- Reduction in bone mineral density [see Warnings and Precautions (5.12)]
- Growth effects in pediatrics [see Warnings and Precautions (5.13)]
- Glaucoma and cataracts [see Warnings and Precautions (5.14)]
6.1 Clinical Trials Experience In Asthma
Because clinical trials are conducted under widely varying conditions, adverse reaction rates observed in the clinical trials of a drug cannot be directly compared to rates in the clinical trials of another drug and may not reflect the rates observed in practice.
In two placebo-controlled, 12-week, clinical studies (Trials 1 and 2) [see Clinical Studies (14)], a total of 1,364 adolescent and adult patients with persistent symptomatic asthma despite ICS or ICS/LABA therapy were treated twice daily with either placebo; fluticasone propionate MDPI 55 mcg, 113 mcg, or 232 mcg (ARMONAIR RESPICLICK, hereafter referred to as fluticasone propionate MDPI); or AIRDUO RESPICLICK 55 mcg/14 mcg, 113 mcg/14 mcg, or 232 mcg/14 mcg. Sixty percent of patients were female and 80% of patients were white. The average duration of exposure was 82 to 84 days in the fluticasone propionate MDPI and AIRDUO RESPICLICK treatment groups compared with 75 days in the placebo group. Table 2 displays the incidence of most common adverse reactions in pooled Trials 1 and 2.
Table 2: Adverse Reactions with ≥3% Incidence with AIRDUO RESPICLICK, and More Common than Placebo in Subjects with Asthma (Trials 1 and 2)
Adverse Reaction | Fluticasone Propionate 55 mcg % | Fluticasone Propionate 113 mcg % | Fluticasone Propionate 232 mcg % | AIRDUO RESPICLICK
% | AIRDUO RESPICLICK
% | AIRDUO RESPICLICK
% | Placebo (n=273) % |
Nasopharyngitis | 5.4 | 5.8 | 4.8 | 8.6 | 4.8 | 6.9 | 4.4 |
Oral candidiasis* | 3.1 | 2.9 | 4.8 | 1.6 | 2.2 | 3.4 | 0.7 |
Headache | 1.6 | 7.3 | 4.8 | 5.5 | 4.8 | 2.8 | 4.4 |
Cough | 1.6 | 1.8 | 3.4 | 2.3 | 3.7 | 0.7 | 2.6 |
Back pain | 0 | 1.5 | 1.4 | 3.1 | 0.7 | 0 | 1.8 |
*Oral candidiasis includes oropharyngeal candidiasis, oral fungal infection, and oropharyngitis fungal
Other adverse reactions not previously listed (and occurring in <3% of patients and in three or more patients on AIRDUO RESPICLICK) that were reported more frequently by patients with asthma treated with AIRDUO RESPICLICK compared with patients treated with placebo include the following:
Sinusitis, oropharyngeal pain, pharyngitis, dizziness, influenza, rhinitis allergic, respiratory tract infection, rhinitis, nasal congestion, abdominal pain upper, myalgia, pain in extremity, dyspepsia, laceration, dermatitis contact, and palpitations.
Long Term Safety Study: This was a 26-week, open labeled study of 674 patients previously treated with ICS who were treated twice daily with fluticasone propionate MDPI 113 mcg or 232 mcg; AIRDUO RESPICLICK 113 mcg/14 mcg or 232 mcg/14 mcg; fluticasone propionate inhalation aerosol 110 mcg or 220 mcg; fluticasone propionate and salmeterol inhalation powder (250 mcg/50 mcg), or fluticasone propionate and salmeterol inhalation powder (500 mcg/50 mcg). The types of adverse reactions were similar to those reported above in placebo-controlled studies.
6.2 Postmarketing Experience
In addition to adverse reactions reported from clinical trials, the following adverse reactions have been identified during post approval use of fluticasone propionate and/or salmeterol regardless of indication. Because these reactions are reported voluntarily from a population of uncertain size, it is not always possible to reliably estimate their frequency or establish a causal relationship to drug exposure. These events have been chosen for inclusion due to either their seriousness, frequency of reporting, or causal connection to fluticasone propionate and/or salmeterol or a combination of these factors.
Cardiac Disorders: Arrhythmias (including atrial fibrillation, extrasystoles, supraventricular tachycardia), ventricular tachycardia.
Endocrine Disorders: Cushing’s syndrome, Cushingoid features, growth velocity reduction in children/adolescents, hypercorticism.
Eye Disorders: Glaucoma, blurred vision and central serous chorioretinopathy.
Gastrointestinal Disorders: Abdominal pain, dyspepsia, xerostomia.
Immune System Disorders: Immediate and delayed hypersensitivity reaction (including very rare anaphylactic reaction). Very rare anaphylactic reaction in patients with severe milk protein allergy.
Infections and Infestations: Esophageal candidiasis.
Metabolic and Nutrition Disorders: Hyperglycemia, weight gain.
Musculoskeletal, Connective Tissue, and Bone Disorders: Arthralgia, cramps, myositis, osteoporosis.
Nervous System Disorders: Paresthesia, restlessness.
Psychiatric Disorders: Agitation, aggression, depression. Behavioral changes, including hyperactivity and irritability, have been reported very rarely and primarily in children.
Reproductive System and Breast Disorders: Dysmenorrhea.
Respiratory, Thoracic, and Mediastinal Disorders: Chest congestion; chest tightness, dyspnea; facial and oropharyngeal edema, immediate bronchospasm; paradoxical bronchospasm; tracheitis; wheezing; reports of upper respiratory symptoms of laryngeal spasm, irritation, or swelling such as stridor or choking.
Skin and Subcutaneous Tissue Disorders: Ecchymoses, photodermatitis.
Vascular Disorders: Pallor.
7 Drug Interactions
AIRDUO RESPICLICK has been used concomitantly with other drugs, including short‑acting beta2‑agonists, and intranasal corticosteroids, commonly used in patients with asthma without adverse drug reactions [see Clinical Pharmacology (12.2)]. No formal drug interaction trials have been performed with AIRDUO RESPICLICK.
7.1 Inhibitors Of Cytochrome P450 3A4
Fluticasone propionate and salmeterol, the individual components of AIRDUO RESPICLICK, are substrates of CYP3A4. The use of strong CYP3A4 inhibitors (e.g., ritonavir, atazanavir, clarithromycin, indinavir, itraconazole, nefazodone, nelfinavir, saquinavir, ketoconazole, telithromycin) with AIRDUO RESPICLICK is not recommended because increased systemic corticosteroid and increased cardiovascular adverse effects may occur.
Ritonavir: Fluticasone Propionate: A drug interaction trial with fluticasone propionate aqueous nasal spray in healthy subjects has shown that ritonavir (a strong CYP3A4 inhibitor) can significantly increase plasma fluticasone propionate exposure, resulting in significantly reduced serum cortisol concentrations [see Clinical Pharmacology (12.3)]. During postmarketing use, there have been reports of clinically significant drug interactions in patients receiving fluticasone propionate and ritonavir, resulting in systemic corticosteroid effects including Cushing’s syndrome and adrenal suppression.
Ketoconazole: Fluticasone Propionate: Coadministration of orally inhaled fluticasone propionate (1,000 mcg) and ketoconazole (200 mg once daily) resulted in a 1.9‑fold increase in plasma fluticasone propionate exposure and a 45% decrease in plasma cortisol area under the curve (AUC) but had no effect on urinary excretion of cortisol.
Salmeterol: In a drug interaction trial in 20 healthy subjects, coadministration of inhaled salmeterol (50 mcg twice daily) and oral ketoconazole (400 mg once daily) for 7 days resulted in greater systemic exposure to salmeterol (AUC increased 16‑fold and Cmax increased 1.4‑fold). Three (3) subjects were withdrawn due to beta2‑agonist side effects (2 with prolonged QTc and 1 with palpitations and sinus tachycardia). Although there was no statistical effect on the mean QTc, coadministration of salmeterol and ketoconazole was associated with more frequent increases in QTc duration compared with salmeterol and placebo administration [see Clinical Pharmacology (12.3)].
7.2 Monoamine Oxidase Inhibitors And Tricyclic Antidepressants
AIRDUO RESPICLICK should be administered with extreme caution to patients being treated with monoamine oxidase inhibitors or tricyclic antidepressants, or within 2 weeks of discontinuation of such agents, because the action of salmeterol, a component of AIRDUO RESPICLICK, on the vascular system may be potentiated by these agents.
7.3 Beta-Adrenergic Receptor Blocking Agents
Beta‑blockers not only block the pulmonary effect of beta‑agonists, such as salmeterol, a component of AIRDUO RESPICLICK, but may also produce severe bronchospasm in patients with asthma. Therefore, patients with asthma should not normally be treated with beta‑blockers. However, under certain circumstances, there may be no acceptable alternatives to the use of beta‑adrenergic blocking agents for these patients; cardioselective beta‑blockers could be considered, although they should be administered with caution.
7.4 Non-Potassium-Sparing Diuretics
The ECG changes and/or hypokalemia that may result from the administration of non–potassium‑sparing diuretics (such as loop or thiazide diuretics) can be acutely worsened by beta‑agonists, such as salmeterol, a component of AIRDUO RESPICLICK, especially when the recommended dose of the beta‑agonist is exceeded. Although the clinical significance of these effects is not known, caution is advised in the coadministration of AIRDUO RESPICLICK with non–potassium‑sparing diuretics.
