FDA Label for Dasatinib
View Indications, Usage & Precautions
- 1 INDICATIONS AND USAGE
- 2 DOSAGE AND ADMINISTRATION
- 2.1 DOSAGE OF DASATINIB TABLETS IN ADULT PATIENTS
- 2.2 DOSAGE OF DASATINIB TABLETS IN PEDIATRIC PATIENTS WITH CML OR PH+ ALL
- 2.3 DOSE MODIFICATION
- 2.4 DOSE ESCALATION IN ADULTS WITH CML AND PH+ ALL, AND PEDIATRIC PATIENTS WITH CML
- MYELOSUPPRESSION
- NON-HEMATOLOGIC ADVERSE REACTIONS
- 2.6 DURATION OF TREATMENT
- 3 DOSAGE FORMS AND STRENGTHS
- 4 CONTRAINDICATIONS
- 5.1 MYELOSUPPRESSION
- 5.2 BLEEDING-RELATED EVENTS
- 5.3 FLUID RETENTION
- 5.4 CARDIOVASCULAR TOXICITY
- 5.5 PULMONARY ARTERIAL HYPERTENSION
- 5.6 QT PROLONGATION
- 5.7 SEVERE DERMATOLOGIC REACTIONS
- 5.8 TUMOR LYSIS SYNDROME
- 5.9 EMBRYO-FETAL TOXICITY
- 5.10 EFFECTS ON GROWTH AND DEVELOPMENT IN PEDIATRIC PATIENTS
- 5.11 HEPATOTOXICITY
- 6 ADVERSE REACTIONS
- 6.1 CLINICAL TRIALS EXPERIENCE
- CHRONIC MYELOID LEUKEMIA (CML)
- LABORATORY ABNORMALITIES
- PHILADELPHIA CHROMOSOME-POSITIVE ACUTE LYMPHOBLASTIC LEUKEMIA (PH+ ALL) IN ADULTS
- 6.2 POSTMARKETING EXPERIENCE
- 7.1 EFFECT OF OTHER DRUGS ON DASATINIB
- RISK SUMMARY
- 8.2 LACTATION
- 8.3 FEMALES AND MALES OF REPRODUCTIVE POTENTIAL
- 8.4 PEDIATRIC USE
- 8.5 GERIATRIC USE
- 10 OVERDOSAGE
- 11 DESCRIPTION
- 12.1 MECHANISM OF ACTION
- 12.2 PHARMACODYNAMICS
- 12.3 PHARMACOKINETICS
- ABSORPTION
- DISTRIBUTION
- METABOLISM
- SPECIFIC POPULATIONS
- DRUG INTERACTION STUDIES
- 13.1 CARCINOGENESIS, MUTAGENESIS, IMPAIRMENT OF FERTILITY
- 14.1 NEWLY DIAGNOSED CHRONIC PHASE CML IN ADULTS
- 14.2 IMATINIB-RESISTANT OR -INTOLERANT CML OR PH+ ALL IN ADULTS
- CHRONIC PHASE CML
- ADVANCED PHASE CML AND PH+ ALL
- 14.3 CML IN PEDIATRIC PATIENTS
- 14.4 PH+ ALL IN PEDIATRIC PATIENTS
- 15 REFERENCES
- 17 PATIENT COUNSELING INFORMATION
- PATIENT INFORMATION
- PRINCIPAL DISPLAY PANEL 20 MG
- PRINCIPAL DISPLAY PANEL 50 MG
- PRINCIPAL DISPLAY PANEL 70 MG
- PRINCIPAL DISPLAY PANEL 100 MG
Dasatinib Product Label
The following document was submitted to the FDA by the labeler of this product Apotex Corp.. The document includes published materials associated whith this product with the essential scientific information about this product as well as other prescribing information. Product labels may durg indications and usage, generic names, contraindications, active ingredients, strength dosage, routes of administration, appearance, warnings, inactive ingredients, etc.
1 Indications And Usage
Dasatinib tablets are indicated for the treatment of adult patients with
• newly diagnosed Philadelphia chromosome-positive (Ph+) chronic myeloid leukemia (CML) in chronic phase.
• chronic, accelerated, or myeloid or lymphoid blast phase Ph+ CML with resistance or intolerance to prior therapy including imatinib.
• Philadelphia chromosome-positive acute lymphoblastic leukemia (Ph+ ALL) with resistance or intolerance to prior therapy.
