Product Images Metformin Hydrochloride

View Photos of Packaging, Labels & Appearance

Product Label Images

The following 4 images provide visual information about the product associated with Metformin Hydrochloride NDC 60429-112 by Golden State Medical Supply, Inc., such as packaging, labeling, and the appearance of the drug itself. This resource could be helpful for medical professionals, pharmacists, and patients seeking to verify medication information and ensure they have the correct product.

60429 111 90LB

60429 111 90LB

This text appears to be a combination of different content types. The first portion is not readable as it contains non-English characters. However, the second part is a drug prescription information for a medication called Metformin Hydrochloride Tablets, USP. The medication contains 500mg and comes in a bottle of 90 tablets. The storage instructions are to keep the medication at a temperature range of 20° to 26°C (68° to 77°F), with allowances to store at 15° to 30°C (59° to 86°F). It is recommended to check the prescribing information for the dosage guidance.*

60429 112 27LB

60429 112 27LB

METFORMIN HYDROCHLORIDE is a medication that comes in tablet form and is used to help manage or to treat diabetes. The pack contains 270 tablets, each having 850 mg of the drug. The dosage information is available in the prescribing information. The tablets are recommended to store between 20° to 25°C (BB to 77°F), and slight excursions are allowed to happen at 15° to 30°C (59° to 86°F) [See USP Controlled Room Temperature].*

60429 113 18LB

60429 113 18LB

METFORMIN HYDROCHLORIDE TABLETS, USP with 1000 mg strength and NDC code 60429-113-18 are offered by GSMS Incorporated. 180 tablets are available in one bottle. Dosage information can be obtained from the prescription label and prescribing information. The prescribed storage temperature is between 20°C to 25°C with limited allowance for excursions between 15°C to 30°C.*

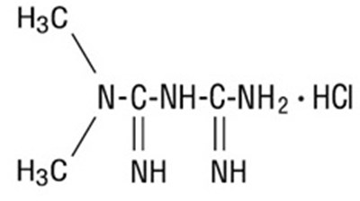
met structure

met structure

* The product label images have been analyzed using a combination of traditional computing and machine learning techniques. It should be noted that the descriptions provided may not be entirely accurate as they are experimental in nature. Use the information in this page at your own discretion and risk.