8.1 Pregnancy
Risk Summary
There are no randomized clinical studies of AIRDUO RESPICLICK or individual monoproducts, fluticasone propionate and salmeterol, in pregnant women. There are clinical considerations with the use of AIRDUO RESPICLICK in pregnant women [see Clinical Considerations]. Animal reproduction studies are available with the combination of fluticasone propionate and salmeterol as well as individual components. In animals, teratogenicity characteristic of corticosteroids, decreased fetal body weight and/or skeletal variations, in rats, mice, and rabbits were observed with subcutaneously administered maternal toxic doses of fluticasone propionate less than the maximum recommended human daily inhaled dose (MRHDID) on a mcg/m2 basis [see Data]. However, fluticasone propionate administered via inhalation to rats decreased fetal body weight, but did not induce teratogenicity at a maternal toxic dose less than the MRHDID on a mcg/m2 basis [see Data]. Experience with oral corticosteroids suggests that rodents are more prone to teratogenic effects from corticosteroids than humans. Oral administration of salmeterol to pregnant rabbits caused teratogenicity characteristic of beta-adrenoceptor stimulation at maternal doses approximately 700 times the MRHDID on a mcg/m2 basis. These adverse effects generally occurred at large multiples of the MRHDID when salmeterol was administered by the oral route to achieve high systemic exposures. No such effects occurred at an oral salmeterol dose approximately 420 times the MRHDID [see Data].
The estimated risk of major birth defects and miscarriage for the indicated population is unknown. In the U.S. general population, the estimated risk of major birth defects and miscarriage in clinically recognized pregnancies is 2% to 4% and 15% to 20%, respectively.
Clinical Considerations
Disease‑Associated Maternal and/or Embryo/Fetal Risk
In women with poorly or moderately controlled asthma, there is an increased risk of several perinatal adverse outcomes such as preeclampsia in the mother and prematurity, low birth weight, and small for gestational age in the neonate. Pregnant women with asthma should be closely monitored and medication adjusted as necessary to maintain optimal asthma control.
Data
Animal Data
Fluticasone Propionate and Salmeterol: In an embryo/fetal development study with pregnant rats that received the combination of subcutaneous administration of fluticasone propionate and oral administration of salmeterol at doses of 0/1000, 30/0, 10/100, 30/1000, and 100/10,000 mcg/kg/day (as fluticasone propionate/salmeterol) during the period of organogenesis, findings were generally consistent with the individual monoproducts and there was no exacerbation of expected fetal effects. Omphalocele, increased embryo/fetal deaths, decreased body weight, and skeletal variations were observed in rat fetuses, in the presence of maternal toxicity, when combining fluticasone propionate at a dose approximately 2 times the MRHDID (on a mcg/m2 basis at a maternal subcutaneous dose of 100 mcg/kg/day) and a dose of salmeterol at approximately 3500 times the MRHDID (on a mcg/m2 basis at a maternal oral dose of 10,000 mcg/kg/day). The rat no observed adverse effect level (NOAEL) was observed when combining fluticasone propionate at a dose 0.6 times the MRHDID (on a mcg/m2 basis at a maternal subcutaneous dose of 30 mcg/kg/day) and a dose of salmeterol at approximately 350 times the MRHDID (on a mcg/m2 basis at a maternal oral dose of 1000 mcg/kg/day).
In an embryo/fetal development study with pregnant mice that received the combination of subcutaneous administration of fluticasone propionate and oral administration of salmeterol at doses of 0/1400, 40/0, 10/200, 40/1400, or 150/10,000 mcg/kg/day (as fluticasone propionate/salmeterol) during the period of organogenesis, findings were generally consistent with the individual monoproducts and there was no exacerbation of expected fetal effects. Cleft palate, fetal death, increased implantation loss, and delayed ossification were observed in mouse fetuses when combining fluticasone propionate at a dose approximately 1.4 times the MRHDID (on a mcg/m2 basis at a maternal subcutaneous dose of 150 mcg/kg/day) and salmeterol at a dose approximately 1470 times the MRHDID (on a mcg/m2 basis at a maternal oral dose of 10,000 mcg/kg/day). No developmental toxicity was observed at combination doses of fluticasone propionate up to approximately 0.8 times the MRHDID (on a mcg/m2 basis at a maternal subcutaneous dose of 40 mcg/kg) and doses of salmeterol up to approximately 420 times the MRHDID (on a mcg/m2 basis at a maternal oral dose of 1400 mcg/kg).
Fluticasone Propionate: In embryo/fetal development studies with pregnant rats and mice dosed by the subcutaneous route throughout the period of organogenesis, fluticasone propionate was teratogenic in both species. Omphalocele, decreased body weight, and skeletal variations were observed in rat fetuses, in the presence of maternal toxicity, at a dose approximately 2 times the MRHDID (on a mcg/m2 basis with a maternal subcutaneous dose of 100 mcg/kg/day). The rat NOAEL was observed at approximately 0.6 times the MRHDID (on a mcg/m2 basis with a maternal subcutaneous dose of 30 mcg/kg/day). Cleft palate and fetal skeletal variations were observed in mouse fetuses at a dose approximately 0.5 times the MRHDID (on a mcg/m2 basis with a maternal subcutaneous dose of 45 mcg/kg/day). The mouse NOAEL was observed with a dose approximately 0.16 times the MRHDID (on a mcg/m2 basis with a maternal subcutaneous dose of 15 mcg/kg/day).
In an embryo/fetal development study with pregnant rats dosed by the inhalation route throughout the period of organogenesis, fluticasone propionate produced decreased fetal body weights and skeletal variations, in the presence of maternal toxicity, at a dose approximately 0.5 times the MRHDID (on a mcg/m2 basis with a maternal inhalation dose of 25.7 mcg/kg/day); however, there was no evidence of teratogenicity. The NOAEL was observed with a dose approximately 0.1 times the MRHDID (on a mcg/m2 basis with a maternal inhalation dose of 5.5 mcg/kg/day).
In an embryo/fetal development study in pregnant rabbits that were dosed by the subcutaneous route throughout organogenesis, fluticasone propionate produced reductions of fetal body weights, in the presence of maternal toxicity at doses approximately 0.02 times the MRHDID and higher (on a mcg/m2 basis with a maternal subcutaneous dose of 0.57 mcg/kg/day). Teratogenicity was evident based upon a finding of cleft palate for 1 fetus at a dose approximately 0.2 times the MRHDID (on a mcg/m2 basis with a maternal subcutaneous dose of 4 mcg/kg/day). The NOAEL was observed in rabbit fetuses with a dose approximately 0.004 times the MRHDID (on a mcg/m2 basis with a maternal subcutaneous dose of 0.08 mcg/kg/day).
In a pre- and post-natal development study in pregnant rats dosed by the subcutaneous route from late gestation through delivery and lactation (Gestation Day 17 to Postpartum Day 22), fluticasone propionate was not associated with decreases in pup body weight, and had no effects on developmental landmarks, learning, memory, reflexes, or fertility at doses up to approximate equivalence to the MRHDID (on a mcg/m2 basis with maternal subcutaneous doses up to 50 mcg/kg/day).
Fluticasone propionate crossed the placenta following subcutaneous administration to mice and rats and oral administration to rabbits.
Salmeterol: In three embryo/fetal development studies, pregnant rabbits received oral administration of salmeterol at doses ranging from 100 to 10,000 mcg/kg/day during the period of organogenesis. In pregnant Dutch rabbits administered salmeterol doses approximately 700 times the MRHDID (on a mcg/m2 basis at maternal oral doses of 1000 mcg/kg/day and higher), fetal toxic effects were observed characteristically resulting from beta‑adrenoceptor stimulation. These included precocious eyelid openings, cleft palate, sternebral fusion, limb and paw flexures, and delayed ossification of the frontal cranial bones. No such effects occurred at a salmeterol dose approximately 420 times the MRHDID (on a mcg/m2 basis at a maternal oral dose of 600 mcg/kg/day). New Zealand White rabbits were less sensitive since only delayed ossification of the frontal cranial bones was seen at a salmeterol dose approximately 7,000 times the MRHDID (on a mcg/m2 basis at a maternal oral dose of 10,000 mcg/kg/day).
In two embryo/fetal development studies, pregnant rats received salmeterol by oral administration at doses ranging from 100 to 10,000 mcg/kg/day during the period of organogenesis. Salmeterol produced no maternal toxicity or embryo/fetal effects at doses up to 3500 times the MRHDID (on a mcg/m2 basis at maternal oral doses up to 10,000 mcg/kg/day).
In a peri- and post-natal development study in pregnant rats dosed by the oral route from late gestation through delivery and lactation, salmeterol at a dose 3500 times the MRHDID (on mcg/m2 basis with a maternal oral dose of 10,000 mcg/kg/day) was fetotoxic and decreased the fertility of survivors.
Salmeterol xinafoate crossed the placenta following oral administration to mice and rats.
8.2 Lactation
Risk Summary
There are no available data on the presence of fluticasone propionate or salmeterol in human milk, the effects on the breastfed child, or the effects on milk production. Other corticosteroids have been detected in human milk. However, fluticasone propionate and salmeterol concentrations in plasma after inhaled therapeutic doses are low and therefore concentrations in human breast milk are likely to be correspondingly low [see Clinical Pharmacology (12.3)]. The developmental and health benefits of breastfeeding should be considered along with the mother’s clinical need for AIRDUO RESPICLICK and any potential adverse effects on the breastfed child from AIRDUO RESPICLICK or from the underlying maternal condition.
Data
Animal Data
Subcutaneous administration of tritiated fluticasone propionate at a dose in lactating rats approximately 0.2 times the MRHDID for adults (on a mcg/m2 basis) resulted in measurable levels in milk. Oral administration of salmeterol at a dose in lactating rats approximately 2900 times the MRHDID for adults (on a mcg/m2 basis) resulted in measurable levels in milk.
8.4 Pediatric Use
The safety and effectiveness of AIRDUO RESPICLICK have been established for the treatment of asthma in pediatric patients aged 12 years and older whose asthma (1) is inadequately controlled on a long term asthma control medication or (2) warrants initiation of treatment with both an ICS and a LABA.
Use of AIRDUO RESPICLICK in pediatric patients aged 12 to 17 years for this indication is supported by evidence from two adequate and well-controlled trials in pediatric patients 12 years old and older with persistent symptomatic asthma despite ICS or ICS/LABA therapy (Trials 1 and 2) [see Clinical Studies (14)]. In these trials, 58 adolescents received AIRDUO RESPICLICK one inhalation twice daily.