Dasatinib tablets are indicated for the treatment of pediatric patients 1 year of age and older with
- Ph+ CML in chronic phase.
- newly diagnosed Ph+ ALL in combination with chemotherapy.
2 Dosage And Administration
2.1 Dosage Of Dasatinib Tablets In Adult Patients
The recommended starting dosage of dasatinib tablets for chronic phase CML in adults is 100 mg administered orally once daily. The recommended starting dosage of dasatinib tablets for accelerated phase CML, myeloid or lymphoid blast phase CML, or Ph+ ALL in adults is 140 mg administered orally once daily. Tablets should not be crushed, cut, or chewed; they should be swallowed whole. Dasatinib tablets can be taken with or without a meal, either in the morning or in the evening.
2.2 Dosage Of Dasatinib Tablets In Pediatric Patients With Cml Or Ph+ All
The recommended starting dosage for pediatrics is based on body weight as shown in Table 1. The recommended dose should be administered orally once daily with or without food. Recalculate the dose every 3 months based on changes in body weight, or more often if necessary.
Do not crush, cut or chew tablets. Swallow tablets whole. There are additional administration considerations for pediatric patients who have difficulty swallowing tablets whole [see Use in Specific Populations (8.4) and Clinical Pharmacology (12.3)].
Table 1: Dosage of Dasatinib Tablets for Pediatric Patientsa
| Body Weight (kg)b | Daily Dose (mg) |
| 10 to less than 20 | 40 mg |
| 20 to less than 30 | 60 mg |
| 30 to less than 45 | 70 mg |
| at least 45 | 100 mg |
a For pediatric patients with Ph+ ALL, begin dasatinib therapy on or before day 15 of induction chemotherapy, when diagnosis is confirmed and continue for 2 years.
b Tablet dosing is not recommended for patients weighing less than 10 kg.
Refer to Section 2.4 for recommendations on dose escalation in adults with CML and Ph+ ALL, and pediatric patients with CML.
2.3 Dose Modification
Strong CYP3A4 Inducers Avoid the use of concomitant strong CYP3A4 inducers and St. John's wort. If patients must be coadministered a strong CYP3A4 inducer, consider a dasatinib tablet dose increase. If the dose of dasatinib tablets is increased, monitor the patient carefully for toxicity [see Drug Interactions (7.1)].
Strong CYP3A4 Inhibitors Avoid the use of concomitant strong CYP3A4 inhibitors and grapefruit juice. Recommend selecting an alternate concomitant medication with no or minimal enzyme inhibition potential, if possible. If dasatinib tablets must be administered with a strong CYP3A4 inhibitor, consider a dose decrease to:
- 40 mg daily for patients taking dasatinib tablets 140 mg daily.
- 20 mg daily for patients taking dasatinib tablets 100 mg daily.
- 20 mg daily for patients taking dasatinib tablets 70 mg daily.
For patients taking dasatinib tablets 60 mg or 40 mg daily, consider interrupting dasatinib tablets until the inhibitor is discontinued. Allow a washout period of approximately 1 week after the inhibitor is stopped before reinitiating dasatinib tablets.
These reduced doses of dasatinib tablets are predicted to adjust the area under the curve (AUC) to the range observed without CYP3A4 inhibitors; however, clinical data are not available with these dose adjustments in patients receiving strong CYP3A4 inhibitors. If dasatinib tablets are not tolerated after dose reduction, either discontinue the strong CYP3A4 inhibitor or interrupt dasatinib tablets until the inhibitor is discontinued. Allow a washout period of approximately 1 week after the inhibitor is stopped before the dasatinib tablets dose is increased [see Drug Interactions (7.1)].
2.4 Dose Escalation In Adults With Cml And Ph+ All, And Pediatric Patients With Cml
For adult patients with CML and Ph+ ALL, consider dose escalation to 140 mg once daily (chronic phase CML) or 180 mg once daily (advanced phase CML and Ph+ ALL) in patients who do not achieve a hematologic or cytogenetic response at the recommended starting dosage. For pediatric patients with CML, consider dose escalation to 120 mg once daily (see Table 2 below). Dose escalation is not recommended for pediatric patients with Ph+ ALL, where dasatinib tablets is administered in combination with chemotherapy.
