FDA Label for Butorphanol Tartrate
View Indications, Usage & Precautions
- WARNING: ADDICTION, ABUSE, AND MISUSE; LIFE-THREATENING RESPIRATORY DEPRESSION; ACCIDENTAL INGESTION; NEONATAL OPIOID WITHDRAWAL SYNDROME; AND RISKS FROM CONCOMITANT USE WITH BENZODIAZEPINES OR OTHER CNS DEPRESSANTS
- DESCRIPTION
- CLINICAL PHARMACOLOGY
- MECHANISM OF ACTION
- PHARMACODYNAMICS
- PHARMACOKINETICS
- DRUG INTERACTIONS
- CLINICAL TRIALS
- USE IN THE MANAGEMENT OF PAIN
- INDIVIDUALIZATION OF DOSAGE
- INDICATIONS AND USAGE
- CONTRAINDICATIONS
- WARNINGS
- PRECAUTIONS
- ADVERSE REACTIONS
- DRUG ABUSE AND DEPENDENCE
- OVERDOSAGE
- DOSAGE AND ADMINISTRATION
- HOW SUPPLIED
- PATIENT INSTRUCTIONS
- MEDICATION GUIDE
Butorphanol Tartrate Product Label
The following document was submitted to the FDA by the labeler of this product Apotex Corp.. The document includes published materials associated whith this product with the essential scientific information about this product as well as other prescribing information. Product labels may durg indications and usage, generic names, contraindications, active ingredients, strength dosage, routes of administration, appearance, warnings, inactive ingredients, etc.
Warning: Addiction, Abuse, And Misuse; Life-Threatening Respiratory Depression; Accidental Ingestion; Neonatal Opioid Withdrawal Syndrome; And Risks From Concomitant Use With Benzodiazepines Or Other Cns Depressants
Addiction, Abuse, and Misuse
Butorphanol Tartrate Nasal Spray exposes patients and other users to the risks of opioid addiction, abuse, and misuse, which can lead to overdose and death. Assess each patient’s risk prior to prescribing Butorphanol Tartrate Nasal Spray, and monitor all patients regularly for the development of these behaviors and conditions [see WARNINGS].
Life-Threatening Respiratory Depression
Serious, life-threatening, or fatal respiratory depression may occur with use of Butorphanol Tartrate Nasal Spray. Monitor for respiratory depression, especially during initiation of Butorphanol Tartrate Nasal Spray or following a dose increase [see WARNINGS].
Accidental Exposure
Accidental Exposure of butorphanol, especially by children, can result in a fatal overdose of butorphanol [see WARNINGS].
Neonatal Opioid Withdrawal Syndrome
Prolonged use of Butorphanol Tartrate Nasal Spray during pregnancy can result in neonatal opioid withdrawal syndrome, which may be life-threatening if not recognized and treated, and requires management according to protocols developed by neonatology experts. If opioid use is required for a prolonged period in a pregnant woman, advise the patient of the risk of neonatal opioid withdrawal syndrome and ensure that appropriate treatment will be available [see WARNINGS].
Cytochrome P450 3A4 Interaction
The concomitant use of Butorphanol Tartrate Nasal Spray with all cytochrome P450 3A4 inhibitors may result in an increase in butorphanol plasma concentrations, which could increase or prolong adverse reactions and may cause potentially fatal respiratory depression. In addition, discontinuation of a concomitantly used cytochrome P450 3A4 inducer may result in an increase in butorphanol plasma concentration. Monitor patients receiving Butorphanol Tartrate Nasal Spray and any CYP3A4 inhibitor or inducer [see CLINICAL PHARMACOLOGY, WARNINGS, PRECAUTIONS; Drug Interactions].
Risks From Concomitant Use With Benzodiazepines Or Other CNS Depressants
Concomitant use of opioids with benzodiazepines or other central nervous system (CNS) depressants, including alcohol, may result in profound sedation, respiratory depression, coma, and death [see WARNINGS, PRECAUTIONS; Drug Interactions].
Reserve concomitant prescribing of Butorphanol Tartrate Injection and benzodiazepines or other CNS depressants for use in patients for whom alternative treatment options are inadequate.
Limit dosages and durations to the minimum required.
Follow patients for signs and symptoms of respiratory depression and sedation.
Description
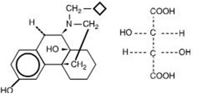
Butorphanol tartrate is a synthetically derived opioid agonist-antagonist analgesic of the phenanthrene series. The chemical name is (-)-17-(cyclobutylmethyl)morphinan-3,14-diol[S-(R*,R*)]-2,3-dihydroxybutanedioate (1:1) (salt). The molecular formula is C21H29NO2•C4H6O6, which corresponds to a molecular weight of 477.55 and the following structural formula:
Butorphanol tartrate is a white crystalline substance. The dose is expressed as the tartrate salt. One milligram of the salt is equivalent to 0.68 mg of the free base. The n-octanol/aqueous buffer partition coefficient of butorphanol is 180:1 at pH 7.5.
Butorphanol Tartrate Nasal Spray, USP is an aqueous solution of butorphanol tartrate for administration as a metered spray to the nasal mucosa. Each bottle of Butorphanol Tartrate Nasal Spray, USP contains 2.5 mL of a 10 mg/mL solution of butorphanol tartrate with sodium chloride, citric acid, and benzethonium chloride in purified water with sodium hydroxide and/or hydrochloric acid added to adjust the pH to 5.0. The pump reservoir must be fully primed [see PATIENT INSTRUCTIONS] prior to initial use. After initial priming each metered spray delivers an average of 1.0 mg of butorphanol tartrate and the 2.5 mL bottle will deliver an average of 14 to 15 doses of Butorphanol Tartrate Nasal Spray, USP. If not used for 48 hours or longer, the unit must be reprimed [see PATIENT INSTRUCTIONS]. With intermittent use requiring repriming before each dose, the 2.5 mL bottle will deliver an average of 8 to 10 doses of Butorphanol Tartrate Nasal Spray, USP depending on how much repriming is necessary.
Clinical Pharmacology
Mechanism Of Action
Butorphanol is a partial opioid agonist at the mu opioid receptor and a full agonist at the kappa opioid receptor. The principal therapeutic action of butorphanol is analgesia. Clinically, dosage is titrated to provide adequate analgesia and may be limited by adverse reactions, including respiratory and CNS depression.
The precise mechanism of the analgesic action is unknown. However, specific CNS opioid receptors for endogenous compounds with opioid-like activity have been identified throughout the brain and spinal cord and are thought to play a role in the analgesic effects of this drug.
Pharmacodynamics
The analgesic effect of butorphanol is influenced by the route of administration. Onset of analgesia is within 15 minutes for the nasal administration doses. Peak analgesic activity occurs within 1 to 2 hours following nasal spray administration.
The duration of analgesia varies depending on the pain model as well as the route of administration. Compared to the injectable form and other drugs in this class, Butorphanol Tartrate Nasal Spray has a longer duration of action (4 to 5 hours) [see CLINICAL PHARMACOLOGY; Clinical Trials).
Effects on the Central Nervous System
Butorphanol produces respiratory depression by direct action on brain stem respiratory centers. The respiratory depression involves a reduction in the responsiveness of the brain stem respiratory centers to both increases in carbon dioxide tension and electrical stimulation.
In human studies involving individuals without significant respiratory dysfunction, 2 mg of butorphanol IV and 10 mg of morphine sulfate IV depressed respiration to a comparable degree. At higher doses, the magnitude of respiratory depression with butorphanol is not appreciably increased; however, the duration of respiratory depression is longer. Respiratory depression noted after administration of butorphanol to humans by any route is reversed by treatment with naloxone, a specific opioid antagonist [see OVERDOSAGE].
Butorphanol, like other mixed agonist-antagonists with a high affinity for the κ-receptor, may produce unpleasant psychotomimetic effects in some individuals.
Nausea and/or vomiting may be produced by doses of 1 mg or more administered by any route.
In human studies of butorphanol [see CLINICAL PHARMACOLOGY; Clinical Trials), sedation is commonly noted at doses of 0.5 mg or more. Narcosis is produced by 10 to 12 mg doses of butorphanol administered over 10 to 15 minutes intravenously.
Butorphanol causes miosis, even in total darkness. Pinpoint pupils are a sign of opioid overdose but are not pathognomonic (e.g., pontine lesions of hemorrhagic or ischemic origins may produce similar findings). Marked mydriasis rather than miosis may be seen due to hypoxia in overdose situations.
Effects on the Gastrointestinal Tract and Other Smooth Muscle
Butorphanol causes a reduction in motility associated with an increase in smooth muscle tone in the antrum of the stomach and duodenum. Digestion of food in the small intestine is delayed and propulsive contractions are decreased. Propulsive peristaltic waves in the colon are decreased, while tone may be increased to the point of spasm, resulting in constipation. Other opioid-induced effects may include a reduction in biliary and pancreatic secretions, spasm of sphincter of Oddi, and transient elevations in serum amylase.
Effects on the Cardiovascular System
Hemodynamic changes noted during cardiac catheterization in patients receiving single 0.025 mg/kg intravenous doses of butorphanol have included increases in pulmonary artery pressure, wedge pressure and vascular resistance, increases in left ventricular end diastolic pressure, and in systemic arterial pressure.