The safety and effectiveness of AIRDUO RESPICLICK have not been established in pediatric patients younger than 12 years of age for the treatment of asthma. Effectiveness was not demonstrated in one adequate and well-controlled study conducted in 211 patients aged 4 to 11 years with persistent asthma on a stable asthma regimen who were treated with AIRDUO RESPICLICK 55 mcg/14 mcg one inhalation twice daily.
Effect on Growth
Inhaled corticosteroids, including fluticasone propionate, a component of AIRDUO RESPICLICK, may cause a reduction in growth velocity in adolescents [see Warning and Precautions (5.13)]. The growth of pediatric patients receiving ICS, including AIRDUO RESPICLICK, should be monitored.
If an adolescent on any corticosteroid appears to have growth suppression, the possibility that he/she is particularly sensitive to this effect of corticosteroids should be considered. In such patients, the potential growth effects of prolonged ICS treatment should be weighed against the clinical benefits obtained. To minimize the systemic effects of ICS, including AIRDUO RESPICLICK, each patient should be titrated to the lowest strength that effectively controls his/her asthma [see Dosage and Administration (2)].
8.5 Geriatric Use
No overall differences in safety or effectiveness were observed in data collected in 54 subjects aged 65 years and older versus younger subjects who were treated with AIRDUO RESPICLICK in placebo-controlled Phase 2 and 3 asthma studies.
8.6 Hepatic Impairment
Formal pharmacokinetic studies using AIRDUO RESPICLICK have not been conducted in patients with hepatic impairment. However, since both fluticasone propionate and salmeterol are predominantly cleared by hepatic metabolism [see Clinical Pharmacology (12.3)], impairment of liver function may lead to accumulation of fluticasone propionate and salmeterol in plasma. Therefore, patients with hepatic impairment should be closely monitored.
8.7 Renal Impairment
Formal pharmacokinetic studies using AIRDUO RESPICLICK have not been conducted in patients with renal impairment.
10 Overdosage
AIRDUO RESPICLICK contains both fluticasone propionate and salmeterol; therefore, the risks associated with overdosage for the individual components described below apply to AIRDUO RESPICLICK. Treatment of overdosage consists of discontinuation of AIRDUO RESPICLICK together with institution of appropriate symptomatic and/or supportive therapy. The judicious use of a cardioselective beta‑receptor blocker may be considered, bearing in mind that such medication can produce bronchospasm. Cardiac monitoring is recommended in cases of overdosage.
Fluticasone propionate
Chronic overdosage of fluticasone propionate may result in signs/symptoms of hypercorticism [see Warnings and Precautions (5.7)].
Salmeterol
The expected signs and symptoms with overdosage of salmeterol are those of excessive beta‑adrenergic stimulation and/or occurrence or exaggeration of any of the signs and symptoms of beta‑adrenergic stimulation (e.g., seizures, angina, hypertension or hypotension, tachycardia with rates up to 200 beats/min, arrhythmias, nervousness, headache, tremor, muscle cramps, dry mouth, palpitation, nausea, dizziness, fatigue, malaise, insomnia, hyperglycemia, hypokalemia, metabolic acidosis). Overdosage with salmeterol can lead to clinically significant prolongation of the QTc interval, which can produce ventricular arrhythmias.
As with all inhaled sympathomimetic medicines, cardiac arrest and even death may be associated with an overdose of salmeterol.
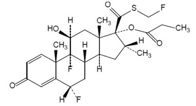
11 Description
AIRDUO RESPICLICK 55 mcg/14 mcg, AIRDUO RESPICLICK 113 mcg/14 mcg and AIRDUO RESPICLICK 232 mcg/14 mcg are combinations of fluticasone propionate and salmeterol.
Fluticasone Propionate
One active component of AIRDUO RESPICLICK is fluticasone propionate, a corticosteroid having the chemical name S-(fluoromethyl) 6α,9-difluoro-11ß,17-dihydroxy-16α-methyl-3-oxoandrosta-1,4-diene-17ß-carbothioate, 17-propionate, and the following chemical structure:
Fluticasone propionate is a white powder with a molecular weight of 500.6, and the empirical formula is C25H31F3O5S. It is practically insoluble in water, freely soluble in dimethyl sulfoxide and dimethylformamide, and slightly soluble in methanol and 95% ethanol.
Salmeterol Xinafoate
The other active component of AIRDUO RESPICLICK is salmeterol xinafoate, a beta2–adrenergic bronchodilator. Salmeterol xinafoate is the racemic form of the 1‑hydroxy‑2‑naphthoic acid salt of salmeterol. It has the chemical name 4-hydroxy-α -[[[6-(4-phenylbutoxy)hexyl]amino]methyl]-1,3-benzenedimethanol, 1-hydroxy-2-naphthalenecarboxylate and the following chemical structure:
Salmeterol xinafoate is a white powder with a molecular weight of 603.8, and the empirical formula is C25H37NO4•C11H8O3. It is freely soluble in methanol; slightly soluble in ethanol, chloroform, and isopropanol; and sparingly soluble in water.
AIRDUO RESPICLICK
AIRDUO RESPICLICK is a multidose dry powder inhaler (MDPI) for oral inhalation only. It contains fluticasone propionate, salmeterol xinafoate, and lactose monohydrate (which may contain milk proteins). The opening of the mouthpiece cover meters 5.5 mg of the formulation from the device reservoir, which contains 55 mcg, 113 mcg, or 232 mcg of fluticasone propionate, and 14 mcg of salmeterol base (equivalent to 20.3 mcg of salmeterol xinafoate). Patient inhalation through the mouthpiece causes the deagglomeration and aerosolization of the drug particles as the formulation moves through the cyclone component of the device. This is followed by dispersion into the airstream.
Under standardized in vitro test conditions, the AIRDUO RESPICLICK inhaler delivers 49 mcg, 100 mcg, or 202 mcg of fluticasone propionate and 12.75 mcg of salmeterol base (equivalent to 18.5 mcg of salmeterol xinafoate), with lactose from the mouthpiece when tested at a flow rate of 85 L/min for 1.4 seconds.
The amount of drug delivered to the lung will depend on patient factors such as inspiratory flow profiles. In adult subjects (N=50, aged 18 to 45 years) with asthma, mean peak inspiratory flow (PIF) through the AIRDUO RESPICLICK inhaler was 108.28 L/min (range: 70.37 to 129.24 L/min). In adolescent subjects (N=50, aged 12 to 17 years) with asthma, mean peak inspiratory flow (PIF) through the AIRDUO RESPICLICK inhaler was 106.72 L/min (range: 73.64 to 125.51 L/min).
12.1 Mechanism Of Action
AIRDUO RESPICLICK: AIRDUO RESPICLICK contains both fluticasone propionate and salmeterol. The mechanisms of action described below for the individual components apply to AIRDUO RESPICLICK. These drugs represent 2 different classes of medications (a synthetic corticosteroid and a LABA) that have different effects on clinical, physiologic, and inflammatory indices.
Fluticasone Propionate: Fluticasone propionate is a synthetic trifluorinated corticosteroid with anti-inflammatory activity. Fluticasone propionate has been shown in vitro to exhibit a binding affinity for the human glucocorticoid receptor that is 18 times that of dexamethasone, almost twice that of beclomethasone-17-monopropionate (BMP), the active metabolite of beclomethasone dipropionate, and over 3 times that of budesonide. Data from the McKenzie vasoconstrictor assay in humans are consistent with these results. The clinical significance of these findings is unknown.
Inflammation is an important component in the pathogenesis of asthma. Corticosteroids have been shown to have a wide range of actions on multiple cell types (e.g., mast cells, eosinophils, neutrophils, macrophages, and lymphocytes) and mediators (e.g., histamine, eicosanoids, leukotrienes, and cytokines) involved in inflammation. These anti-inflammatory actions of corticosteroids contribute to their efficacy in the treatment of asthma.
Salmeterol: Salmeterol is a selective LABA. In vitro studies show salmeterol to be at least 50 times more selective for beta2‑adrenoceptors than albuterol. Although beta2‑adrenoceptors are the predominant adrenergic receptors in bronchial smooth muscle and beta1‑adrenoceptors are the predominant receptors in the heart, there are also beta2‑adrenoceptors in the human heart comprising 10% to 50% of the total beta‑adrenoceptors. The precise function of these receptors has not been established, but their presence raises the possibility that even selective beta2‑agonists may have cardiac effects.
The pharmacologic effects of beta2‑adrenoceptor agonist drugs, including salmeterol, are at least in part attributable to stimulation of intracellular adenyl cyclase, the enzyme that catalyzes the conversion of adenosine triphosphate (ATP) to cyclic-3′,5′-adenosine monophosphate (cyclic AMP). Increased cyclic AMP levels cause relaxation of bronchial smooth muscle and inhibition of release of mediators of immediate hypersensitivity from cells, especially from mast cells.
In vitro tests show that salmeterol is a potent and long‑lasting inhibitor of the release of mast cell mediators, such as histamine, leukotrienes, and prostaglandin D2, from human lung. Salmeterol inhibits histamine‑induced plasma protein extravasation and inhibits platelet‑activating factor‑induced eosinophil accumulation in the lungs of guinea pigs when administered by the inhaled route. In humans, single doses of salmeterol administered via inhalation aerosol attenuate allergen‑induced bronchial hyperresponsiveness.
12.2 Pharmacodynamics
Hypothalamic Pituitary Adrenal Axis Effects (HPA)
There are no HPA data from controlled trials of the AIRDUO RESPICLICK in healthy subjects or subjects with asthma.
Cardiovascular Effects and Effects on Potassium and Glucose
AIRDUO RESPICLICK in Healthy Subjects
There were no clinical trials conducted with AIRDUO RESPICLICK that assessed cardiovascular (CV) effects in healthy subjects.