Escalate the dasatinib tablets dose as shown in Table 2 in pediatric patients with chronic phase CML who do not achieve a hematologic or cytogenetic response at the recommended starting dosage.
Table 2: Dose Escalation for Pediatric CML
| Formulation | Dose (maximum dose per day) | |
| Starting Dose | Escalation | |
| Tablets | 40 mg | 50 mg |
| 60 mg | 70 mg | |
| 70 mg | 90 mg | |
| 100 mg | 120 mg | |
Myelosuppression
In clinical studies, myelosuppression was managed by dose interruption, dose reduction, or discontinuation of study therapy. Hematopoietic growth factor has been used in patients with resistant myelosuppression. Guidelines for dose modifications for adult and pediatric patients are summarized in Tables 3 and 4, respectively.
Table 3: Dose Adjustments for Neutropenia and Thrombocytopenia in Adults
| Chronic Phase CML (starting dose 100 mg once daily) | ANC*< 0.5 X 109/L or Platelets < 50 x 109/L | 1. Stop dasatinib tablets until ANC ≥1.0 × 109/L and platelets ≥50 × 109/L. 2. Resume treatment with dasatinib tablets at the original starting dose if recovery occurs in ≤7 days. 3. If platelets <25 × 109/L or recurrence of ANC <0.5 × 109/L for >7 days, repeat Step 1 and resume dasatinib tablets at a reduced dose of 80 mg once daily for second episode. For third episode, further reduce dose to 50 mg once daily (for newly diagnosed patients) or discontinue dasatinib tablets (for patients resistant or intolerant to prior therapy including imatinib). |
| Accelerated Phase CML, Blast Phase CML and Ph+ ALL (starting dose 140 mg once daily) | ANC*< 0.5 X 109/L or Platelets <10 × 109/L | 1. Check if cytopenia is related to leukemia (marrow aspirate or biopsy). 2. If cytopenia is unrelated to leukemia, stop dasatinib tablets until ANC ≥1.0 × 109/L and platelets ≥20 × 109/L and resume at the original starting dose. 3. If recurrence of cytopenia, repeat Step 1 and resume dasatinib tablets at a reduced dose of 100 mg once daily (second episode) or 80 mg once daily (third episode). 4. If cytopenia is related to leukemia, consider dose escalation to 180 mg once daily. |
*ANC: absolute neutrophil count
Table 4: Dose Adjustments for Neutropenia and Thrombocytopenia in Pediatric Patients with Ph+ CML
| Dose (maximum dose per day) | |||||||
| 1. If cytopenia persists for more than 3 weeks, check if cytopenia is related to leukemia (marrow aspirate or biopsy). 2. If cytopenia is unrelated to leukemia, stop dasatinib tablets until ANC* ≥1.0 × 109/L and platelets ≥75 × 109/L and resume at the original starting dose or at a reduced dose. 3. If cytopenia recurs, repeat marrow aspirate/biopsy and resume dasatinib tablets at a reduced dose. | Original Starting Dose | One-Level Dose Reduction | Two-Level Dose Reduction | ||||
| Tablets | 40 mg | 20 mg | ** | ||||
| 60 mg | 40 mg | 20 mg | |||||
| 70 mg | 60 mg | 50 mg | |||||
| 100 mg | 80 mg | 70 mg | |||||
*ANC: absolute neutrophil count
** lower tablet dose not available
For pediatric patients with chronic phase CML, if Grade ≥ 3 neutropenia or thrombocytopenia recurs during complete hematologic response (CHR), interrupt dasatinib tablets and resume at a reduced dose. Implement temporary dose reductions for intermediate degrees of cytopenia and disease response as needed.
For pediatric patients with Ph+ ALL, if neutropenia and/or thrombocytopenia result in a delay of the next block of treatment by more than 14 days, interrupt dasatinib tablets and resume at the same dose level once the next block of treatment is started. If neutropenia and/or thrombocytopenia persist and the next block of treatment is delayed another 7 days, perform a bone marrow assessment to assess cellularity and percentage of blasts. If marrow cellularity is <10%, interrupt treatment with dasatinib tablets until ANC >500/microL (0.5 x 109/L), at which time treatment may be resumed at full dose. If marrow cellularity is >10%, resumption of treatment with dasatinib tablets may be considered.