Effects on the Endocrine System
Opioids inhibit the secretion of adrenocorticotropic hormone (ACTH), cortisol, and luteinizing hormone (LH) in humans [see ADVERSE REACTIONS]. They also stimulate prolactin, growth hormone (GH) secretion, and pancreatic secretion of insulin and glucagon.
Chronic use of opioids may influence the hypothalamic-pituitary-gonadal axis, leading to androgen deficiency that may manifest as low libido, impotence, erectile dysfunction, amenorrhea, or infertility. The causal role of opioids in the clinical syndrome of hypogonadism is unknown because the various medical, physical, lifestyle, and psychological stressors that may influence gonadal hormone levels have not been adequately controlled for in studies conducted to date [see ADVERSE REACTIONS].
Effects on the Immune System
Opioids have been shown to have a variety of effects on components of the immune system. The clinical significance of these findings is unknown. Overall, the effects of opioids appear to be modestly immunosuppressive.
Concentration–Efficacy Relationships
The minimum effective analgesic concentration will vary widely among patients, especially among patients who have been previously treated with potent agonist opioids. The minimum effective analgesic concentration of butorphanol for any individual patient may increase over time due to an increase in pain, the development of a new pain syndrome, and/or the development of analgesic tolerance [see DOSAGE AND ADMINISTRATION].
Concentration–Adverse Reaction Relationships
There is a relationship between increasing butorphanol plasma concentration and increasing frequency of dose-related opioid adverse reactions such as nausea, vomiting, CNS effects, and respiratory depression. In opioid-tolerant patients, the situation may be altered by the development of tolerance to opioid-related adverse reactions [see DOSAGE AND ADMINISTRATION].
Pharmacokinetics
After nasal administration, mean peak blood levels of 0.9 to 1.04 ng/mL occur at 30 to 60 minutes after a 1 mg dose (see Table 1). The absolute bioavailability of butorphanol tartrate nasal spray is 60 to 70% and is unchanged in patients with allergic rhinitis. In patients using a nasal vasoconstrictor (oxymetazoline) the fraction of the dose absorbed was unchanged, but the rate of absorption was slowed. The peak plasma concentrations were approximately half those achieved in the absence of the vasoconstrictor.
Following its initial absorption/distribution phase, the single dose pharmacokinetics of butorphanol by the intravenous, intramuscular, and nasal routes of administration are similar (see Figure 1).
Figure 1: Butorphanol Plasma Levels After IV, IM and Nasal Spray Administration of 2 mg Dose
Serum protein binding is independent of concentration over the range achieved in clinical practice (up to 7 ng/mL) with a bound fraction of approximately 80%.
The volume of distribution of butorphanol varies from 305 to 901 liters and total body clearance from 52 to 154 liters/hr (see Table 1).
| Table 1: Mean Pharmacokinetic Parameters of Butorphanol in Young and Elderly Subjects1 | ||||
| Intravenous | Nasal | |||
| Parameters | Young | Elderly | Young | Elderly |
| Tmax2 (hr) | 0.62 (0.32)3 (0.15 to 1.50)4 | 1.03 (0.74) (0.25 to 3.00) | ||
| Cmax5 (ng/mL) | 1.04 (0.40) (0.35 to 1.97) | 0.90 (0.57) (0.10 to 2.68) | ||
| AUC (inf)6 (hr·ng/mL) | 7.24 (1.57) (4.40 to 9.77) | 8.71 (2.02) (4.76 to 13.03) | 4.93 (1.24) (2.16 to 7.27) | 5.24 (2.27) (0.30 to 10.34) |
| Half-life (hr) | 4.56 (1.67) (2.06 to 8.70) | 5.61 (1.36) (3.25 to 8.79) | 4.74 (1.57) (2.89 to 8.79) | 6.56 (1.51) (3.75 to 9.17) |
| Absolute Bioavailability (%) | 69 (16) (44 to 113) | 61 (25) (3 to 121) | ||
| Volume of Distribution7 (L) | 487 (155) (305 to 901) | 552 (124) (305 to 737) | ||
| Total Body Clearance (L/hr) | 99 (23) (70 to 154) | 82 (21) (52 to 143) | ||
1. Young subjects (n=24) are from 20 to 40 years old and elderly (n=24) are greater than 65 years of age.
2. Time to peak plasma concentration.
3. Mean (1 S.D.)
4. (range of observed values)
5. Peak plasma concentration normalized to 1 mg dose.
6. Area under the plasma concentration-time curve after a 1 mg dose.
7. Derived from IV data.
Dose proportionality for butorphanol tartrate nasal spray has been determined at steady state in doses up to 4 mg at 6 hour intervals. Steady state is achieved within 2 days. The mean peak plasma concentration at steady state was 1.8-fold (maximal 3-fold) following a single dose.
The drug is transported across the blood brain and placental barriers and into human milk [see PRECAUTIONS: Labor and Delivery and Nursing Mothers].
Butorphanol is extensively metabolized in the liver. Metabolism is qualitatively and quantitatively similar following intravenous, intramuscular, or nasal administration. Oral bioavailability is only 5 to 17% because of extensive first pass metabolism of butorphanol.
The major metabolite of butorphanol is hydroxybutorphanol, while norbutorphanol is produced in small amounts. Both have been detected in plasma following administration of butorphanol, with norbutorphanol present at trace levels at most time points. The elimination half-life of hydroxybutorphanol is about 18 hours and, as a consequence, considerable accumulation (~5-fold) occurs when butorphanol is dosed to steady state (1 mg transnasally q6h for 5 days).
Elimination occurs by urine and fecal excretion. When 3H labelled butorphanol is administered to normal subjects, most (70 to 80%) of the dose is recovered in the urine, while approximately 15% is recovered in the feces.
About 5% of the dose is recovered in the urine as butorphanol. Forty-nine percent is eliminated in the urine as hydroxybutorphanol. Less than 5% is excreted in the urine as norbutorphanol.
Butorphanol pharmacokinetics in the elderly differ from younger patients (see Table 1). The mean absolute bioavailability of butorphanol tartrate nasal spray in elderly women (48%) was less than that in elderly men (75%), young men (68%), or young women (70%). Elimination half-life is increased in the elderly (6.6 hours as opposed to 4.7 hours in younger subjects).
In renally impaired patients with creatinine clearances <30 mL/min, the elimination half-life was approximately doubled and the total body clearance was approximately one half (10.5 hours [clearance 150 L/h] as compared to 5.8 hours [clearance 260 L/h] in healthy subjects). No effect on Cmax or Tmax was observed after a single dose.
After intravenous administration to patients with hepatic impairment, the elimination half-life of butorphanol was approximately tripled and total body clearance was approximately one half (half-life 16.8 hours, clearance 92 L/h) compared to healthy subjects (half-life 4.8 hours, clearance 175 L/h). The exposure of hepatically impaired patients to butorphanol was significantly greater (about 2-fold) than that in healthy subjects. Similar results were seen after nasal administration. No effect on Cmax or Tmax was observed after a single intranasal dose.
For further recommendations refer to PRECAUTIONS: Hepatic and Renal Disease, Drug Interactions, and Geriatric Use sections and to the DOSAGE AND ADMINISTRATION section below.
Drug Interactions
Sumatriptan
In healthy volunteers, the pharmacokinetics of a 1 mg dose of butorphanol administered as Butorphanol Tartrate Nasal Spray were not affected by the coadministration of a single 6 mg subcutaneous dose of sumatriptan. However, in another study in healthy volunteers, the pharmacokinetics of butorphanol were significantly altered (29% decrease in AUC and 38% decreases in Cmax) when a 1 mg dose of butorphanol tartrate nasal spray was administered 1 minute after a 20 mg dose of sumatriptan nasal spray. (The two drugs were administered in opposite nostrils.) When the Butorphanol Tartrate Nasal Spray was administered 30 minutes after the sumatriptan nasal spray, the AUC of butorphanol increased 11% and Cmax decreased 18%.
In neither case were the pharmacokinetics of sumatriptan affected by coadministration with Butorphanol Tartrate Nasal Spray. These results suggest that the analgesic effect of Butorphanol Tartrate Nasal Spray may be diminished when it is administered shortly after sumatriptan nasal spray, but by 30 minutes any such reduction in effect should be minimal.
The safety of using Butorphanol Tartrate Nasal Spray and IMITREX®1 (sumatriptan) Nasal Spray during the same episode of migrane has not been established. However, it should be noted that both products are capable of producing transient increases in blood pressure.
Cimetidine
The pharmacokinetics of a 1 mg dose of butorphanol administered as Butorphanol Tartrate Nasal Spray were not affected by the coadministration of cimetidine (300 mg QID). Conversely, the administration of Butorphanol Tartrate Nasal Spray (1 mg butorphanol QID) did not alter the pharmacokinetics of a 300 mg dose of cimetidine.
Oxymetazoline
The fraction of Butorphanol Tartrate Nasal Spray absorbed is unaffected by the concomitant administration of a nasal vasoconstrictor (oxymetazoline), but the rate of absorption is decreased. Therefore, a slower onset can be anticipated if Butorphanol Tartrate Nasal Spray is administered concomitantly with, or immediately following, a nasal vasoconstrictor.