Other Fluticasone Propionate and Salmeterol Dry Powder Inhaler (DPI) Products in Healthy Subjects
Since systemic pharmacodynamic effects of salmeterol are not normally seen at the maximum approved salmeterol dosage, higher doses were used to produce measurable effects. Four trials were conducted with healthy adult subjects to assess CV effects:
Single‑dose crossover trial using 2 inhalations of fluticasone propionate and salmeterol DPI (500 mcg/50 mcg) (two times the maximum approved salmeterol dosage for that DPI per dosing interval), fluticasone propionate DPI 500 mcg and salmeterol DPI 50 mcg given concurrently, or fluticasone propionate DPI 500 mcg given alone,
Cumulative dose trial using 50 to 400 mcg of salmeterol DPI (1 time to 8 times the maximum approved salmeterol dosage per dosing interval for that DPI, respectively) given alone, or fluticasone propionate and salmeterol DPI (500 mcg/50 mcg),
Repeat‑dose trial for 11 days using 2 inhalations twice daily of fluticasone propionate and salmeterol DPI (250 mcg/50 mcg) (two times the maximum approved salmeterol dosage for that DPI per dosing interval), fluticasone propionate DPI 250 mcg, or salmeterol DPI 50 mcg, and
Single-dose trial using 5 inhalations of fluticasone propionate and salmeterol DPI (100 mcg/50 mcg) (five times the maximum approved salmeterol dosage for that DPI per dosing interval), fluticasone propionate DPI 100 mcg alone, or placebo.
In these trials, no significant differences were observed in the pharmacodynamic effects of salmeterol (pulse rate, blood pressure, QTc interval, potassium, and glucose) whether the salmeterol was given as fluticasone propionate and salmeterol DPI, concurrently with fluticasone propionate from separate inhalers, or as salmeterol alone. The systemic pharmacodynamic effects of salmeterol were not altered by the presence of fluticasone propionate in the fluticasone propionate and salmeterol DPI product.
Other Salmeterol Products in Subjects with Asthma:
Inhaled salmeterol, like other beta‑adrenergic agonist drugs, can produce dose‑related CV effects and effects on blood glucose and/or serum potassium [see Warnings and Precautions (5.11, 5.17)]. The CV effects (heart rate, blood pressure) associated with salmeterol inhalation aerosol occurred with similar frequency, and are of similar type and severity, as those noted following albuterol administration.The effects of rising inhaled doses of salmeterol and standard inhaled doses of albuterol were studied in volunteers and in subjects with asthma. Salmeterol doses up to 84 mcg administered as inhalation aerosol resulted in heart rate increases of 3 to 16 beats/minute, about the same as albuterol dosed at 180 mcg by inhalation aerosol (4 to 10 beats/minute). Adult and adolescent subjects receiving 50 mcg doses of salmeterol MDPI (N=60) underwent continuous electrocardiographic monitoring during two 12‑hour periods after the first dose and after 1 month of therapy, and no clinically significant dysrhythmias were noted.
Concomitant Use of AIRDUO RESPICLICK With Other Respiratory Medications:
Short-Acting Beta2‑Agonists: In clinical trials in subjects with asthma, the mean daily need for albuterol by 166 adult and adolescent subjects aged 12 years and older using another fluticasone propionate/salmeterol DPI product was approximately 1.3 inhalations/day and ranged from 0 to 9 inhalations/day (0 to about 4.5 times the maximum approved salmeterol dosage for that DPI per dosing interval). Five percent (5%) of subjects using another fluticasone propionate/salmeterol DPI product in these trials averaged 6 or more inhalations per day (3 times the maximum approved salmeterol dosage for that DPI per dosing interval) over the course of the 12-week trials. No increase in frequency of CV adverse events was observed among subjects who averaged 6 or more inhalations per day.
Methylxanthines: In clinical trials in subjects with asthma, 39 subjects receiving another fluticasone propionate/salmeterol MDPI product, fluticasone propionate 100 mcg and salmeterol 50 mcg, fluticasone propionate 250 mcg and salmeterol 50 mcg, or fluticasone propionate 500 mcg and salmeterol 50 mcg twice daily concurrently with a theophylline product had adverse event rates similar to those in 304 subjects receiving another fluticasone propionate/salmeterol product without theophylline. Similar results were observed in subjects receiving salmeterol 50 mcg plus fluticasone propionate 500 mcg twice daily concurrently with a theophylline product (n = 39) or without theophylline (n = 132).
12.3 Pharmacokinetics
Absorption
Fluticasone Propionate:
AIRDUO RESPICLICK acts locally in the lung; therefore, plasma levels may not predict therapeutic effect. Trials using oral dosing of labeled and unlabeled drug have demonstrated that the oral systemic bioavailability of fluticasone propionate was negligible (<1%), primarily due to incomplete absorption and presystemic metabolism in the gut and liver. In contrast, the majority of the fluticasone propionate delivered to the lung was systemically absorbed.
After administration of 232 mcg/14 mcg AIRDUO RESPICLICK to patients aged 12 years and older with persistent asthma in a clinical trial, the mean Cmax value of fluticasone propionate was 66 pg/mL with a median tmax value of approximately 2 hours.
Salmeterol:
After administration of 232 mcg/14 mcg AIRDUO RESPICLICK to patients aged 12 years and older with persistent asthma, the mean Cmax values of salmeterol was 60 pg/mL. The median tmax was 5 minutes.
Distribution
Fluticasone Propionate:
Following intravenous administration, the initial disposition phase for fluticasone propionate was rapid and consistent with its high lipid solubility and tissue binding. The volume of distribution averaged 4.2 L/kg.
The percentage of fluticasone propionate bound to human plasma proteins averages 99%. Fluticasone propionate is weakly and reversibly bound to erythrocytes and is not significantly bound to human transcortin.
Salmeterol:
Volume of distribution data are not available for salmeterol.
The percentage of salmeterol bound to human plasma proteins averages 96% in vitro over the concentration range of 8 to 7,722 ng of salmeterol base per milliliter, much higher concentrations than those achieved following therapeutic doses of salmeterol.
Elimination
Fluticasone Propionate:
Following intravenous dosing, fluticasone propionate showed polyexponential kinetics and had a terminal elimination half-life of approximately 7.8 hours. Terminal half-life estimates of fluticasone propionate following oral inhalation administration of AIRDUO RESPICLICK were approximately 10.8 hours.
Metabolism
The total clearance of fluticasone propionate is high (average, 1,093 mL/minute), with renal clearance accounting for less than 0.02% of the total. The only circulating metabolite detected in humans is the 17β carboxylic acid derivative of fluticasone propionate, which is formed through the CYP3A4 pathway. This metabolite has less affinity (approximately 1/2,000) than the parent drug for the glucocorticoid receptor of human lung cytosol in vitro and negligible pharmacological activity in animal studies. Other metabolites detected in vitro using cultured human hepatoma cells have not been detected in humans.
Excretion
Less than 5% of a radiolabeled oral dose was excreted in the urine as metabolites, with the remainder excreted in the feces as parent drug and metabolites.
Salmeterol:
Terminal half-life estimates for salmeterol for AIRDUO RESPICLICK were approximately 12.6 hours.
The xinafoate moiety has no apparent pharmacologic activity. The xinafoate moiety is highly protein bound (greater than 99%) and has a long elimination half-life of 11 days.
Metabolism
Salmeterol base is extensively metabolized by hydroxylation.
An in vitro study using human liver microsomes showed that salmeterol is extensively metabolized to α hydroxysalmeterol (aliphatic oxidation) by CYP3A4. Ketoconazole, a strong inhibitor of CYP3A4, essentially completely inhibited the formation of α hydroxysalmeterol in vitro.
Excretion
In 2 healthy adult subjects who received 1 mg of radiolabeled salmeterol (as salmeterol xinafoate) orally, approximately 25% and 60% of the radiolabeled salmeterol was eliminated in urine and feces, respectively, over a period of 7 days.
Specific Populations
A population pharmacokinetic analysis was performed for fluticasone propionate and salmeterol utilizing data from 9 controlled clinical trials that included 350 subjects with asthma aged 4 to 77 years who received treatment with another fluticasone propionate and salmeterol MDPI product, the combination of HFA‑propelled fluticasone propionate and salmeterol inhalation aerosol, fluticasone propionate MDPI, HFA‑propelled fluticasone propionate inhalation aerosol, or CFC‑propelled fluticasone propionate inhalation aerosol. The population pharmacokinetic analyses for fluticasone propionate and salmeterol showed no clinically relevant effects of age, gender, race, body weight, body mass index, or percent of predicted FEV1 on apparent clearance and apparent volume of distribution. AIRDUO RESPICLICK is not approved in pediatric patients younger than 12 years.
Age: No pharmacokinetic studies have been performed with AIRDUO RESPICLICK in geriatric patients.
Adolescents Aged 12 to 17 Years: A subgroup analysis was conducted to compare patients aged 12 to 17 (n=15) and ≥18 (n=23) years following administration of 232 mcg/14 mcg AIRDUO RESPICLICK. No overall differences in fluticasone propionate and salmeterol pharmacokinetics were observed.
Male and Female Patients: A subgroup analysis was conducted to compare male (n=21) and female (n=16) adolescent and adult patients following administration of 232 mcg/14 mcg AIRDUO RESPICLICK. No overall differences in fluticasone propionate and salmeterol pharmacokinetics were observed.
Patients with Renal Impairment: The effect of renal impairment of the pharmacokinetics of AIRDUO RESPICLICK has not been evaluated.
Patients with Hepatic Impairment: Formal pharmacokinetic studies using AIRDUO RESPICLICK have not been conducted in patients with hepatic impairment. However, since both fluticasone propionate and salmeterol are predominantly cleared by hepatic metabolism, impairment of liver function may lead to accumulation of fluticasone propionate and salmeterol in plasma [see Use in Specific Populations (8.6)].
Drug Interaction Studies
In a single-dose trial, the presence of salmeterol did not alter fluticasone propionate exposure.
No studies have been performed with AIRDUO RESPICLICK to investigate the effect of fluticasone propionate on salmeterol pharmacokinetics when given in combination.
Drug Interaction Studies with Another Fluticasone Propionate/Salmeterol MDPI Product:
The population pharmacokinetic analysis from 9 controlled clinical trials in 350 subjects with asthma showed no significant effects on fluticasone propionate or salmeterol pharmacokinetics following co-administration with beta2-agonists, corticosteroids, antihistamines, or theophyllines.