Non-Hematologic Adverse Reactions
For adults with Ph+ CML and ALL, and pediatric patients with Ph+ CML, if a severe non-hematologic adverse reaction develops with dasatinib use, treatment must be withheld until the adverse reaction has resolved or improved. Thereafter, treatment can be resumed as appropriate at a reduced dose depending on the severity and recurrence [see Warnings and Precautions (5)].
For pediatric patients with Ph+ ALL, interrupt treatment for cases of grade ≥3 non-hematologic adverse reactions with the exception of liver function test abnormalities, and resume at a reduced dose when resolved to grade ≤1. For elevated direct bilirubin over 5 times the institutional upper limit of normal (ULN), interrupt treatment until improvement to baseline or grade ≤1. For elevated AST/ALT over 15 times the institutional ULN, interrupt treatment until improvement to baseline or grade <1. For recurrent liver function test abnormalities as above, reduce the dose if this adverse reaction recurs after reinitiation of dasatinib tablets. Dose reduction recommendations are described in Table 5.
Table 5: Dose Adjustments for Non-Hematologic Toxicities in Pediatric Patients
| Dose (maximum dose per day) | ||||
| 1.If a non-hematologic toxicity grade 2 occurs, consider interrupting dasatinib tablets if no recovery despite symptomatic therapy; once recovered to grade ≤1, resume at the original starting dose. Resume dasatinib tablets at a reduced dose for recurrent events. | Tablets | Original Starting Dose | One-LevelDose Reduction | Two-LevelDose Reduction |
| 2. If a non-hematologic toxicity grade 3 occurs, stop dasatinib tablets until recovery to grade ≤1 and then resume at a reduced dose. | 40 mg 60 mg 70 mg 100 mg | 20 mg 40 mg 60 mg 80 mg | ** 20 mg 50 mg 70 mg | |
| 3. If direct bilirubin is >5 ULN or AST/ALT >15 ULN, interrupt dasatinib tablets until recovery to grade ≤1 and then resume dasatinib tablets at the original starting dose. Resume dasatinib tablets at a reduced dose for recurrent hepatotoxicity. | ||||
** lower tablet dose not available
2.6 Duration Of Treatment
In clinical studies, treatment with dasatinib in adults and in pediatric patients with chronic phase CML was continued until disease progression or until no longer tolerated by the patient. The effect of stopping treatment on long-term disease outcome after the achievement of a cytogenetic response (including complete cytogenetic response [CCyR]) or major molecular response (MMR and MR4.5) has not been established.
In clinical studies, treatment with dasatinib tablets in pediatric patients with Ph+ ALL was administered for a maximum duration of 2 years [see Dosage and Administration (2.2) and Clinical Studies (14.4)].
Dasatinib tablets are a hazardous product. Follow applicable special handling and disposal procedures.1
3 Dosage Forms And Strengths
Dasatinib Tablets are available as 20 mg, 50 mg, 70 mg, and 100 mg. white to off-white, biconvex, film-coated tablets.
4 Contraindications
None.
5.1 Myelosuppression
Treatment with dasatinib is associated with severe (NCI CTCAE Grade 3 or 4) thrombocytopenia, neutropenia, and anemia, which occur earlier and more frequently in patients with advanced phase CML or Ph+ ALL than in patients with chronic phase CML [see Adverse Reactions (6.1)].
In patients with chronic phase CML, perform complete blood counts (CBCs) every 2 weeks for 12 weeks, then every 3 months thereafter, or as clinically indicated. In patients with advanced phase CML or Ph+ ALL, perform CBCs weekly for the first 2 months and then monthly thereafter, or as clinically indicated.
In pediatric patients with Ph+ ALL treated with dasatinib tablets in combination with chemotherapy, perform CBCs prior to the start of each block of chemotherapy and as clinically indicated. During the consolidation blocks of chemotherapy, perform CBCs every 2 days until recovery.
Myelosuppression is generally reversible and usually managed by withholding dasatinib temporarily and/or dose reduction [see Dosage and Administration (2.5)].
5.2 Bleeding-Related Events
Dasatinib can cause serious and fatal bleeding. In all CML or Ph+ ALL clinical studies, Grade ≥3 central nervous system (CNS) hemorrhages, including fatalities, occurred in <1% of patients receiving dasatinib. The incidence of Grade 3/4 hemorrhage occurred in 5.8% of adult patients and generally required treatment interruptions and transfusions. The incidence of Grade 5 hemorrhage occurred in 0.4% of adult patients. The most frequent site of hemorrhage was gastrointestinal [see Adverse Reactions (6.1)]. Most bleeding events in clinical studies were associated with severe thrombocytopenia. In addition to causing thrombocytopenia in human subjects, dasatinib caused platelet dysfunction in vitro.