Clinical Trials
The effectiveness of opioid analgesics varies in different pain syndromes.
Studies with butorphanol tartrate nasal spray have been performed in postoperative (general, orthopedic, oral, cesarean section) pain, in postepisiotomy pain, in pain of musculoskeletal origin, and in migraine headache pain (see below).
Use In The Management Of Pain
Postoperative Pain: The analgesic efficacy of butorphanol tartrate nasal spray was evaluated (approximately 35 patients per treatment group) in a general and orthopedic surgery trial. Single doses of butorphanol tartrate nasal spray (1 or 2 mg) and IM meperidine (37.5 or 75 mg) were compared. Analgesia provided by 1 and 2 mg doses of butorphanol tartrate nasal spray was similar to 37.5 and 75 mg meperidine, respectively, with onset of analgesia within 15 minutes and peak analgesic effect within 1 hour. The median duration of pain relief was 2.5 hours with 1 mg butorphanol tartrate nasal spray, 3.5 hours with 2 mg butorphanol tartrate nasal spray and 3.3 hours with either dose of meperidine.
In a postcesarean section trial, butorphanol tartrate nasal spray administered to 35 patients as two 1 mg doses 60 minutes apart was compared with a single 2 mg dose of butorphanol tartrate nasal spray or a single 2 mg IV dose of butorphanol tartrate injection (37 patients each). Onset of analgesia was within 15 minutes for all butorphanol tartrate regimens. Peak analgesic effects of 2 mg intravenous butorphanol tartrate injection and butorphanol tartrate nasal spray were similar in magnitude. The duration of pain relief provided by both 2 mg butorphanol tartrate nasal spray regimens was approximately 4.5 hours and was greater than intravenous butorphanol tartrate injection (2.6 hours).
Migraine Headache Pain: The analgesic efficacy of two 1 mg doses 1 hour apart of butorphanol tartrate nasal spray in migraine headache pain was compared with a single dose of 10 mg IM methadone (31 and 32 patients, respectively). Significant onset of analgesia occurred within 15 minutes for both butorphanol tartrate nasal spray and IM methadone. Peak analgesic effect occurred at 2 hours for butorphanol tartrate nasal spray and 1.5 hours for methadone. The median duration of pain relief was 6 hours with butorphanol tartrate nasal spray and 4 hours with methadone as judged by the time when approximately half of the patients remedicated.
In two other trials in patients with migraine headache pain, a 2 mg initial dose of butorphanol tartrate nasal spray followed by an additional 1 mg dose 1 hour later (76 patients) was compared with either 75 mg IM meperidine (24 patients) or placebo (72 patients). Onset, peak activity and duration were similar with both active treatments; however, the incidence of adverse experiences (nausea, vomiting, dizziness) was higher in these two trials with the 2 mg initial dose of butorphanol tartrate nasal spray than in the trial with the 1 mg initial dose.
Individualization Of Dosage
Use of butorphanol in geriatric patients, patients with renal impairment, patients with hepatic impairment, and during labor requires extra caution (see below and the appropriate sections in PRECAUTIONS).
The usual recommended dose for initial nasal administration is 1 mg (1 spray in one nostril). If adequate pain relief is not achieved within 60 to 90 minutes, an additional 1-mg dose may be given.
The initial dose sequence outlined above may be repeated in 3 to 4 hours as required after the second dose of the sequence.
For the management of severe pain, an initial dose of 2 mg (1 spray in each nostril) may be used in patients who will be able to remain recumbent in the event drowsiness or dizziness occurs. In such patients additional doses should not be given for 3 to 4 hours. The incidence of adverse events is higher with an initial 2-mg dose (see Clinical Trials).
The initial dose sequence in elderly patients and patients with renal or hepatic impairment should be limited to 1 mg followed, if needed, by 1 mg in 90 to 120 minutes. The repeat dose sequence in these patients should be determined by the patient’s response rather than at fixed times but will generally be no less than at 6-hour intervals (see PRECAUTIONS).
Indications And Usage
Butorphanol Tartrate Nasal Spray is indicated for the management of pain severe enough to require an opioid analgesic and for which alternative treatments are inadequate.
Limitations of Use
Because of the risks of addiction, abuse, and misuse, with opioids, even at recommended doses [see WARNINGS], reserve Butorphanol Tartrate Nasal Spray for use in patients for whom alternative treatment options [e.g., non-opioid analgesics]
- Have not been tolerated, or are not expected to be tolerated,
- Have not provided adequate analgesia, or are not expected to provide adequate analgesia
Contraindications
Butorphanol Tartrate Nasal Spray is contraindicated in:
- Patients with significant respiratory depression [see WARNINGS]
- Patients with acute or severe bronchial asthma in an unmonitored setting or in the absence of resuscitative equipment [see WARNINGS]
- Patients with known or suspected gastrointestinal obstruction, including paralytic ileus [see WARNINGS]
- Patients with hypersensitivity to butorphanol tartrate, the preservative benzethonium chloride, or any of the formulation excipients (e.g., anaphylaxis) [see WARNINGS])
Warnings
Addiction, Abuse, and Misuse
Butorphanol Tartrate Nasal Spray contains butorphanol, a Schedule IV controlled substance. As an opioid, Butorphanol Tartrate Nasal Spray exposes users to the risks of addiction, abuse, and misuse [see DRUG ABUSE AND DEPENDENCE].
Although the risk of addiction in any individual is unknown, it can occur in patients appropriately prescribed Butorphanol Tartrate Nasal Spray. Addiction can occur at recommended dosages and if the drug is misused or abused.
Assess each patient’s risk for opioid addiction, abuse, or misuse prior to prescribing Butorphanol Tartrate Nasal Spray, and monitor all patients receiving Butorphanol Tartrate Nasal Spray for the development of these behaviors or conditions. Risks are increased in patients with a personal or family history of substance abuse (including drug or alcohol abuse or addiction) or mental illness (e.g., major depression). The potential for these risks should not, however, prevent the proper management of pain in any given patient. Patients at increased risk may be prescribed opioids such as Butorphanol Tartrate Nasal Spray, but use in such patients necessitates intensive counseling about the risks and proper use of Butorphanol Tartrate Nasal Spray along with intensive monitoring for signs of addiction, abuse, and misuse.
Opioids are sought by drug abusers and people with addiction disorders and are subject to criminal diversion. Consider these risks when prescribing or dispensing Butorphanol Tartrate Nasal Spray. Strategies to reduce these risks include prescribing the drug in the smallest appropriate quantity and advising the patient on the proper disposal of unused drug [see PRECAUTIONS; Information for Patients]. Contact local state professional licensing board or state controlled substances authority for information on how to prevent and detect abuse or diversion of this product.
Life-Threatening Respiratory Depression
Serious, life-threatening, or fatal respiratory depression has been reported with the use of opioids, even when used as recommended. Respiratory depression, if not immediately recognized and treated, may lead to respiratory arrest and death. Management of respiratory depression may include close observation, supportive measures, and use of opioid antagonists, depending on the patient’s clinical status [see OVERDOSAGE]. Carbon dioxide (CO2) retention from opioid-induced respiratory depression can exacerbate the sedating effects of opioids.
While serious, life-threatening, or fatal respiratory depression can occur at any time during the use of Butorphanol Tartrate Nasal Spray, the risk is greatest during the initiation of therapy or following a dosage increase. Monitor patients closely for respiratory depression, especially within the first 24 to 72 hours of initiating therapy with and following dosage increases of butorphanol.
To reduce the risk of respiratory depression, proper dosing and titration of Butorphanol Tartrate Nasal Spray are essential [see DOSAGE AND ADMINISTRATION]. Overestimating the Butorphanol Tartrate Nasal Spray dosage when converting patients from another opioid product can result in a fatal overdose with the first dose.
Accidental exposure of Butorphanol Tartrate Nasal Spray, especially by children, can result in respiratory depression and death due to an overdose of butorphanol.
Neonatal Opioid Withdrawal Syndrome
Prolonged use of Butorphanol Tartrate Nasal Spray during pregnancy can result in withdrawal in the neonate. Neonatal opioid withdrawal syndrome, unlike opioid withdrawal syndrome in adults, may be life-threatening if not recognized and treated, and requires management according to protocols developed by neonatology experts. Observe newborns for signs of neonatal opioid withdrawal syndrome and manage accordingly. Advise pregnant women using opioids for a prolonged period of the risk of neonatal opioid withdrawal syndrome and ensure that appropriate treatment will be available [see PRECAUTIONS; Information for Patients, Pregnancy].
