Product Images Abiraterone Acetate
View Photos of Packaging, Labels & Appearance
- 1 - abiraterone acetate tablets usp 250 mg 500 mg 1
- 2 - abiraterone acetate tablets usp 250 mg 500 mg 2
- 3 - abiraterone acetate tablets usp 250 mg 500 mg 3
- 4 - abiraterone acetate tablets usp 250 mg 500 mg 4
- 5 - abiraterone acetate tablets usp 250 mg 500 mg 5
- 1 - abiraterone acetate tablets usp 250 mg 500 mg 6
- 1 - abiraterone acetate tablets usp 250 mg 500 mg 7
Product Label Images
The following 7 images provide visual information about the product associated with Abiraterone Acetate NDC 60219-1165 by Amneal Pharmaceuticals Ny Llc, such as packaging, labeling, and the appearance of the drug itself. This resource could be helpful for medical professionals, pharmacists, and patients seeking to verify medication information and ensure they have the correct product.
3 - abiraterone acetate tablets usp 250 mg 500 mg 3

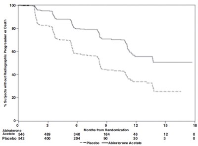
This appears to be data related to a clinical trial, where the subjects were grouped into two groups - Acetate and Placebo. The horizontal axis shows the number of months from randomization while the vertical axis shows the number of subjects without death. The numbers seem to represent the count of subjects at each time point for each group. The last line seems to suggest a comparison between the Placebo and Abiraterone Acetate groups.*
1 - abiraterone acetate tablets usp 250 mg 500 mg 6

Abiraterone Acetate is a prescription drug available in tablet form, with NDC number 60219-1165-7. The drug must be handled with gloves by women who are pregnant or may become pregnant. The tablets should not be chewed or crushed and should be stored at room temperature between 15°C to 30°C. Each tablet contains Abiraterone Acetate, USP and is meant to be swallowed whole. The package insert should be consulted for usual dosage. The drug is manufactured by Amneal Pharmaceuticals Private Limited in India and distributed by Amneal Pharmaceuticals LG in Bridgewater, NJ.*
1 - abiraterone acetate tablets usp 250 mg 500 mg 7

Abiraterone Acetate Tablets are used for treating prostate cancer. Each tablet contains 500 mg of Abiraterone Acetate. Follow the instructions listed on the package insert to determine the correct dosage. It is recommended to swallow the whole tablet and avoid crushing it. Store the tablets between 20°C to 25°C and keep them out of the reach of children. The tablets are manufactured by Amneal Pharmaceuticals Private Limited in Ahmadabad, India, and distributed by Amneal Pharmaceuticals LLC in Bridgewater, NJ. The manufacturing license number is 6/25/1941, and the revision number is 02-2023-01.*
* The product label images have been analyzed using a combination of traditional computing and machine learning techniques. It should be noted that the descriptions provided may not be entirely accurate as they are experimental in nature. Use the information in this page at your own discretion and risk.