Strong CYP3A4 Inhibitors: Fluticasone propionate is a substrate of CYP3A4. Coadministration of fluticasone propionate and ritonavir, a strong CYP3A4 inhibitor, is not recommended based upon a multiple-dose, crossover drug interaction trial in 18 healthy subjects [see Drug Interactions (7.1)]. Plasma fluticasone propionate concentrations following fluticasone propionate aqueous nasal spray alone were undetectable (<10 pg/mL) in most subjects, and when concentrations were detectable, peak levels (Cmax) averaged 11.9 pg/mL (range: 10.8 to 14.1 pg/mL) and AUC0-τ averaged 8.43 pg•h/mL (range: 4.2 to 18.8 pg•h/mL). However, the fluticasone propionate Cmax and AUC0-τ increased to 318 pg/mL (range: 110 to 648 pg/mL) and 3,102.6 pg•h/mL (range: 1,207.1 to 5,662.0 pg•h/mL), respectively, after 7 days of coadministration of ritonavir (100 mg twice daily) with fluticasone propionate aqueous nasal spray (200 mcg once daily). This significant increase in plasma fluticasone propionate exposure resulted in a significant decrease (86%) in serum cortisol AUC.
Ketoconazole: In a placebo-controlled crossover trial in 8 healthy adult volunteers, coadministration of a single dose of orally inhaled fluticasone propionate (1,000 mcg) with multiple doses of ketoconazole (200 mg) to steady state resulted in increased plasma fluticasone propionate exposure, a reduction in plasma cortisol AUC, and no effect on urinary excretion of cortisol.
In a placebo-controlled, crossover drug interaction trial in 20 healthy male and female subjects, coadministration of salmeterol (50 mcg twice daily) and ketoconazole, a strong CYP3A4 inhibitor, (400 mg once daily) for 7 days resulted in a significant increase in plasma salmeterol exposure as determined by a 16-fold increase in AUC (ratio with and without ketoconazole 15.76 [90% CI: 10.66, 23.31]) mainly due to increased bioavailability of the swallowed portion of the dose. Peak plasma salmeterol concentrations were increased by 1.4-fold (90% CI: 1.23, 1.68). Three (3) out of 20 subjects (15%) were withdrawn from salmeterol and ketoconazole coadministration due to beta-agonist–mediated systemic effects (2 with QTc prolongation and 1 with palpitations and sinus tachycardia). Coadministration of salmeterol and ketoconazole did not result in a clinically significant effect on mean heart rate, mean blood potassium, or mean blood glucose. Although there was no statistical effect on the mean QTc, coadministration of salmeterol and ketoconazole was associated with more frequent increases in QTc duration compared with salmeterol administration alone and placebo administration.
Erythromycin: In a multiple-dose drug interaction trial, coadministration of orally inhaled fluticasone propionate (500 mcg twice daily) and erythromycin (333 mg 3 times daily) did not affect fluticasone propionate pharmacokinetics.
In a repeat-dose trial in 13 healthy subjects, concomitant administration of erythromycin (a moderate CYP3A4 inhibitor) and salmeterol inhalation aerosol resulted in a 40% increase in salmeterol Cmax at steady state (ratio with and without erythromycin 1.4 [90% CI: 0.96, 2.03], P = 0.12), a 3.6-beat/min increase in heart rate ([95% CI: 0.19, 7.03], P<0.04), a 5.8-msec increase in QTc interval ([95% CI: -6.14, 17.77], P = 0.34), and no change in plasma potassium.
13.1 Carcinogenesis, Mutagenesis, Impairment Of Fertility
Fluticasone propionate:
Fluticasone propionate demonstrated no tumorigenic potential in mice at oral doses up to 1000 mcg/kg (approximately 10 times the MRHDID for adults on a mcg/m2 basis) for 78 weeks or in rats at inhalation doses up to 57 mcg/kg (approximately equivalent to the MRHDID for adults on a mcg/m2 basis) for 104 weeks.
Fluticasone propionate did not induce gene mutation in prokaryotic or eukaryotic cells in vitro. No significant clastogenic effect was seen in cultured human peripheral lymphocytes in vitro or in the in vivo mouse micronucleus test.
Fertility and reproductive performance were unaffected in male and female rats at subcutaneous doses up to 50 mcg/kg (approximately equivalent to the MRHDID for adults on a mcg/m2 basis).
Salmeterol:
In an 18‑month carcinogenicity study in CD‑mice, salmeterol at oral doses of 1400 mcg/kg and above (approximately 240 times the MRHDID on a mcg/m2 basis) caused a dose‑related increase in the incidence of smooth muscle hyperplasia, cystic glandular hyperplasia, leiomyomas of the uterus, and ovarian cysts. No tumors were seen at 200 mcg/kg (approximately 35 times the MRHDID on a mcg/m2 basis).
In a 24 month oral and inhalation carcinogenicity study in Sprague Dawley rats, salmeterol caused a dose related increase in the incidence of mesovarian leiomyomas and ovarian cysts at doses of 680 mcg/kg and above (approximately 240 times the MRHDID on a mcg/m2 basis). No tumors were seen at 210 mcg/kg (approximately 75 times the MRHDID on a mcg/m2 basis). These findings in rodents are similar to those reported previously for other beta adrenergic agonist drugs. The relevance of these findings to human use is unknown.
Salmeterol produced no detectable or reproducible increases in microbial and mammalian gene mutation in vitro. No clastogenic activity occurred in vitro in human lymphocytes or in vivo in a rat micronucleus test.
Fertility and reproductive performance were unaffected in male and female rats at oral doses up to 2000 mcg/kg (approximately 690 times the MRHDID for adults on a mcg/m2 basis).
13.2 Animal Toxicology And/Or Pharmacology
Studies in laboratory animals (minipigs, rodents, and dogs) have demonstrated the occurrence of cardiac arrhythmias and sudden death (with histologic evidence of myocardial necrosis) when beta‑agonists and methylxanthines are administered concurrently. The clinical relevance of these findings is unknown.
14 Clinical Studies
The safety and efficacy of AIRDUO RESPICLICK were evaluated in 3004 patients with asthma. The development program included 2 confirmatory trials of 12 weeks duration, a 26 week safety trial and three dose-ranging trials. The efficacy of AIRDUO RESPICLICK is based primarily on the dose-ranging trials and the confirmatory trials described below.
14.1 Dose-Ranging Studies In Patients With Asthma
Six doses of fluticasone propionate ranging from 16 mcg to 434 mcg (expressed as metered doses) administered twice daily via MDPI were evaluated in 2 randomized, double-blind, placebo-controlled 12 week trials in patients with asthma.
Trial 201 was conducted in patients whose asthma was uncontrolled at baseline and had been treated by short-acting beta2-agonist alone or in combination with non-corticosteroid asthma medication. Low dose inhaled corticosteroids (ICS)-treated patients may have been included after a minimum of 2 weeks washout. This trial contained an open-label active comparator fluticasone propionate inhalation powder 100 mcg administered twice daily.
Trial 202 was conducted in patients whose asthma was uncontrolled at baseline and had been treated with high dose ICS with or without a LABA. This study contained an open-label active comparator fluticasone propionate inhalation powder 250 mcg twice daily.
The trials were dose-ranging trials of fluticasone propionate MDPI not designed to provide comparative effectiveness data and should not be interpreted as evidence of superiority/inferiority to fluticasone propionate inhalation powder. The metered doses for fluticasone MDPI (16, 28, 59, 118, 225, 434 mcg) used in Trial 201 and Trial 202 (see Figure 1) are slightly different from the metered doses for the comparator products (fluticasone inhalation powder) and the Phase 3 investigational products which are the basis of the proposed commercial labeled claim (55, 113, 232 mcg for fluticasone). The changes in doses between Phase 2 and 3 resulted from optimization of the manufacturing process.
Figure 1: Baseline Adjusted Least Square Mean Change in Trough Morning FEV1 (L) over 12 weeks (FAS)a
FAS = full analysis set; aTrials were not designed to provide comparative effectiveness data and should not be interpreted as superiority/inferiority to fluticasone propionate inhalation powder
The efficacy and safety of four doses of salmeterol xinafoate were evaluated in a double blind, 6-period crossover study compared with single dose fluticasone propionate MDPI and open label fluticasone propionate/salmeterol 100 mcg/50 mcg dry powder inhaler (DPI) as comparator in patients with persistent asthma. The trials were dose-ranging trials of the salmeterol component of AIRDUO RESPICLICK and not designed to provide comparative effectiveness data and should not be interpreted as evidence of superiority/inferiority to fluticasone propionate/salmeterol inhalation powder. The salmeterol doses studied were 6.8 mcg, 13.2 mcg, 26.8 mcg and 57.4 mcg in combination with fluticasone propionate 118 mcg delivered by MDPI (expressed as metered dose). The metered doses for salmeterol (6.8, 13.2, 26.8, 57.4 mcg) used in this study are slightly different from the metered doses for the comparator products (fluticasone/salmeterol inhalation powder) and the Phase 3 investigational products which are the basis of the proposed commercial labeled claim (55, 113, 232 mcg for fluticasone and 14 mcg for salmeterol). The phase 3 and commercial products were optimized to better match the strengths to the comparators. Plasma for pharmacokinetic characterization was obtained at each dosing period. Fluticasone propionate/salmeterol xinafoate MDPI 118 mcg/13.2 mcg had similar clinical efficacy with lower systemic exposure when compared to the 50 mcg of salmeterol in fluticasone propionate/salmeterol 100 mcg/50 mcg dry powder inhaler (Figure 2).
Figure 2: Mean Baseline Adjusted FEV1 (mL) over 12 Hours (FAS)a
FS MDPI = fluticasone propionate/salmeterol multidose dry powder inhaler; Fp MDPI = fluticasone propionate multidose dry powder inhaler; FS DPI = fluticasone propionate/salmeterol dry powder inhaler; FAS = full analysis set; FEV1 = forced expiratory volume in 1 second; aTrial was not designed to provide comparative effectiveness data and should not be interpreted as superiority/inferiority to fluticasone propionate/salmeterol inhalation powder.