Risks of Concomitant Use or Discontinuation of Cytochrome P450 3A4 Inhibitors and Inducers
Concomitant use of Butorphanol Tartrate Nasal Spray with a CYP3A4 inhibitor, such as macrolide antibiotics (e.g., erythromycin), azole-antifungal agents (e.g., ketoconazole), and protease inhibitors (e.g., ritonavir), may increase plasma concentrations of butorphanol and prolong opioid adverse reactions, which may cause potentially fatal respiratory depression [see WARNINGS; Life-Threatening Respiratory Depression], particularly when an inhibitor is added after a stable dose of Butorphanol Tartrate Nasal Spray is achieved. Similarly, discontinuation of a CYP3A4 inducer, such as rifampin, carbamazepine, and phenytoin, in Butorphanol Tartrate Nasal Spray -treated patients may increase butorphanol plasma concentrations and prolong opioid adverse reactions. When using Butorphanol Tartrate Nasal Spray with CYP3A4 inhibitors or discontinuing CYP3A4 inducers in Butorphanol Tartrate Nasal Spray-treated patients, monitor patients closely at frequent intervals and consider dosage reduction of Butorphanol Tartrate Nasal Spray until stable drug effects are achieved [See PRECAUTIONS; Drug Interactions].
Concomitant use of Butorphanol Tartrate Nasal Spray with CYP3A4 inducers or discontinuation of an CYP3A4 inhibitor could decrease butorphanol plasma concentrations, decrease opioid efficacy or, possibly, lead to a withdrawal syndrome in a patient who had developed physical dependence to butorphanol. When using Butorphanol Tartrate Nasal Spray with CYP3A4 inducers or discontinuing CYP3A4 inhibitors, monitor patients closely at frequent intervals and consider increasing the opioid dosage if needed to maintain adequate analgesia or if symptoms of opioid withdrawal occur [see PRECAUTIONS; Drug Interactions].
Risks from Concomitant Use with Benzodiazepines or Other CNS Depressants
Profound sedation, respiratory depression, coma, and death may result from the concomitant use of Butorphanol Tartrate Nasal Spray with benzodiazepines or other CNS depressants (e.g., non-benzodiazepine sedatives/hypnotics, anxiolytics, tranquilizers, muscle relaxants, general anesthetics, antipsychotics, other opioids, alcohol). Because of these risks, reserve concomitant prescribing of these drugs for use in patients for whom alternative treatment options are inadequate.
Observational studies have demonstrated that concomitant use of opioid analgesics and benzodiazepines increases the risk of drug-related mortality compared to use of opioid analgesics alone. Because of similar pharmacological properties, it is reasonable to expect similar risk with the concomitant use of other CNS depressant drugs with opioid analgesics [see PRECAUTIONS; Drug Interactions].
If the decision is made to prescribe a benzodiazepine or other CNS depressant concomitantly with an opioid analgesic, prescribe the lowest effective dosages and minimum durations of concomitant use. In patients already receiving an opioid analgesic, prescribe a lower initial dose of the benzodiazepine or other CNS depressant than indicated in the absence of an opioid, and titrate based on clinical response. If an opioid analgesic is initiated in a patient already taking a benzodiazepine or other CNS depressant, prescribe a lower initial dose of the opioid analgesic, and titrate based on clinical response. Follow patients closely for signs and symptoms of respiratory depression and sedation.
Advise both patients and caregivers about the risks of respiratory depression and sedation when Butorphanol Tartrate Nasal Spray is used with benzodiazepines or other CNS depressants (including alcohol and illicit drugs). Advise patients not to drive or operate heavy machinery until the effects of concomitant use of the benzodiazepine or other CNS depressant have been determined. Screen patients for risk of substance use disorders, including opioid abuse and misuse, and warn them of the risk for overdose and death associated with the use of additional CNS depressants including alcohol and illicit drugs [see PRECAUTIONS; Information for Patients, Drug Interactions].
Life-Threatening Respiratory Depression in Patients with Chronic Pulmonary Disease or in Elderly, Cachectic, or Debilitated Patients
The use of Butorphanol Tartrate Nasal Spray in patients with acute or severe bronchial asthma in an unmonitored setting or in the absence of resuscitative equipment is contraindicated.
Patients with Chronic Pulmonary Disease
Butorphanol Tartrate Nasal Spray -treated patients with significant chronic obstructive pulmonary disease or cor pulmonale, and those with a substantially decreased respiratory reserve, hypoxia, hypercapnia, or pre-existing respiratory depression are at increased risk of decreased respiratory drive including apnea, even at recommended dosages of Butorphanol Tartrate Nasal Spray [see WARNINGS].
Elderly, Cachetic, or Debilitated Patients
Life-threatening respiratory depression is more likely to occur in elderly, cachectic, or debilitated patients because they may have altered pharmacokinetics or altered clearance compared to younger, healthier patients [see WARNINGS].
Monitor such patients closely, particularly when initiating and titrating Butorphanol Tartrate Nasal Spray and when Butorphanol Tartrate Nasal Spray is given concomitantly with other drugs that depress respiration [see WARNINGS]. Alternatively, consider the use of non-opioid analgesics in these patients.
Adrenal Insufficiency
Cases of adrenal insufficiency have been reported with opioid use, more often following greater than 1 month of use. Presentation of adrenal insufficiency may include non-specific symptoms and signs including nausea, vomiting, anorexia, fatigue, weakness, dizziness, and low blood pressure. If adrenal insufficiency is suspected, confirm the diagnosis with diagnostic testing as soon as possible. If adrenal insufficiency is diagnosed, treat with physiologic replacement doses of corticosteroids. Wean the patient off of the opioid to allow adrenal function to recover and continue corticosteroid treatment until adrenal function recovers. Other opioids may be tried as some cases reported use of a different opioid without recurrence of adrenal insufficiency. The information available does not identify any particular opioids as being more likely to be associated with adrenal insufficiency.
Risks of Use in Patients with Increased Intracranial Pressure, Brain Tumors, Head Injury, or Impaired Consciousness
In patients who may be susceptible to the intracranial effects of CO2 retention (e.g., those with evidence of increased intracranial pressure or brain tumors), Butorphanol Tartrate Nasal Spray may reduce respiratory drive, and the resultant CO2 retention can further increase intracranial pressure. Monitor such patients for signs of sedation and respiratory depression, particularly when initiating therapy with Butorphanol Tartrate Nasal Spray.
Opioids may also obscure the clinical course in a patient with a head injury. Avoid the use of Butorphanol Tartrate Nasal Spray in patients with impaired consciousness or coma.
Risks of Use in Patients with Gastrointestinal Conditions
Butorphanol Tartrate Nasal Spray is contraindicated in patients with gastrointestinal obstruction, including paralytic ileus.
Butorphanol in Butorphanol Tartrate Nasal Spray may cause spasm of the sphincter of Oddi. Opioids may cause increases in serum amylase. Monitor patients with biliary tract disease, including acute pancreatitis, for worsening symptoms.
Increased Risk of Seizures in Patients with Seizure Disorders
The butorphanol in Butorphanol Tartrate Nasal Spray may increase the frequency of seizures in patients with seizure disorders, and may increase the risk of seizures occuring in other clinical settings associated with seizures. Monitor patients with a history of seizure disorders for worsened seizure control during Butorphanol Tartrate Nasal Spray therapy.
Withdrawal
The use of Butorphanol Tartrate Nasal Spray, a mixed agonist/antagonist opioid analgesic, in patients who are receiving a full opioid agonist analgesic may reduce the analgesic effect and/or precipitate withdrawal symptoms. Avoid concomitant use of Butorphanol Tartrate Nasal Spray with a full opioid agonist analgesic.
When discontinuing Butorphanol Tartrate Nasal Spray, gradually taper the dosage [see DOSAGE AND ADMINISTRATION]. Do not abruptly discontinue Butorphanol Tartrate Nasal Spray [see DRUG ABUSE AND DEPENDENCE].
Cardiovascular Effects
Because butorphanol may increase the work of the heart, especially the pulmonary circuit, the use of Butorphanol Tartrate Nasal Spray in patients with acute myocardial infarction, ventricular dysfunction, or coronary insufficiency should be limited to those situations where the benefits clearly outweigh the risk [see CLINICAL PHARMACOLOGY].
Severe hypertension has been reported rarely during Butorphanol Tartrate Nasal Spray therapy. In such cases, Butorphanol Tartrate Nasal Spray should be discontinued and the hypertension treated with antihypertensive drugs. In patients who are not opioid dependent, naloxone has also been reported to be effective.
Precautions
General
Hypotension associated with syncope during the first hour of dosing with Butorphanol Tartrate Nasal Spray has been reported rarely, particularly in patients with past history of similar reactions to opioid analgesics. Therefore, patients should be advised to avoid activities with potential risks.
Risks of Driving and Operating Machinery
Butorphanol Tartrate Nasal Spray may impair the mental or physical abilities needed to perform potentially hazardous activities such as driving a car or operating machinery. Warn patients not to drive or operate dangerous machinery unless they are tolerant to the effects of Butorphanol Tartrate Nasal Spray and know how they will react to the medication [see PRECAUTIONS; Information for Patients].
Disorders of Respiratory Function or Control
Butorphanol may produce respiratory depression, especially in patients receiving other CNS active agents, or patients suffering from CNS diseases or respiratory impairment.
Hepatic and Renal Disease
In patients with hepatic or renal impairment, the initial dose sequence of Butorphanol Tartrate Nasal Spray should be limited to 1 mg followed, if needed, by 1 mg in 90 to 120 minutes. The repeat dose sequence in these patients should be determined by the patient's response rather than at fixed times but will generally be at intervals of no less than at 6 hours [see CLINICAL PHARMACOLOGY: Pharmacokinetics and Individualization of Dosage].