Concomitant medications that inhibit platelet function or anticoagulants may increase the risk of hemorrhage.
5.3 Fluid Retention
Dasatinib may cause fluid retention [see Adverse Reactions (6.1)]. After 5 years of follow-up in the adult randomized newly diagnosed chronic phase CML study (n=258), Grade 3 or 4 fluid retention was reported in 5% of patients, including 3% of patients with Grade 3 or 4 pleural effusion. In adult patients with newly diagnosed or imatinib-resistant or -intolerant chronic phase CML, Grade 3 or 4 fluid retention occurred in 6% of patients treated with dasatinib at the recommended dose (n=548). In adult patients with advanced phase CML or Ph+ ALL treated with dasatinib at the recommended dose (n=304), Grade 3 or 4 fluid retention was reported in 8% of patients, including Grade 3 or 4 pleural effusion reported in 7% of patients. In pediatric patients with chronic phase CML, cases of Grade 1 or 2 fluid retention were reported in 10.3% of patients.
Evaluate patients who develop symptoms of pleural effusion or other fluid retention, such as new or worsened dyspnea on exertion or at rest, pleuritic chest pain, or dry cough, promptly with a chest x-ray or additional diagnostic imaging as appropriate. Fluid retention events were typically managed by supportive care measures that may include diuretics or short courses of steroids. Severe pleural effusion may require thoracentesis and oxygen therapy. Consider dose reduction or treatment interruption [see Dosage and Administration (2.5)].
5.4 Cardiovascular Toxicity
Dasatinib can cause cardiac dysfunction [see Adverse Reactions (6.1)]. After 5 years of follow-up in the randomized newly diagnosed chronic phase CML trial in adults (n=258), the following cardiac adverse reactions occurred: cardiac ischemic events (3.9% dasatinib vs 1.6% imatinib), cardiac-related fluid retention (8.5% dasatinib vs 3.9% imatinib), and conduction system abnormalities, most commonly arrhythmia and palpitations (7% dasatinib vs 5% imatinib). Two cases (0.8%) of peripheral arterial occlusive disease occurred with imatinib and 2 (0.8%) transient ischemic attacks occurred with dasatinib. Monitor patients for signs or symptoms consistent with cardiac dysfunction and treat appropriately.
5.5 Pulmonary Arterial Hypertension
Dasatinib may increase the risk of developing pulmonary arterial hypertension (PAH) in adult and pediatric patients which may occur any time after initiation, including after more than 1 year of treatment. Manifestations include dyspnea, fatigue, hypoxia, and fluid retention [see Adverse Reactions (6.1)]. PAH may be reversible on discontinuation of dasatinib. Evaluate patients for signs and symptoms of underlying cardiopulmonary disease prior to initiating dasatinib and during treatment. If PAH is confirmed, dasatinib should be permanently discontinued.
5.6 Qt Prolongation
Dasatinib may increase the risk of prolongation of QTc in patients including those with hypokalemia or hypomagnesemia, patients with congenital long QT syndrome, patients taking antiarrhythmic medicines or other medicinal products that lead to QT prolongation, and cumulative high-dose anthracycline therapy [see Adverse Reactions (6.1)]. Correct hypokalemia or hypomagnesemia prior to and during dasatinib administration.
5.7 Severe Dermatologic Reactions
Cases of severe mucocutaneous dermatologic reactions, including Stevens-Johnson syndrome [see Adverse Reactions (6.2)] and erythema multiforme, have been reported in patients treated with dasatinib. Discontinue permanently in patients who experience a severe mucocutaneous reaction during treatment if no other etiology can be identified.
5.8 Tumor Lysis Syndrome
Tumor lysis syndrome has been reported in patients with resistance to prior imatinib therapy, primarily in advanced phase disease. Due to potential for tumor lysis syndrome, maintain adequate hydration, correct uric acid levels prior to initiating therapy with dasatinib, and monitor electrolyte levels. Patients with advanced stage disease and/or high tumor burden may be at increased risk and should be monitored more frequently [see Adverse Reactions (6.1)].