14.2 Trials In The Treatment Of Asthma
Adult and Adolescent Patients Aged 12 Years and Older:
Two 12-week randomized, double-blind, placebo-controlled, parallel-group, global clinical trials (Trials 1 and 2) were conducted in 1375 adult and adolescent patients (aged 12 years and older, with baseline FEV1 40% to 85% of predicted normal) with asthma that was not optimally controlled on their current therapy. Patients were randomized to receive 1 inhalation twice a day of AIRDUO RESPICLICK, fluticasone propionate MDPI alone, or placebo. Maintenance asthma therapies were discontinued at randomization.
Trial 1: In this trial, adolescents and adult patients with persistent symptomatic asthma despite low-dose or mid-dose inhaled corticosteroid (ICS) or ICS/LABA therapy were included. After completing a run-in period where patients were treated with beclomethasone dipropionate inhalation aerosol 40 mcg twice daily and a single blind placebo MDPI, the patients who met the randomization criteria were randomized to 1 inhalation twice a day of the following treatments:
Placebo MDPI (n=130)
Fluticasone propionate MDPI 55 mcg (n=129)
Fluticasone propionate MDPI 113 mcg (n=130)
AIRDUO RESPICLICK 55 mcg/14 mcg (n=129), or
AIRDUO RESPICLICK 113 mcg/14 mcg (n=129)
Baseline FEV1 measurements were similar across treatments: fluticasone propionate MDPI 55 mcg 2.132 L, fluticasone propionate MDPI 113 mcg 2.166 L, AIRDUO RESPICLICK 55 mcg/14 mcg 2.302 L, AIRDUO RESPICLICK 113 mcg/14 mcg 2.162 L, and placebo 2.188 L.
The primary endpoints for this trial were the change from baseline in trough FEV1 at week 12 for all patients and standardized baseline-adjusted FEV1 AUEC0-12h at week 12 analyzed for a subset of 312 patients who performed postdose serial spirometry.
Patients in both AIRDUO RESPICLICK treatment groups had significantly greater improvements in trough FEV1 compared with both fluticasone propionate MDPI treatment groups and the placebo group:
AIRDUO RESPICLICK 113 mcg/14 mcg: LS mean change of 0.315 L at 12 weeks
AIRDUO RESPICLICK 55 mcg/14 mcg: LS mean change of 0.319 L at 12 weeks
Fluticasone propionate MDPI 113 mcg: LS mean change of 0.204 L at 12 weeks
Fluticasone propionate MDPI 55 mcg: LS mean change of 0.172 L at 12 weeks
Placebo: LS mean change of 0.053 L at 12 weeks
The estimated mean differences between:
AIRDUO RESPICLICK 55 mcg/14 mcg and AIRDUO RESPICLICK 113 mcg/14 mcg compared to placebo were 0.266 L (95% CI: 0.172, 0.360) and 0.262 L (95% CI: 0.168, 0.356), respectively.
Fluticasone propionate MDPI 55 mcg and fluticasone propionate MDPI 113 mcg compared to placebo were 0.119 L (95% CI: 0.025, 0.212) and 0.151 L (95% CI: 0.057, 0.244), respectively.
AIRDUO RESPICLICK 113 mcg/14 mcg and fluticasone propionate MDPI 113 mcg was 0.111 L (95% CI: 0.017, 0.206).
AIRDUO RESPICLICK 55 mcg/14 mcg and fluticasone propionate MDPI 55 mcg was 0.147 L (95% CI: 0.053, 0.242).
In addition, the mean FEV1 results at each visit are displayed in Figure 3.
Placebo MDPI (n=145)
Fluticasone propionate MDPI 113 mcg (n=146)
Fluticasone propionate MDPI 232 mcg (n=146)
AIRDUO RESPICLICK 113 mcg/14 mcg (n=145)
AIRDUO RESPICLICK 232 mcg/14 mcg (n=146)
Baseline FEV1 measurements were similar across treatments: fluticasone propionate MDPI 113 mcg 2.069 L, fluticasone propionate MDPI 232 mcg 2.075 L, AIRDUO RESPICLICK 113 mcg/14 mcg 2.157 L, AIRDUO RESPICLICK 232 mcg/14 mcg 2.083 L and placebo 2.141 L.
The primary endpoints for this trial were the change from baseline in trough FEV1 at week 12 for all patients and standardized baseline-adjusted FEV1 AUEC0-12h at week 12 analyzed for a subset of 312 patients who performed postdose serial spirometry.
Efficacy results in this trial were similar to those observed in Trial 1. Patients in both AIRDUO RESPICLICK groups had significantly greater improvements in trough FEV1 compared with the fluticasone propionate MDPI groups and the placebo group:
AIRDUO RESPICLICK 113 mcg/14 mcg: LS mean change of 0.271 L at 12 weeks
AIRDUO RESPICLICK 232 mcg/14 mcg: LS mean change of 0.272 L at 12 weeks
Fluticasone propionate MDPI 113 mcg: LS mean change of 0.119 L at 12 weeks
Fluticasone propionate MDPI 232 mcg: LS mean change of 0.179 L at 12 weeks, and
Placebo: LS mean change of -0.004 L at 12 weeks.
Estimated mean differences between:
AIRDUO RESPICLICK 113 mcg/14 mcg and AIRDUO RESPICLICK 232 mcg/14 mcg compared to placebo were 0.274 L (95% CI: 0.189, 0.360) and 0.276 L (95% CI: 0.191, 0.361), respectively.
Fluticasone propionate MDPI 113 mcg and fluticasone propionate MDPI 232 mcg compared to placebo were 0.123 L (95% CI: 0.038, 0.208) and 0.183 L (95% CI: 0.098, 0.268), respectively.
AIRDUO RESPICLICK 232 mcg/14 mcg and fluticasone propionate MDPI 232 mcg was 0.093 L (95% CI: 0.009, 0.178).
AIRDUO RESPICLICK 113 mcg/14 mcg and fluticasone propionate MDPI 113 mcg was 0.152 L (95% CI: 0.066, 0.237).
In addition, the mean FEV1 results at each visit are displayed in Figure 6.
Figure 3: Mean Change from Baseline in Trough FEV1 at Each Visit by Treatment Group Trial 1 (FAS)
FAS = full analysis set; FEV1 = forced expiratory volume in 1 second; Placebo = placebo MDPI
Supportive evidence of efficacy for AIRDUO RESPICLICK compared with placebo was derived from secondary endpoints such as the weekly average of daily trough morning peak expiratory flow and total daily use of rescue medication. The Asthma Quality of Life Questionnaire (AQLQ) for patients age ≥ 18 years or the pediatric AQLQ (PAQLQ) for patients aged 12-17 were assessed in Trial 1. The responder rate for both measures was defined as an improvement in score of 0.5 or more as threshold. In Trial 1, the responder rate for patients receiving AIRDUO RESPICLICK 55 mcg/14 mcg and AIRDUO RESPICLICK 113 mcg/14 mcg was 51% and 57% , respectively, compared to 40% for patients receiving placebo, with an odds ratio of 1.53 (95% CI: 0.93, 2.55) and 2.04 (95% CI: 1.23, 3.41), respectively.
Improvements in lung function occurred within 15 minutes of the first dose (15 minutes postdose). Compared to placebo the difference in LS mean change from baseline in FEV1 for AIRDUO RESPICLICK 55 mcg/14 mcg and 113 mcg/14 mcg was 0.216 and 0.164 L, respectively (unadjusted p-value <0.0001 for both dosages compared with placebo). Refer to Figure 4 below. Maximum improvement in FEV1 generally occurred within 3 hours for AIRDUO RESPICLICK 55 mcg/14 mcg and within 6 hours for AIRDUO RESPICLICK 113 mcg/14 mcg and improvements were sustained over the 12 hours of testing at weeks 1 and 12 (Figure 4 and Figure 5). Following the initial dose, predose FEV1 relative to day 1 baseline improved markedly over the first week of treatment and the improvement was sustained over the 12 weeks of treatment in the trial. No diminution in the 12 hour bronchodilator effect was observed with either AIRDUO RESPICLICK dose as assessed by FEV1 following 12 weeks of therapy.
Figure 4: Serial Spirometry: Mean Change from Baseline in FEV1 (L) at Day 1 by Time Point and Treatment Group Trial 1 (FAS; Serial Spirometry Subset)
FAS = full analysis set; FEV1 = forced expiratory volume in 1 second; Placebo = placebo MDPI
Figure 5: Serial Spirometry: Mean Change from Baseline in FEV1 (L) at Week 12 by Time Point and Treatment Group Trial 1 (FAS; Serial Spirometry Subset)
FAS = full analysis set; FEV1 = forced expiratory volume in 1 second; Placebo = placebo MDPI
Trial 2: In this trial, adolescents and adult patients with persistent symptomatic asthma despite inhaled corticosteroid (ICS) or ICS/LABA therapy were included. After completing a run-in period where patients were treated with single-blind fluticasone propionate MDPI 55 mcg twice daily replacing their current asthma therapy, patients who met the randomization criteria were randomized to 1 inhalation twice a day of the following treatments:
Figure 6: Mean Change from Baseline in Trough FEV1 at Each Visit by Treatment Group Trial 2 (FAS)
FAS = full analysis set; FEV1 = forced expiratory volume in 1 second; Placebo = placebo MDPI
Supportive evidence of efficacy for AIRDUO RESPICLICK compared with placebo was derived from secondary endpoints such as the weekly average of daily trough morning peak expiratory flow and total daily use of rescue medication. There were fewer withdrawals due to worsening asthma in patients treated with AIRDUO RESPICLICK than with placebo. The AQLQ for patients age ≥ 18 years or the PAQLQ for patients aged 12-17 were assessed in Trial 2. The responder rate for both measures was defined as an improvement in score of 0.5 or more as threshold. In Trial 2, the responder rate for patients receiving AIRDUO RESPICLICK 113 mcg/14 mcg and AIRDUO RESPICLICK 232 mcg/14 mcg was 48% and 41%, respectively, compared to 27% for patients receiving placebo, with an odds ratio of 2.59 (95% CI: 1.56, 4.31) and 1.94 (95% CI: 1.16, 3.23), respectively.
