Product Images Albuterol

View Photos of Packaging, Labels & Appearance

Product Label Images

The following 3 images provide visual information about the product associated with Albuterol NDC 59651-334 by Aurobindo Pharma Limited, such as packaging, labeling, and the appearance of the drug itself. This resource could be helpful for medical professionals, pharmacists, and patients seeking to verify medication information and ensure they have the correct product.

PACKAGE LABEL-PRINCIPAL DISPLAY PANEL - 2 mg (100 Tablet Bottle) - albuterol fig1

PACKAGE LABEL-PRINCIPAL DISPLAY PANEL - 2 mg (100 Tablet Bottle) - albuterol fig1

PACKAGE LABEL-PRINCIPAL DISPLAY PANEL - 4 mg (100 Tablet Bottle) - albuterol fig2

PACKAGE LABEL-PRINCIPAL DISPLAY PANEL - 4 mg (100 Tablet Bottle) - albuterol fig2

Each tablet contains 45 mg of Albuterol sulfate USP, which is equivalent to Albuterol 0.5 mg. Manufactured by Aurobindo Pharma USA, Inc., these tablets are dispensed in a child-resistant container that is both dispersible and fire-resistant. They should be stored between 20-25°C and protected from light. The usual adult dosage should be determined by the prescribing physician or as per the accompanying information. This medicine is to be kept out of reach of children. Made in India.*

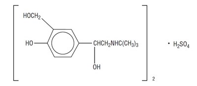
Chemcical Structer - albuterol str

Chemcical Structer - albuterol str

* The product label images have been analyzed using a combination of traditional computing and machine learning techniques. It should be noted that the descriptions provided may not be entirely accurate as they are experimental in nature. Use the information in this page at your own discretion and risk.