5.9 Embryo-Fetal Toxicity
Based on limited human data, dasatinib can cause fetal harm when administered to a pregnant woman. Adverse pharmacologic effects of dasatinib including hydrops fetalis, fetal leukopenia, and fetal thrombocytopenia have been reported with maternal exposure to dasatinib. Advise females of reproductive potential and males with female partners of reproductive potential to use effective contraception during treatment with dasatinib and for 30 days after the last dose [see Use in Specific Populations (8.1, 8.3)].
5.10 Effects On Growth And Development In Pediatric Patients
In pediatric trials of dasatinib in chronic phase CML after at least 2 years of treatment, adverse reactions associated with bone growth and development were reported in 5 (5.2%) patients, one of which was severe in intensity (Growth Retardation Grade 3). These 5 cases included cases of epiphyses delayed fusion, osteopenia, growth retardation, and gynecomastia [see Adverse Reactions (6.1) and Use in Specific Populations (8.4)]. Of these 5 cases, 1 case of osteopenia and 1 case of gynecomastia resolved during treatment.
Monitor bone growth and development in pediatric patients.
5.11 Hepatotoxicity
Dasatinib tablets may cause hepatotoxicity as measured by elevations in bilirubin, aspartate aminotransferase (AST), alanine aminotransferase (ALT), and alkaline phosphatase [see Adverse Reactions (6.1)]. Monitor transaminases at baseline and monthly or as clinically indicated during treatment. Reduce dose, withhold, or permanently discontinue dasatinib tablets based on severity [see Dosage and Administration (2.5)]. When dasatinib tablets are administered in combination with chemotherapy, liver toxicity in the form of transaminase elevation and hyperbilirubinemia has been observed. Monitor hepatic function when dasatinib tablets are used in combination with chemotherapy.
6 Adverse Reactions
The following clinically significant adverse reactions are discussed in greater detail in other sections of the labeling:
- Myelosuppression [see Dosage and Administration (2.5) and Warnings and Precautions (5.1)].
- Bleeding-related events [see Warnings and Precautions (5.2)].
- Fluid retention [see Warnings and Precautions (5.3)].
- Cardiovascular toxicity [see Warnings and Precautions (5.4)].
- Pulmonary arterial hypertension [see Warnings and Precautions (5.5)].
- QT prolongation [see Warnings and Precautions (5.6)].
- Severe dermatologic reactions [see Warnings and Precautions (5.7)].
- Tumor lysis syndrome [see Warnings and Precautions (5.8)].
- Effects on growth and development in pediatric patients [see Warnings and Precautions (5.10)].
- Hepatotoxicity [see Warnings and Precautions (5.11)].
6.1 Clinical Trials Experience
Because clinical trials are conducted under widely varying conditions, adverse reaction rates observed in the clinical trials of a drug cannot be directly compared to rates in the clinical trials of another drug and may not reflect the rates observed in practice.
The data described below reflect exposure to dasatinib administered as single-agent therapy at all doses tested in clinical studies (n=2,809), including 324 adult patients with newly diagnosed chronic phase CML, 2,388 adult patients with imatinib-resistant or -intolerant chronic or advanced phase CML or Ph+ ALL, and 97 pediatric patients with chronic phase CML. The median duration of therapy in a total of 2,712 adult patients was 19.2 months (range 0 to 93.2 months). In a randomized trial in patients with newly diagnosed chronic phase CML, the median duration of therapy was approximately 60 months. The median duration of therapy in 1,618 adult patients with chronic phase CML was 29 months (range 0 to 92.9 months).
The median duration of therapy in 1,094 adult patients with advanced phase CML or Ph+ ALL was 6.2 months (range 0 to 93.2 months).
In two non-randomized trials in 97 pediatric patients with chronic phase CML (51 patients newly diagnosed and 46 patients resistant or intolerant to previous treatment with imatinib), the median duration of therapy was 51.1 months (range 1.9 to 99.6 months).
In the overall population of 2,712 adult patients, 88% of patients experienced adverse reactions at some time and 19% experienced adverse reactions leading to treatment discontinuation.
In the randomized trial in adult patients with newly diagnosed chronic phase CML, drug was discontinued for adverse reactions in 16% of patients with a minimum of 60 months of follow-up. After a minimum of 60 months of follow-up, the cumulative discontinuation rate was 39%. Among the 1,618 patients with chronic phase CML, drug-related adverse reactions leading to discontinuation were reported in 329 (20.3%) patients; among the 1,094 patients with advanced phase CML or Ph+ ALL, drug-related adverse reactions leading to discontinuation were reported in 191 (17.5%) patients.