Information for Patients
Advise the patient to read the FDA-approved patient labeling (Medication Guide).
Addiction, Abuse, and Misuse
Inform patients that the use of Butorphanol Tartrate Nasal Spray, even when taken as recommended, can result in addiction, abuse, and misuse, which can lead to overdose and death [see WARNINGS]. Instruct patients not to share Butorphanol Tartrate Nasal Spray with others and to take steps to protect Butorphanol Tartrate Nasal Spray from theft or misuse.
Life-Threatening Respiratory Depression
Inform patients of the risk of life-threatening respiratory depression, including information that the risk is greatest when starting Butorphanol Tartrate Nasal Spray or when the dosage is increased, and that it can occur even at recommended dosages [see WARNINGS]. Advise patients how to recognize respiratory depression and to seek medical attention if breathing difficulties develop.
Accidental Exposure
Inform patients that accidental exposure, especially by children, may result in respiratory depression or death [see WARNINGS]. Instruct patients to take steps to store Butorphanol Tartrate Nasal Spray securely and to dispose of unused Butorphanol Tartrate Nasal Spray by unscrewing the cap, rinsing the bottle, and placing the parts in the waste container.
Interactions with Benzodiazepines and Other CNS Depressants
Inform patients and caregivers that potentially fatal additive effects may occur if Butorphanol Tartrate Nasal Spray is used with benzodiazepines or other CNS depressants, including alcohol, and not to use these concomitantly unless supervised by a healthcare provider [see WARNINGS, PRECAUTIONS; Drug Interactions].
Serotonin Syndrome
Inform patients that opioids could cause a rare but potentially life-threatening condition resulting from concomitant administration of serotonergic drugs. Warn patients of the symptoms of serotonin syndrome and to seek medical attention right away if symptoms develop. Instruct patients to inform their healthcare providers if they are taking, or plan to take serotonergic medications [see PRECAUTIONS; Drug Interactions].
Adrenal Insufficiency
Inform patients that opioids could cause adrenal insufficiency, a potentially life-threatening condition. Adrenal insufficiency may present with non-specific symptoms and signs such as nausea, vomiting, anorexia, fatigue, weakness, dizziness, and low blood pressure. Advise patients to seek medical attention if they experience a constellation of these symptoms [see WARNINGS].
Important Administration Instructions
Inform patients of the proper use of Butorphanol Tartrate Nasal Spray [see PATIENT INSTRUCTIONS and MEDICATION GUIDE].
Anaphylaxis
Inform patients that anaphylaxis has been reported with ingredients contained in Butorphanol Tartrate Nasal Spray. Advise patients how to recognize such a reaction and when to seek medical attention [see Contraindications, Adverse Reactions].
Pregnancy
Neonatal Opioid Withdrawal Syndrome
Inform female patients of reproductive potential that prolonged use of Butorphanol Tartrate Nasal Spray during pregnancy can result in neonatal opioid withdrawal syndrome, which may be life-threatening if not recognized and treated [see WARNINGS, PRECAUTIONS; Pregnancy].
Embryo-Fetal Toxicity
Inform female patients of reproductive potential that Butorphanol Tartrate Nasal Spray can cause fetal harm and to inform the healthcare provider of a known or suspected pregnancy [see PRECAUTIONS; Pregnancy].
Lactation
Advise nursing mothers to monitor infants for increased sleepiness (more than usual), breathing difficulties, or limpness. Instruct nursing mothers to seek immediate medical care if they notice these signs [see PRECAUTIONS; Nursing Mothers].
Infertility
Inform patients that chronic use of opioids may cause reduced fertility. It is not known whether these effects on fertility are reversible [see ADVERSE REACTIONS].
Driving or Operating Heavy Machinery
Inform patients that Butorphanol Tartrate Nasal Spray may impair the mental and/or physical abilities required for the performance of potentially hazardous tasks such as driving a car or operating machinery and to avoid such tasks while taking this product, until they know how they will react to the medication [see WARNINGS].
Constipation
Advise patients of the potential for severe constipation, including management instructions and when to seek medical attention [see Adverse Reactions].
Disposal of Unused Butorphanol Tartrate
Advise patients to dispose of butorphanol tartrate by unscrewing the cap, rinsing the bottle, and placing the parts in a waste container.
Drug Interactions
Benzodiazepine and Other Central Nervous System (CNS) Depressants
Due to additive pharmacologic effect, the concomitant use of benzodiazepines or other CNS depressants, such as alcohol, other sedative hypnotics, anxiolytics, and tranquilizers, muscle relaxants, general anesthetics, antipsychotics, and other opioids, can increase the risk of hypotension, respiratory depression, profound sedation, coma, and death.
Reserve concomitant prescribing of these drugs for use in patients for whom alternative treatment options are inadequate. Limit dosages and durations to the minimum required. Follow patients closely for signs of respiratory depression and sedation [see WARNINGS].
Serotonergic Drugs
The concomitant use of opioids with other drugs that affect the serotonergic neurotransmitter system, such as selective serotonin reuptake inhibitors (SSRIs), serotonin and norepinephrine reuptake inhibitors (SNRIs), tricyclic antidepressants (TCAs), triptans, 5-HT3 receptor antagonists, drugs that affect the serotonin neurotransmitter system (e.g., mirtazapine, trazodone, tramadol), and monoamine oxidase (MAO) inhibitors (those intended to treat psychiatric disorders and also others, such as linezolid and intravenous methylene blue), has resulted in serotonin syndrome [see PRECAUTIONS; Information for Patients].
If concomitant use is warranted, carefully observe the patient, particularly during treatment initiation and dose adjustment. Discontinue Butorphanol Tartrate Nasal Spray if serotonin syndrome is suspected.
Cytochrome P450 (CYP 450) Interactions
It is not known if the effects of Butorphanol Tartrate Nasal Spray are altered by concomitant medications that affect hepatic metabolism of drugs (CYP 450 inhibitors or inducers) (e.g., erythromycin, theophylline, etc.), but physicians should be alert to the possibility that a smaller initial dose and longer intervals between doses may be needed.
Monoamine Oxidase inhibitors (MAOIs)
No information is available about the use of butorphanol concurrently with MAO inhibitors.
Advise patient to avoid concomitant use of these drugs.
Carcinogenesis, Mutagenesis, Impairment of Fertility
Carcinogenesis
Two-year carcinogenicity studies were conducted in mice and rats given butorphanol tartrate in the diet up to 60 mg/kg/day (24 and 48 times the human daily dose of 12 mg/day based on a body surface area comparison, respectively). There was no evidence of carcinogenicity in either species in these studies.
Mutagenesis
Butorphanol was not genotoxic in the in vitro bacterial reverse mutation assay (Ames) or in an in vitro unscheduled DNA synthesis and repair assay conducted in cultured human fibroblast cells.
Impairment of fertility
In a study where male rats were treated subcutaneously with 0.5 or 2.5 mg/kg butorphanol for 75 days prior to mating to female rats treated subcutaneously with 0.5 or 2.5 mg/kg butorphanol for 14-days prior to mating and throughout gestation and lactation, no adverse effects on fertility were noted (0.4- and 2-times the human daily dose of 12 mg based on body surface area).
In a study where male rats were treated orally with 10, 40, or 160 mg/kg for 63 days prior to mating to female rats treated orally with the same doses of butorphanol for 14 days prior to mating, reduced pregnancy rates were reported in the high dose group (130-times the human daily dose of 12 mg based on body surface area).
Pregnancy
Pregnancy Category C: Reproduction studies in mice, rats, and rabbits during organogenesis did not reveal any teratogenic potential to butorphanol. However, pregnant rats treated subcutaneously with butorphanol at 1 mg/kg (5.9 mg/m2) had a higher frequency of stillbirths than controls. Butorphanol at 30 mg/kg/oral (360 mg/m2) and 60 mg/kg/oral (720 mg/m2) also showed higher incidences of post-implantation loss in rabbits.
There are no adequate and well-controlled studies of Butorphanol Tartrate Nasal Spray in pregnant women before 37 weeks of gestation. Butorphanol Tartrate Nasal Spray should be used during pregnancy only if the potential benefit justifies the potential risk to the infant.
Fetal/Neonatal Adverse Reactions
Prolonged use of opioid analgesics during pregnancy for medical or nonmedical purposes can result in physical dependence in the neonate and neonatal opioid withdrawal syndrome shortly after birth.
Neonatal opioid withdrawal syndrome presents as irritability, hyperactivity and abnormal sleep pattern, high pitched cry, tremor, vomiting, diarrhea, and failure to gain weight. The onset, duration, and severity of neonatal opioid withdrawal syndrome vary based on the specific opioid used, duration of use, timing and amount of last maternal use, and rate of elimination of the drug by the newborn. Observe newborns for symptoms of neonatal opioid withdrawal syndrome and manage accordingly [see WARNINGS].
