Product Images Teriflunomide
View Photos of Packaging, Labels & Appearance
- Figure 1 - teriflunomide fig1
- Figure 2 - teriflunomide fig2
- PACKAGE LABEL-PRINCIPAL DISPLAY PANEL - 7 mg - (30 Tablets Bottle) - teriflunomide fig3
- PACKAGE LABEL-PRINCIPAL DISPLAY PANEL - 7 mg - 28 Tablets (2 Blisters of 14 Tablets Each) - teriflunomide fig4
- PACKAGE LABEL-PRINCIPAL DISPLAY PANEL - 14 mg - (30 Tablets Bottle) - teriflunomide fig5
- PACKAGE LABEL-PRINCIPAL DISPLAY PANEL - 14 mg - 28 Tablets (2 Blisters of 14 Tablets Each) - teriflunomide fig6
- Chemical Structure - teriflunomide str
Product Label Images
The following 7 images provide visual information about the product associated with Teriflunomide NDC 59651-054 by Aurobindo Pharma Limited, such as packaging, labeling, and the appearance of the drug itself. This resource could be helpful for medical professionals, pharmacists, and patients seeking to verify medication information and ensure they have the correct product.
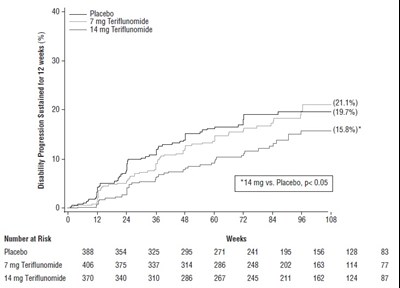
Figure 1 - teriflunomide fig1

This appears to be a table showing the results of a clinical trial for a drug called Teriflunomide. The table shows the number of participants at risk and the percentage of those who experienced disability progression sustained for 12 weeks. The drug was administered in three groups: placebo, 7mg Teriflunomide, and 14mg Teriflunomide. The results indicate that using 14mg Teriflunomide was significantly more effective than using the placebo (p < 0.05). However, the table is not clear and appears to have some formatting issues.*
Figure 2 - teriflunomide fig2

This appears to be a table of data related to a 12-week clinical trial involving a placebo and two different doses of Teriflunomide. The table includes the percentage of sustained progression over 12 weeks for each group, as well as the number of participants at risk in each group. It is not possible to discern the full context or purpose of the study without additional information.*
PACKAGE LABEL-PRINCIPAL DISPLAY PANEL - 7 mg - 28 Tablets (2 Blisters of 14 Tablets Each) - teriflunomide fig4

PACKAGE LABEL-PRINCIPAL DISPLAY PANEL - 14 mg - (30 Tablets Bottle) - teriflunomide fig5

Teriflunomide Tablets are a prescription drug provided in a pack of 30 tablets, each containing 14 mg of Terffunomide. It is distributed by Aurobindo Pharma USA, Inc. This medication should be stored at 20° to 25°C (68° to 77°F). Each patient should be given a separate Medication Guide. The suggested dose is one tablet taken orally once daily. This drug can be taken with or without food. The label includes a warning to keep it out of reach of children. The packaging includes printed information about the GTIN, Serial Number, Expiry Date, and LOT, that should be kept within the dotted line area of the package.*
PACKAGE LABEL-PRINCIPAL DISPLAY PANEL - 14 mg - 28 Tablets (2 Blisters of 14 Tablets Each) - teriflunomide fig6

This is a description of Teriflunomide tablets, its packaging, information on dosage, warnings and the name of the distributing company. Each tablet contains 14 mo of Terflunomide and usual dosage is one tablet a day. It can be taken with or without food. The tablets should be stored between 20 to 25 degrees Celsius. It is a prescription medicine and should be dispensed with a Medication Guide. The warning states that it should be kept out of reach of children.*
* The product label images have been analyzed using a combination of traditional computing and machine learning techniques. It should be noted that the descriptions provided may not be entirely accurate as they are experimental in nature. Use the information in this page at your own discretion and risk.