Improvements in lung function occurred within 15 minutes of the first dose (15 minutes postdose). Compared with placebo, for AIRDUO RESPICLICK 113 mcg/14 mcg and 232 mcg/14 mcg the difference in LS mean change from baseline in FEV1 was 0.160 L and 0.187 L, respectively (unadjusted p-value <0.0001 for both doses compared with placebo). Maximum improvement in FEV1 generally occurred within 3 hours for both AIRDUO RESPICLICK dose groups, and improvements were sustained over the 12 hours of testing at weeks 1 and 12 (Figure 7 and Figure 8). Following the initial dose, predose FEV1 relative to day 1 baseline improved markedly over the first week of treatment and the improvement was sustained over the 12 weeks of treatment in the trial. No diminution in the 12 hour bronchodilator effect was observed with either AIRDUO RESPICLICK dose as assessed by FEV1 following 12 weeks of therapy.
Figure 7: Serial Spirometry: Mean Change from Baseline in FEV1 (L) at Day 1 by Time Point and Treatment Group Trial 2 (FAS; Serial Spirometry Subset)
FAS = full analysis set; FEV1 = forced expiratory volume in 1 second; Placebo = placebo MDPI
Figure 8: Serial Spirometry: Mean Change from Baseline in FEV1 (L) at Week 12 by Time Point and Treatment Group Trial 2 (FAS; Serial Spirometry Subset)
FAS = full analysis set; FEV1 = forced expiratory volume in 1 second; Placebo = placebo MDPI
16 How Supplied/Storage And Handling
How Supplied
AIRDUO RESPICLICK inhalation powder:
- a multidose, dry-powder inhaler (MDPI)
- each inhaler is white, has a yellow cap and is packaged individually in a foil pouch with a dessicant, each pouch is packed in a carton
- each inhaler contains 0.45 grams of the formulation and provides 60 actuations
- available in 3 strengths
STRENGTH | NDC CODE |
AIRDUO RESPICLICK 55 mcg/14 mcg (low) | NDC 59310-805-06 |
AIRDUO RESPICLICK 113 mcg/14 mcg (medium) | NDC 59310-812-06 |
AIRDUO RESPICLICK 232 mcg/14 mcg (high) | NDC 59310-822-06 |
Each AIRDUO RESPICLICK inhaler has a dose counter attached to the actuator. Patients should never try to alter the numbers for the dose counter. Discard the inhaler when the counter displays 0, 30 days after opening the foil pouch or after the expiration date on the product, whichever comes first. The labeled amount of medication in each actuation cannot be assured after the counter displays 0, even though the inhaler is not completely empty and will continue to operate [see Patient Counseling Information (17)].
Storage and Handling
Store at room temperature (between 15°C and 25°C; 59°F and 77°F) in a dry place; excursions permitted from 59° F to 86° F (15°C to 30°C). Avoid exposure to extreme heat, cold, or humidity.
Store AIRDUO RESPICLICK inside the unopened moisture‑protective foil pouch until initial use. Discard AIRDUO RESPICLICK 30 days after opening the foil pouch or when the counter reads 0, whichever comes first. The inhaler is not reusable. Do not attempt to take the inhaler apart.
17 Patient Counseling Information
Advise the patient to read the FDA-approved patient labeling (Patient Information and Instructions for Use).
Patients should be given the following information:
Serious Asthma Events
Inform patients with asthma that LABA when used alone increases the risk of asthma-related hospitalization and asthma-related death. Available data show that when ICS and LABA are used together, such as with AIRDUO RESPICLICK, there is not a significant increase in the risk of these events [see Warnings and Precautions (5.1)].
Not for Acute Symptoms
Inform patients that AIRDUO RESPICLICK is not meant to relieve acute asthma symptoms and extra doses should not be used for that purpose. Advise patients to treat acute asthma symptoms with an inhaled, short‑acting beta2‑agonist such as albuterol. Provide patients with such medication and instruct them in how it should be used. [see Warmings and Precautions (5.2)].
Instruct patients to seek medical attention if they experience any of the following:
- Decreasing effectiveness of inhaled, short‑acting beta2‑agonists
- Need for more inhalations than usual of inhaled, short‑acting beta2‑agonists
- Significant decrease in lung function as outlined by the physician
Tell patients they should not stop therapy with AIRDUO RESPICLICK without physician/provider guidance since symptoms may recur after discontinuation.
Avoid Use Additional Long-Acting Beta2‑Agonists
Instruct patients not to use other LABA for asthma [see Warnings and Precautions (5.3)].
Oropharyngeal Candidiasis
Inform patients that localized infections with Candida albicans occurred in the mouth and pharynx in some patients. If oropharyngeal candidiasis develops, treat it with appropriate local or systemic (i.e., oral) antifungal therapy while still continuing therapy with AIRDUO RESPICLICK, but at times therapy with AIRDUO RESPICLICK may need to be temporarily interrupted under close medical supervision. Rinsing the mouth with water without swallowing after inhalation is advised to help reduce the risk of thrush [see Warnings and Precautions (5.4)].
Immunosuppression and Infections
Warn patients who are on immunosuppressant doses of corticosteroids to avoid exposure to chickenpox or measles and, if exposed, to consult their physicians without delay. Inform patients of potential worsening of existing tuberculosis, fungal, bacterial, viral, or parasitic infections; or ocular herpes simplex [see Warnings and Precautions (5.5)].
Hypercorticism and Adrenal Suppression
Advise patients that AIRDUO RESPICLICK may cause systemic corticosteroid effects of hypercorticism and adrenal suppression. Additionally, inform patients that deaths due to adrenal insufficiency have occurred during and after transfer from systemic corticosteroids. Patients should taper slowly from systemic corticosteroids if transferring to AIRDUO RESPICLICK [see Warnings and Precautions (5.7)].
Immediate Hypersensitivity Reactions
Advise patients that immediate hypersensitivity reactions (e.g., urticaria, angioedema, rash, bronchospasm, hypotension), including anaphylaxis, may occur after administration of AIRDUO RESPICLICK. Patients should discontinue AIRDUO RESPICLICK if such reactions occur and contact their healthcare provider or get emergency medical help. There have been reports of anaphylactic reactions in patients with severe milk protein allergy after inhalation of powder products containing lactose; therefore, patients with severe milk protein allergy should not take AIRDUO RESPICLICK [see Warnings and Precautions (5.10)].
Reduction in Bone Mineral Density
Advise patients who are at an increased risk for decreased BMD that the use of corticosteroids may pose an additional risk [see Warnings and Precautions (5.12)].
Reduced Growth Velocity
Inform patients that orally inhaled corticosteroids, including fluticasone propionate, may cause a reduction in growth velocity when administered to adolescent patients. Physicians should closely follow the growth of adolescents taking corticosteroids by any route [see Warnings and Precautions (5.13)].
Ocular Effects
Long-term use of inhaled corticosteroids may increase the risk of some eye problems (cataracts or glaucoma); consider regular eye examinations [see Warnings and Precautions (5.14)].
Risks Associated with Beta‑Agonist Therapy
Inform patients of adverse effects associated with beta2‑agonists, such as palpitations, chest pain, rapid heart rate, tremor, or nervousness [see Warnings and Precautions (5.11)].
Pregnancy
Inform patients who are pregnant or nursing that they should contact their physician about the use of AIRDUO RESPICLICK [see Use in Specific Populations (8.1)].
Use Daily for Best Effect
Patients should use AIRDUO RESPICLICK at regular intervals as directed. The daily dosage of AIRDUO RESPICLICK should not exceed 1 inhalation twice a day. Advise patients, if they miss a dose, to take their next dose at the same time they normally do and to not take 2 doses at one time. Individual patients will experience a variable time to onset and degree of symptom relief and full benefit may not be achieved until treatment has been administered for 1 to 2 weeks or longer. Patients should not increase the prescribed dosage but should contact their physicians if symptoms do not improve or if the condition worsens. Instruct patients not to stop use of AIRDUO RESPICLICK abruptly. Patients should contact their physicians immediately if they discontinue use of AIRDUO RESPICLICK.
Dose Counter
Instruct patients that AIRDUO RESPICLICK has a dose counter that displays the number of actuations (inhalations) left in the inhaler. When the patient receives a new inhaler, the number 60 will be displayed. The dose counter will count down each time the mouthpiece is opened and closed. When the dose counter reaches 20, the color of the numbers will change to red to remind the patient to contact their pharmacist or healthcare provider for a refill of their medication. When the dose counter reaches 0, the patient should stop using the inhaler, and dispose of it in accordance with state and local regulations.
Caring for and Storing the Inhaler
Instruct patients to not open their inhaler unless they are taking a dose. Repeated opening and closing the cover without taking medication will waste medication and may damage the inhaler.
Advise patients to keep their inhaler dry and clean at all times. Never wash or put any part of the inhaler in water. Patient should replace inhaler if washed or placed in water. Advise patients to immediately replace inhaler if mouthpiece cover is damaged or broken.
Gently wipe the mouthpiece with a dry cloth or tissue as needed.
Instruct patients to store the inhaler at room temperature and to avoid exposure to extreme heat, cold, or humidity.
Instruct patients to never take the inhaler apart.
Inform patients to discard AIRDUO RESPICLICK when the dose counter displays 0, 30 days after opening the foil pouch or after the expiration date on the product, whichever comes first.
Distributed by:
Teva Pharmaceuticals USA, Inc.
Parsippany, NJ 07054
©2021 Teva Respiratory, LLC. All rights reserved.
United States Patent Nos. 6701917, 6718972, 6748947, 6871646, 7540282, 8006690, 8651103, 8714149, 8978966, 9066957, 9216260, 9415008, 9463288, 9616024, 9731087, 9987229, 10022510, 10124131, 10195375, 10561808, 10765820.