Labor or Delivery
Opioids cross the placenta and may produce respiratory depression and psycho-physiologic effects in neonates. An opioid antagonist, such as naloxone, must be available for reversal of opioid-induced respiratory depression in the neonate. Butorphanol Tartrate Nasal Spray is not recommended for use in pregnant women during or immediately prior to labor, when other analgesic techniques are more appropriate. Opioid analgesics, including Butorphanol Tartrate Nasal Spray, can prolong labor through actions which temporarily reduce the strength, duration, and frequency of uterine contractions. However, this effect is not consistent and may be offset by an increased rate of cervical dilation, which tends to shorten labor. Monitor neonates exposed to opioid analgesics during labor for signs of excess sedation and respiratory depression.
Butorphanol Tartrate Nasal Spray is not recommended during labor or delivery because there is no clinical experience with its use in this setting.
Nursing Mothers
Although there is no clinical experience with the use of STADOL NS in nursing mothers, butorphanol has been detected in milk following administration of butorphanol tartrate injection to nursing mothers. The amount an infant would receive is probably clinically insignificant (estimated 4 mcg/L of milk in a mother receiving 2 mg IM four times a day). It should be assumed that butorphanol will appear in the milk in similar amounts following the nasal route of administration.
The developmental and health benefits of breastfeeding should be considered along with the mother’s clinical need for Butorphanol Tartrate Nasal Spray and any potential adverse effects on the breastfed infant from butorphanol or from the underlying maternal condition.
Infants exposed to Butorphanol Tartrate Nasal Spray through breast milk should be monitored for excess sedation and respiratory depression. Withdrawal symptoms can occur in breastfed infants when maternal administration of an opioid analgesic is stopped, or when breast-feeding is stopped.
Pediatric Use
Butorphanol Tartrate Nasal Spray is not recommended for use in patients below 18 years of age because safety and efficacy have not been established in this population.
Geriatric Use
Elderly patients (aged 65 years or older) may have increased sensitivity to Butorphanol Tartrate Nasal Spray.
Of the approximately 1700 patients treated with Butorphanol Tartrate Nasal Spray in clinical studies, 8% were 65 years of age or older and 2% were 75 years or older.
Due to changes in clearance, the mean half-life of butorphanol is increased by 25% (to over 6 hours) in patients over the age of 65 years [see CLINICAL PHARMACOLOGY: Pharmacokinetics]. Elderly patients may be more sensitive to the side effects of butorphanol. In clinical studies of Butorphanol Tartrate Nasal Spray, elderly patients had an increased frequency of headache, dizziness, drowsiness, vertigo, constipation, nausea and/or vomiting, and nasal congestion compared with younger patients. There are insufficient efficacy data for patients ≥65 years to determine whether they respond differently from younger patients.
Initially a 1 mg dose of Butorphanol Tartrate Nasal Spray should be generally used in geriatric patients and 90 to 120 minutes should elapse before administering a second 1 mg dose, if needed [see CLINICAL PHARMACOLOGY: Individualization of Dosage].
In general, use caution when selecting a dosage for an elderly patient, usually starting at the low end of the dosing range, reflecting the greater frequency of decreased hepatic, renal, or cardiac function and of concomitant disease or other drug therapy [see DOSAGE AND ADMINISTRATION].
Respiratory depression is the chief risk for elderly patients treated with opioids, and has occurred after large initial doses were administered to patients who were not opioid-tolerant or when opioids were co-administered with other agents that depress respiration. Titrate the dosage of Butorphanol Tartrate Nasal Spray slowly in geriatric patients and monitor closely for signs of central nervous system and respiratory depression [see WARNINGS].
This drug is known to be substantially excreted by the kidney, and the risk of adverse reactions to this drug may be greater in patients with impaired renal function. Because elderly patients are more likely to have decreased renal function, care should be taken in dose selection, and it may be useful to monitor renal function.
Adverse Reactions
Clinical Trial Experience
A total of 788 patients were studied in premarketing clinical trials of Butorphanol Tartrate Nasal Spray. In nearly all cases the type and incidence of side effects with butorphanol were those commonly observed with opioid analgesics.
The adverse experiences described below are based on data from short-term and long-term clinical trials in patients receiving intranasal butorphanol, except acute studies in normal subjects. There has been no attempt to correct for placebo effect or to subtract the frequencies reported by placebo-treated patients in controlled trials.
The most frequently reported adverse experiences across all clinical trials with Butorphanol Tartrate Nasal Spray were somnolence (49%), dizziness (23%), nausea and/or vomiting (8%). In long-term trials with Butorphanol Tartrate Nasal Spray only, nasal congestion (13%) and insomnia (11%) were frequently reported.
The following adverse experiences were reported at a frequency of 1% or greater in clinical trials, and were considered to be probably related to the use of butorphanol.
Body as a Whole: Asthenia/lethargy, headache, sensation of heat, pain.
Cardiovascular: Hypertension, hypotension
Digestive: Anorexia, constipation, dry mouth, nausea and/or vomiting, diarrhea.
Nervous: Anxiety, confusion, dizziness, euphoria, floating feeling, insomnia, nervousness, paresthesia, somnolence, tremor
Respiratory: Epistaxis, nasal congestion, nasal irritation, rhinitis, sinus congestion, sinusitis, nose pain.
Skin and Appendages: Sweating, pruritus
Special Senses: Blurred vision, ear pain, tinnitus, unpleasant taste
The following adverse experiences were reported with a frequency of less than 1% in clinical trials and were considered to be probably related to the use of butorphanol.
Cardiovascular: Hypotension, syncope
Nervous: Abnormal dreams, agitation, dysphoria, hallucinations, hostility, withdrawal symptoms
Skin and Appendages: Rash/hives
Urogenital: Impaired urination
The following infrequent additional adverse experiences were reported in a frequency of less than 1% of the patients studied in short-term butorphanol tartrate nasal spray trials or trials of butorphanol tartrate injection and under circumstances where the association between these events and butorphanol administration is unknown. They are being listed as alerting information for the physician due to their clinical significance.
Body as a Whole: edema.
Cardiovascular: chest pain, hypertension, tachycardia.
Nervous: depression.
Respiratory: shallow breathing.
Postmarketing Experience
The following adverse reactions have been identified during post approval use of Butorphanol Tartrate Nasal Spray. Because these reactions are reported voluntarily from a population of uncertain size, it is not always possible to reliably estimate their frequency or establish a causal relationship to drug exposure.
- Serotonin syndrome: Cases of serotonin syndrome, a potentially life-threatening condition, have been reported during concomitant use of opioids with serotonergic drugs.
- Adrenal insufficiency: Cases of adrenal insufficiency have been reported with opioid use, more often following greater than one month of use.
- Anaphylaxis: Anaphylaxis has been reported with ingredients contained in Butorphanol Tartrate Nasal Spray.
- Androgen deficiency: Cases of androgen deficiency have occurred with chronic use of opioids [see Clinical Pharmacology].
Drug Abuse And Dependence
Controlled Substance
Butorphanol Tartrate Nasal Spray contains butorphanol, a Schedule IV controlled substance.
Abuse
Butorphanol Tartrate Nasal Spray contains butorphanol, a substance with a high potential for abuse similar to other opioids including fentanyl, hydrocodone, hydromorphone, methadone, morphine, oxycodone, oxymorphone, and tapentadol. Butorphanol Tartrate Nasal Spray can be abused and is subject to misuse, addiction, and criminal diversion (see WARNINGS).
All patients treated with opioids require careful monitoring for signs of abuse and addiction, because use of opioid analgesic products carries the risk of addiction even under appropriate medical use.
Prescription drug abuse is the intentional non-therapeutic use of a prescription drug, even once, for its rewarding psychological or physiological effects.
Drug addiction is a cluster of behavioral, cognitive, and physiological phenomena that develop after repeated substance use and includes: a strong desire to take the drug, difficulties in controlling its use, persisting in its use despite harmful consequences, a higher priority given to drug use than to other activities and obligations, increased tolerance, and sometimes a physical withdrawal.
"Drug-seeking" behavior is very common in persons with substance use disorders. Drug-seeking tactics include emergency calls or visits near the end of office hours, refusal to undergo appropriate examination, testing, or referral, repeated "loss" of prescriptions, tampering with prescriptions, and reluctance to provide prior medical records or contact information for other treating health care provider(s). "Doctor shopping" (visiting multiple prescribers to obtain additional prescriptions) is common among drug abusers and people suffering from untreated addiction. Preoccupation with achieving adequate pain relief can be appropriate behavior in a patient with poor pain control.
Abuse and addiction are separate and distinct from physical dependence and tolerance. Health care providers should be aware that addiction may not be accompanied by concurrent tolerance and symptoms of physical dependence in all addicts. In addition, abuse of opioids can occur in the absence of true addiction.
Butorphanol Tartrate Nasal Spray, like other opioids, can be diverted for non-medical use into illicit channels of distribution. Careful record-keeping of prescribing information, including quantity, frequency, and renewal requests, as required by state and federal law, is strongly advised.
Proper assessment of the patient, proper prescribing practices, periodic re-evaluation of therapy, and proper dispensing and storage are appropriate measures that help to limit abuse of opioid drugs.