AIRDPI-006
Revised: July 2021
Patient Information
| AIRDUO® RESPICLICK® (ayr´ due oh res-pē-klik) (fluticasone propionate and salmeterol) inhalation powder 55 mcg/14 mcg AIRDUO® RESPICLICK® (ayr´ due oh res-pē-klik) (fluticasone propionate and salmeterol) inhalation powder 113 mcg/14 mcg AIRDUO® RESPICLICK® (ayr´ due oh res-pē-klik) (fluticasone propionate and salmeterol) inhalation powder 232 mcg/14 mcg for oral inhalation use |
What is AIRDUO RESPICLICK?
|
Do not use AIRDUO RESPICLICK:
|
Tell your healthcare provider about all of your medical conditions, including if you:
|
How should I use AIRDUO RESPICLICK? Read the step-by-step instructions for using AIRDUO RESPICLICK at the end of this Patient Information leaflet.
|
What are the possible side effects with AIRDUO RESPICLICK? AIRDUO RESPICLICK can cause serious side effects, including:
Symptoms of adrenal insufficiency include: Common side effects of AIRDUO RESPICLICK in patients ages 12 years and older include: These are not all the possible side effects of AIRDUO RESPICLICK. Call your healthcare provider for medical advice about side effects. You may report side effects to FDA at 1-800-FDA-1088. |
How should I store AIRDUO RESPICLICK?
|
| General information about the safe and effective use of AIRDUO RESPICLICK. Medicines are sometimes prescribed for purposes other than those listed in a Patient Information leaflet. Do not use AIRDUO RESPICLICK for a condition for which it was not prescribed. Do not give AIRDUO RESPICLICK to other people, even if they have the same symptoms that you have. It may harm them. You can ask your healthcare provider or pharmacist for information about AIRDUO RESPICLICK that is written for health professionals. |
What are the ingredients in AIRDUO RESPICLICK? Active ingredients: fluticasone propionate, salmeterol xinafoate Inactive ingredient: lactose monohydrate (may contain milk proteins) Distributed by: Teva Pharmaceuticals USA, Inc. ©2021 Teva Respiratory, LLC. All rights reserved. For more information about AIRDUO RESPICLICK, call 1-888-482-9522 or visit our website at www.AIRDUO.com. This Patient Information leaflet has been approved by the U.S. Food and Drug Administration. |
AIRDPL-006
Revised: July 2021
Instructions For Use
AIRDUO® RESPICLICK® (ayr´due oh res-pē-klik)
(fluticasone propionate and salmeterol) inhalation powder 55 mcg/14 mcg
AIRDUO® RESPICLICK® (ayr´due oh res-pē-klik)
(fluticasone propionate and salmeterol) inhalation powder 113 mcg/14 mcg
AIRDUO® RESPICLICK® (ayr´due oh res-pē-klik)
(fluticasone propionate and salmeterol) inhalation powder 232 mcg/14 mcg
for oral inhalation use
Your AIRDUO RESPICLICK Inhaler
When you are ready to use AIRDUO RESPICLICK for the first time, remove the AIRDUO RESPICLICK inhaler from the foil pouch.
There are 2 main parts of your AIRDUO RESPICLICK inhaler including the:
- white inhaler with the mouthpiece. See Figure A.
- yellow cap that covers the mouthpiece of the inhaler. See Figure A.
- Your AIRDUO RESPICLICK inhaler contains 60 doses (inhalations). See Figure B.
- The dose counter shows the number of doses left in your inhaler.
- When there are 20 doses left, the color of the numbers on the dose counter will change to red and you should refill your prescription or ask your healthcare provider for another prescription.
- When the dose counter displays ‘0’ your inhaler is empty and you should stop using the inhaler and throw it away. See Figure B.
- Always close the cap after each inhalation so your inhaler will be ready for you to take your next dose. Do not open the cap unless you are ready for your next dose.
- You will hear a “click” sound when the cap is opened all the way. If you do not hear the “click” sound the inhaler may not be activated to give you a dose of medicine.
- AIRDUO RESPICLICK does not have an activation button or medicine canister. When you open the cap, a dose of AIRDUO RESPICLICK will be activated for delivery of the medicine.
- Do not use a spacer or volume holding chamber with AIRDUO RESPICLICK. AIRDUO RESPICLICK does not need priming.
- Hold the inhaler upright and open the yellow cap all the way until it “clicks”. See Figure C.
- Each time you open the yellow cap and it “clicks”, 1 dose of AIRDUO RESPICLICK is ready to be inhaled.
- For the correct use of AIRDUO RESPICLICK, hold the inhaler upright as you open the yellow cap. See Figure D.
- Do not hold the inhaler in any other way as you open the yellow cap.
- Do not open the yellow cap until you are ready to take a dose of AIRDUO RESPICLICK.
- Before you inhale, breathe out (exhale) through your mouth and push as much air from your lungs as you can. See Figure E.
- Do not exhale into the inhaler mouthpiece.
- Put the mouthpiece in your mouth and close your lips tightly around it. See Figure F.
- Do not block the vent above the mouthpiece with your lips or fingers. See Figure G.
- Breathe in quickly and deeply through your mouth to deliver the dose of medicine to your lungs.
- Remove the inhaler from your mouth.
- Hold your breath for about 10 seconds or for as long as you comfortably can.
- Your AIRDUO RESPICLICK inhaler delivers your dose of medicine as a very fine powder that you may or may not taste or feel. Do not take an extra dose from the inhaler even if you do not taste or feel the medicine.
- Close the yellow cap firmly over the mouthpiece. See Figure H.
- Make sure you close the yellow cap after each inhalation so that the inhaler will be ready for your next dose.
- Rinse your mouth with water without swallowing after each inhalation.
- Store AIRDUO RESPICLICK at room temperature between 59°F and 77°F (15°C and 25°C).
- Avoid exposure to extreme heat, cold, or humidity.
- Store AIRDUO RESPICLICK in the unopened foil pouch and only open when ready for use.
- Keep the yellow cap on the inhaler closed during storage.
- Keep your AIRDUO RESPICLICK inhaler dry and clean at all times.
- Keep your AIRDUO RESPICLICK inhaler and all medicines out of the reach of children.
- Do not wash or put any part of your AIRDUO RESPICLICK inhaler in water. Replace your inhaler if washed or placed in water.
- AIRDUO RESPICLICK contains a powder and must be kept clean and dry at all times.
- You can clean the mouthpiece if needed using a dry cloth or tissue. Routine cleaning is not required.
- Immediately replace your inhaler if the mouthpiece cover is damaged or broken. Never take the inhaler apart.
- The dose counter on the back of your inhaler shows how many doses you have left.
- When there are 20 doses left, the color of the numbers on the dose counter will change to red and you should refill your prescription or ask your healthcare provider for another prescription.
- When the counter displays ‘0’ your AIRDUO RESPICLICK inhaler is empty and you should stop using the inhaler and throw it away.
- Throw away AIRDUO RESPICLICK 30 days after opening the foil pouch, when the dose counter displays ‘0’, or after the expiration date on the product, whichever comes first.
- Do not open the yellow cap unless you are taking a dose. Repeatedly opening and closing the cap without inhaling a dose will waste the medicine and may damage your inhaler.
- Your AIRDUO RESPICLICK inhaler contains dry powder so it is important that you do not blow or breathe into it.
- If you have any questions about AIRDUO RESPICLICK or how to use your inhaler, go to www.AIRDUORESPICLICK.com, or call 1-888-482-9522.
There is a dose counter in the back of the inhaler with a viewing window that shows you how many doses of medicine you have left. See Figure A.
Figure A
Figure B
Important:
Using your AIRDUO RESPICLICK inhaler:
Important: Make sure the cap is closed before you start using your inhaler.
Step 1. Open
Figure C
Remember:
Figure D
Step 2. Inhale
Figure E
Figure F
Figure G
Step 3. Close
Figure H
How should I store AIRDUO RESPICLICK?
Cleaning your AIRDUO RESPICLICK inhaler
Replacing your AIRDUO RESPICLICK inhaler
Important information
Support
These Instructions for Use have been approved by the U.S. Food and Drug Administration.
Distributed by:
Teva Pharmaceuticals USA, Inc.
Parsippany, NJ 07054
©2021 Teva Respiratory, LLC. All rights reserved.
AIRDIFU-006
Revised: July 2021
Package/Label Display Panel
TEVA
NDC 59310-805-06
Rx Only
AirDuo®
RespiClick® 55/14
(fluticasone propionate 55 mcg
and salmeterol 14 mcg)
Inhalation Powder
55 mcg/14 mcg
With Dose Counter
FOR ORAL INHALATION ONLY
60 METERED INHALATIONS
0.45 g NET CONTENTS
Refer to enclosed Medication Guide and
Instructions for Use for detailed
information on product use and handling.
ATTENTION: Dispense with enclosed Medication Guide.
TEVA
NDC 59310-812-06
Rx Only
AirDuo®
RespiClick® 113/14
(fluticasone propionate 113 mcg
and salmeterol 14 mcg)
Inhalation Powder
113 mcg/14 mcg
With Dose Counter
FOR ORAL INHALATION ONLY
60 METERED INHALATIONS
0.45 g NET CONTENTS
Refer to enclosed Medication Guide and
Instructions for Use for detailed
information on product use and handling.
ATTENTION: Dispense with enclosed Medication Guide.
TEVA
NDC 59310-822-06
Rx Only
AirDuo®
RespiClick® 232/14
(fluticasone propionate 232 mcg
and salmeterol 14 mcg)
Inhalation Powder
232 mcg/14 mcg
With Dose Counter
FOR ORAL INHALATION ONLY
60 METERED INHALATIONS
0.45 g NET CONTENTS
Refer to enclosed Medication Guide and
Instructions for Use for detailed
information on product use and handling.
ATTENTION: Dispense with enclosed Medication Guide.
* Please review the disclaimer below.