Risks Specific to Abuse of Butorphanol Tartrate Nasal Spray
Butorphanol tartrate, by all routes of administration, has been associated with episodes of abuse. Of the cases received, there were more reports of abuse with the nasal spray formulation than with the injectable formulation. Abuse of Butorphanol Tartrate Nasal Spray poses a risk of overdose and death. The risk is increased with concurrent abuse of alcohol and other substances.
Parenteral drug abuse is commonly associated with transmission of infectious diseases such as hepatitis and HIV.
Dependence
Both tolerance and physical dependence can develop during chronic opioid therapy. Tolerance is the need for increasing doses of opioids to maintain a defined effect such as analgesia (in the absence of disease progression or other external factors). Tolerance may occur to both the desired and undesired effects of drugs, and may develop at different rates for different effects.
Physical dependence results in withdrawal symptoms after abrupt discontinuation or a significant dosage reduction of a drug. Withdrawal also may be precipitated through the administration of drugs with opioid antagonist activity (e.g., naloxone, nalmefene), mixed agonist/antagonist analgesics (e.g., pentazocine, butorphanol, nalbuphine), or partial agonists (e.g., buprenorphine) [see WARNINGS]. Physical dependence may not occur to a clinically significant degree until after several days to weeks of continued opioid usage.
Butorphanol Tartrate Nasal Spray should not be abruptly discontinued in a physically-dependent patient [see DOSAGE AND ADMINISTRATION]. If Butorphanol Tartrate Nasal Spray is abruptly discontinued in a physically dependent patient, a withdrawal syndrome may occur. Some or all of the following can characterize this syndrome: restlessness, lacrimation, rhinorrhea, yawning, perspiration, chills, myalgia, and mydriasis. Other signs and symptoms also may develop, including irritability, anxiety, backache, joint pain, weakness, abdominal cramps, insomnia, nausea, anorexia, vomiting, diarrhea, or increased blood pressure, respiratory rate, or heart rate.
Infants born to mothers physically dependent on opioids will also be physically dependent and may exhibit respiratory difficulties and withdrawal signs [see PRECAUTIONS; Pregnancy].
Overdosage
Clinical Presentation
Acute overdose with Butorphanol Tartrate Nasal Spray can be manifested by respiratory depression, somnolence progressing to stupor or coma, skeletal muscle flaccidity, cold and clammy skin, constricted pupils, and, in some cases, pulmonary edema, bradycardia, hypotension, partial or complete airway obstruction, atypical snoring, and death. Marked mydriasis rather than miosis may be seen with hypoxia in overdose situations.
Treatment of Overdose
In case of overdose, priorities are the reestablishment of a patent and protected airway and institution of assisted or controlled ventilation, if needed. Employ other supportive measures (including oxygen and vasopressors) in the management of circulatory shock and pulmonary edema as indicated. Cardiac arrest or arrhythmias will require advanced life-support techniques.
The opioid antagonist, naloxone or nalmefene, are specific antidotes to respiratory depression resulting from opioid overdose. For clinically significant respiratory or circulatory depression secondary to butorphanol tartrate overdose, administer an opioid antagonist. As butorphanol is a mixed opioid agonist/antagonist, larger doses of naloxone or nalmefene may be needed to reverse the effects of an overdose.
Opioid antagonists should not be administered in the absence of clinically significant respiratory or circulatory depression secondary to butorphanol tartrate overdose.
Because the duration of opioid reversal is expected to be less than the duration of action of butorphanol in Butorphanol Tartrate Nasal Spray, carefully monitor the patient until spontaneous respiration is reliably re-established. If the response to an opioid antagonist is suboptimal or only brief in nature, administer additional antagonist as directed by the product’s prescribing information.
In an individual physically dependent on opioids, administration of the recommended usual dosage of the antagonist will precipitate an acute withdrawal syndrome. The severity of the withdrawal symptoms experienced will depend on the degree of physical dependence and the dose of the antagonist administered. If a decision is made to treat serious respiratory depression in the physically dependent patient, administration of the antagonist should be initiated with care and by titration with smaller than usual doses of the antagonist.
Dosage And Administration
Important Dosage and Administration Instructions
Use the lowest effective dosage for the shortest duration consistent with individual patient treatment goals [see WARNINGS].
Initiate the dosing regimen for each patient individually, taking into account the patient's severity of pain, patient response, prior analgesic treatment experience, and risk factors for addiction, abuse, and misuse [see WARNINGS].
Monitor patients closely for respiratory depression, especially within the first 24 to 72 hours of initiating therapy and following dosage increases with Butorphanol Tartrate Nasal Spray and adjust the dosage accordingly [see WARNINGS].
Initial Dosage
Use of Butorphanol Tartrate Nasal Spray as the first Opioid Analgesic
Factors to be considered in determining the dose are age, body weight, physical status, underlying pathological condition, use of other drugs, type of anesthesia to be used, and surgical procedure involved. Use in the elderly and in patients with hepatic or renal disease requires extra caution (see PRECAUTIONS and CLINICAL PHARMACOLOGY: Individualization of Dosage). The following doses are for patients who do not have impaired hepatic or renal function and who are not on CNS active agents.
Use for Pain: The usual recommended dose for initial nasal administration of Butorphanol Tartrate Nasal Spray is 1 mg (1 spray in one nostril). Adherence to this dose reduces the incidence of drowsiness and dizziness. If adequate pain relief is not achieved within 60 to 90 minutes, an additional 1 mg dose may be given.
The initial dose sequence outlined above may be repeated in 3 to 4 hours as required after the second dose of the sequence.
Depending on the severity of the pain, an initial dose of 2 mg (1 spray in each nostril) may be used in patients who will be able to remain recumbent in the event drowsiness or dizziness occurs. In such patients single additional 2 mg doses should not be given for 3 to 4 hours.
Use in Balanced Anesthesia: The use of Butorphanol Tartrate Nasal Spray is not recommended because it has not been studied in induction or maintenance of anesthesia.
Labor: The use of Butorphanol Tartrate Nasal Spray is not recommended as it has not been studied in labor.
Conversion from Other Opioids to Butorphanol Tartrate Nasal Spray
There is inter-patient variability in the potency of opioid drugs and opioid formulations. Therefore, a conservative approach is advised when determining the total daily dosage of Butorphanol Tartrate Nasal Spray. It is safer to underestimate a patient’s 24-hour Butorphanol Tartrate Nasal Spray dosage than to overestimate the 24-hour butorphanol dosage and manage an adverse reaction due to overdose.
Dosage Modifications in Elderly Patients and Patients with Renal or Hepatic Impairment
The initial dose sequence in elderly patients and patients with hepatic or renal impairment should be limited to 1 mg followed, if needed, by 1 mg in 90 to 120 minutes. The repeat dose sequence should be determined by the patient’s response rather than at fixed times but will generally be no less than at 6 hours intervals [see CLINICAL PHARMACOLOGY: Individualization of Dosage and PRECAUTIONS].
Titration and Maintenance of Therapy
Individually titrate Butorphanol Tartrate Nasal Spray to a dose that provides adequate analgesia and minimizes adverse reactions. Continually reevaluate patients receiving Butorphanol Tartrate Nasal Spray to assess the maintenance of pain control and the relative incidence of adverse reactions, as well as monitoring for the development of addiction, abuse, or misuse [see WARNINGS]. Frequent communication is important among the prescriber, other members of the healthcare team, the patient, and the caregiver/family during periods of changing analgesic requirements, including initial titration.
If the level of pain increases after dosage stabilization, attempt to identify the source of increased pain before increasing the Butorphanol Tartrate Nasal Spray dosage. If unacceptable opioid-related adverse reactions are observed, consider reducing the dosage. Adjust the dosage to obtain an appropriate balance between management of pain and opioid-related adverse reactions.
Discontinuation of Butorphanol Tartrate
When a patient who has been taking Butorphanol Tartrate Nasal Spray regularly and may be physically dependent no longer requires therapy with Butorphanol Tartrate Nasal Spray, taper the dose gradually, by 25% to 50% every 2 to 4 days, while monitoring carefully for signs and symptoms of withdrawal. If the patient develops these signs or symptoms, raise the dose to the previous level and taper more slowly, either by increasing the interval between decreases, decreasing the amount of change in dose, or both. Do not abruptly discontinue Butorphanol Tartrate Nasal Spray in a physically-dependent patient [see WARNINGS, DRUG ABUSE AND DEPENDENCE].
Safety and Handling
Butorphanol tartrate nasal spray is an open delivery system with increased risk of exposure to health care workers.
In the priming process, a certain amount of butorphanol may be aerosolized; therefore, the pump sprayer should be aimed away from the patient or other people or animals.
The disposal of Schedule IV controlled substances must be consistent with State and Federal Regulations. The unit should be disposed of by unscrewing the cap, rinsing the bottle, and placing the parts in a waste container.
How Supplied
Butorphanol Tartrate Nasal Spray, USP is supplied in a child-resistant plastic container containing a 2.5 mL bottle of nasal spray solution (10 mg/mL) and a metered-dose spray pump with protective clip and dust cover, a bottle of nasal spray solution, and a patient instruction leaflet and medication guide. On average, one bottle will deliver 14 to 15 doses if no repriming is necessary.
Butorphanol Tartrate Nasal Spray USP, 10 mg/mL
NDC 60505-0813-1 - 10 mg per mL, 2.5 mL bottle
Storage Conditions
Store at 20° to 25°C (68° to 77°F) [see USP Controlled Room Temperature].
1IMITREX® is a registered trademark of Glaxo-Wellcome, Inc.
PHARMACIST ASSEMBLY INSTRUCTIONS FOR BUTORPHANOL TARTRATE NASAL SPRAY, USP
The pharmacist will assemble butorphanol tartrate nasal spray prior to dispensing to the patient, according to the following instructions:
1. Open the child-resistant plastic container and remove the spray pump and solution bottle.
2. Assemble butorphanol tartrate nasal spray by first unscrewing the white cap from the solution bottle and screwing the pump unit tightly onto the bottle. Make sure the clear cover is on the pump unit.
3. Return the butorphanol tartrate nasal spray bottle to the child-resistant plastic container for dispensing to the patient with patient instruction leaflet and medication guide.
APOTEX INC.
BUTORPHANOL TARTRATE NASAL SPRAY, USP
10 mg/mL
| Manufactured by | Manufactured for |
| Apotex Inc. | Apotex Corp. |
| Toronto, Ontario | Weston, FL |
| Canada M9L 1T9 | 33326 |
Revised January 2017
Patient Instructions
for BUTORPHANOL TARTRATE NASAL SPRAY, USP 10 mg/mL
(bue-TOR-fa-nol TAR-trate)
PATIENT INSTRUCTIONS
Take medication as directed by your physician. For proper use of the nasal spray, read the following instructions carefully.
NOTE: BOTTLES DO NOT APPEAR "FULL". THEY ARE PRE-FILLED TO DELIVER ON AVERAGE 14 TO 15 ONE (1) MG DOSES. (THE USUAL DOSE IS 1 MG-ONE SPRAY IN ONE NOSTRIL.)
THE UNIT MUST BE PRIMED WITH ONE OR TWO STROKES IF NOT USED FOR 48 HOURS OR LONGER.
Note: With intermittent use requiring repriming before each dose, the 2.5 mL bottle will deliver an average of 8 to 10 doses of butorphanol tartrate nasal spray.
When not in use, store spray unit in child-resistant container. Butorphanol tartrate nasal spray should not be used by anyone other than the person for whom it was prescribed. To prevent this, and to reduce the chance of children taking the drug it is important to dispose of any excess butorphanol tartrate nasal spray just as soon as it is no longer needed.
The best way to safely dispose of the unit is to unscrew the cap, rinse the bottle and spray assembly under the water faucet, and dispose of the parts in a waste can where children cannot easily get to them.
Figure 1
1. Blow nose gently to clear both nostrils.
Figure 2
2. Pull clear cover off pump unit. Remove protective clip from neck of pump unit.
Figure 3
3. Prime butorphanol tartrate nasal spray by placing nozzle between first and second finger with thumb on the bottom of bottle. Pump sprayer unit FIRMLY and QUICKLY until a fine spray appears (up to 7 to 8 strokes).
Figure 4
4. Insert spray tip approximately 1 cm (width of small finger) into one nostril, pointing the tip toward the back of the nose.
Figure 5
5. Close other nostril with your forefinger and tilt head slightly forward.
Figure 6
6. Pump spray unit firmly and quickly by pushing down on the "finger grips" of the pump unit and against the thumb at the bottom of the bottle. Sniff gently with your mouth closed.
Figure 7
7. After spraying, remove pump unit from nose. Tilt your head backwards and sniff gently a few more seconds.
8. Your doctor will tell you whether a two spray dose is needed. If needed, administer a second spray in the other nostril, following steps 4 through 7. Replace protective clip and clear cover, respectively, (Fig. 2) after each dose.
USUAL DOSE: ONE Spray. Spray ONLY ONCE into ONLY ONE nostril.
DO NOT spray into both nostrils unless directed by your doctor.
DO NOT repeat sooner than directed by your doctor.
APOTEX INC.
BUTORPHANOL TARTRATE NASAL SPRAY, USP
10 mg/mL
| Manufactured by Apotex Inc. Toronto, Ontario Canada M9L 1T9 | Manufactured for Apotex Corp. Weston, FL 33326 |
Revised January 2017
Medication Guide
Butorphanol Tartrate Nasal Spray, USP 10 mg/mL
(bue-TOR-fa-nol TAR-trate),
Butorphanol Tartrate Nasal Spray is:
- A strong prescription pain medicine that contains an opioid (narcotic) that is used to manage pain when other pain treatments such as non-opioid pain medicines do not treat your pain well enough or you cannot tolerate them.
- An opioid pain medicine that can put you at risk for overdose and death. Even if you take your dose correctly as prescribed you are at risk for opioid addiction, abuse, and misuse that can lead to death.
- Get emergency help right away if you take too much Butorphanol Tartrate Nasal Spray (overdose). When you first start taking Butorphanol Tartrate Nasal Spray, when your dose is changed, or if you take too much (overdose), serious or life-threatening breathing problems that can lead to death may occur.
- Taking Butorphanol Tartrate Nasal Spray with other opioid medicines, benzodiazepines, alcohol, or other central nervous system depressants (including street drugs) can cause severe drowsiness, decreased awareness, breathing problems, coma and death.
- Never give anyone else your Butorphanol Tartrate Nasal Spray. They could die from taking it. Store Butorphanol Tartrate Nasal Spray away from children and in a safe place to prevent stealing or abuse. Selling or giving away Butorphanol Tartrate Nasal Spray is against the law.
- Severe asthma, trouble breathing, or other lung problems.
- A bowel blockage or have narrowing of the stomach or intestines.
- Previously had an allergic reaction to butorphanol or the preservative benzethonium chloride
- head injury, seizures
- liver, kidney, thyroid problems
- problems urinating
- pancreas or gallbladder problems
- abuse of street or prescription drugs, alcohol addiction, or mental health problems
- Pregnant or planning to become pregnant. Prolonged use of Butorphanol Tartrate Nasal Spray during pregnancy can cause withdrawal symptoms in your newborn baby that could be life-threatening if not recognized and treated.
- Breastfeeding. Butorphanol Tartrate Nasal Spray passes into breast milk and may harm your baby.
- Taking prescription or over-the-counter medicines, vitamins, or herbal supplements. Taking Butorphanol Tartrate Nasal Spray with certain other medicines can cause serious side effects that could lead to death.
- Do not change your dose. Take Butorphanol Tartrate Nasal Spray exactly as prescribed by your healthcare provider.
- See the detailed Patient Instructions for information about how to take Butorphanol Tartrate Nasal Spray. Use the lowest dose possible for the shortest time needed.
- Take your prescribed dose as instructed by your healthcare provider. Do not take more than your prescribed dose. If you miss a dose, take your next dose at your usual time.
- Call your healthcare provider if the dose you are taking does not control your pain.
- If you have been taking Butorphanol Tartrate Nasal Spray regularly, do not stop taking Butorphanol Tartrate Nasal Spray without talking to your healthcare provider.
- After you stop taking Butorphanol Tartrate Nasal Spray, dispose of unused Butorphanol Tartrate Nasal Spray by unscrewing the cap, rinsing the bottle, and placing the parts in a waste container.
- Drive or operate heavy machinery, until you know how Butorphanol Tartrate Nasal Spray affects you. Butorphanol Tartrate Nasal Spray can make you sleepy, dizzy, or lightheaded.
- Drink alcohol or use prescription or over-the-counter medicines that contain alcohol. Using products containing alcohol during treatment with Butorphanol Tartrate Nasal Spray may cause you to overdose and die.
- Constipation, nausea, sleepiness, vomiting, tiredness, headache, dizziness, abdominal pain. Call your healthcare provider if you have any of these symptoms and they are severe.
- trouble breathing, shortness of breath, fast heartbeat, chest pain, swelling of your face, tongue, or throat, extreme drowsiness, light-headedness when changing positions, feeling faint, agitation, high body temperature, trouble walking, stiff muscles, or mental changes such as confusion.
Important information about Butorphanol Tartrate Nasal Spray:
Do not take Butorphanol Tartrate Nasal Spray if you have:
Before taking Butorphanol Tartrate Nasal Spray, tell your healthcare provider if you have a history of:
Tell your healthcare provider if you are:
When taking Butorphanol Tartrate Nasal Spray:
While taking Butorphanol Tartrate Nasal Spray DO NOT:
The possible side effects of Butorphanol Tartrate Nasal Spray:
Get emergency medical help if you have:
These are not all the possible side effects of Butorphanol Tartrate Nasal Spray. Call your doctor for medical advice about side effects. You may report side effects to FDA at 1-800-FDA-1088. For more information go to dailymed.nlm.nih.gov
This Medication Guide has been approved by the U.S. Food and Drug Administration.
KEEP OUT OF THE REACH OF CHILDREN.
APOTEX INC.
BUTORPHANOL TARTRATE NASAL SPRAY, USP
10 mg/mL
| Manufactured by | Manufactured for |
| Apotex Inc. | Apotex Corp. |
| Toronto, Ontario | Weston, FL |
| Canada M9L 1T9 | 33326 |
Revised January 2017
* Please review the disclaimer below.