Among the 97 pediatric subjects, drug-related adverse reactions leading to discontinuation were reported in 1 patient (1%).
Adverse reactions reported in ≥10% of adult patients, and other adverse reactions of interest, in a randomized trial in patients with newly diagnosed chronic phase CML at a median follow-up of approximately 60 months are presented in Table 6.
Adverse reactions reported in ≥10% of adult patients treated at the recommended dose of 100 mg once daily (n=165), and other adverse reactions of interest, in a randomized dose-optimization trial of patients with chronic phase CML resistant or intolerant to prior imatinib therapy at a median follow-up of approximately 84 months are presented in Table 8.
Adverse reactions reported in ≥10% of pediatric patients at a median follow-up of approximately 51.1 months are presented in Table 11.
Drug-related serious adverse reactions (SARs) were reported for 16.7% of adult patients in the randomized trial of patients with newly diagnosed chronic phase CML. Serious adverse reactions reported in ≥5% of patients included pleural effusion (5%).
Drug-related SARs were reported for 26.1% of patients treated at the recommended dose of 100 mg once daily in the randomized dose-optimization trial of adult patients with chronic phase CML resistant or intolerant to prior imatinib therapy. Serious adverse reactions reported in ≥5% of patients included pleural effusion (10%).
Drug-related SARs were reported for 14.4% of pediatric patients.
Chronic Myeloid Leukemia (Cml)
Adverse reactions (excluding laboratory abnormalities) that were reported in at least 10% of adult patients are shown in Table 6 for newly diagnosed patients with chronic phase CML and Tables 8 and 10 for CML patients with resistance or intolerance to prior imatinib therapy.
Table 6: Adverse Reactions Reported in ≥10% of Adult Patients with Newly Diagnosed Chronic Phase CML (minimum of 60 months follow-up)
| All Grades | Grade 3/4 | |||
| Dasatinib (n=258) | Imatinib (n=258) | Dasatinib (n=258) | Imatinib (n=258) | |
| Adverse Reaction | Percent (%) of Patients | |||
| Fluid retention | 38 | 45 | 5 | 1 |
| Pleural effusion | 28 | 1 | 3 | 0 |
| Superficial localized edema | 14 | 38 | 0 | <1 |
| Pulmonary hypertension | 5 | <1 | 1 | 0 |
| Generalized edema | 4 | 7 | 0 | 0 |
| Pericardial effusion | 4 | 1 | 1 | 0 |
| Congestive heart failure/cardiac dysfunction a | 2 | 1 | <1 | <1 |
| Pulmonary edema | 1 | 0 | 0 | 0 |
| Diarrhea | 22 | 23 | 1 | 1 |
| Musculoskeletal pain | 14 | 17 | 0 | <1 |
| Rashb | 14 | 18 | 0 | 2 |
| Headache | 14 | 11 | 0 | 0 |
| Abdominal pain | 11 | 8 | 0 | 1 |
| Fatigue | 11 | 12 | <1 | 0 |
| Nausea | 10 | 25 | 0 | 0 |
| Myalgia | 7 | 12 | 0 | 0 |
| Arthralgia | 7 | 10 | 0 | <1 |
| Hemorrhagec | 8 | 8 | 1 | 1 |
| Gastrointestinal bleeding | 2 | 2 | 1 | 0 |
| Other bleedingd | 6 | 6 | 0 | <1 |
| CNS bleeding | <1 | <1 | 0 | <1 |
| Vomiting | 5 | 12 | 0 | 0 |
| Muscle spasms | 5 | 21 | 0 | <1 |
a Includes cardiac failure acute, cardiac failure congestive, cardiomyopathy, diastolic dysfunction, ejection fraction decreased, and left ventricular dysfunction.
b Includes erythema, erythema multiforme, rash, rash generalized, rash macular, rash papular, rash pustular, skin exfoliation, and rash vesicular.
c Adverse reaction of special interest with <10% frequency.
d Includes conjunctival hemorrhage, ear hemorrhage, ecchymosis, epistaxis, eye hemorrhage, gingival bleeding, hematoma, hematuria, hemoptysis, intra-abdominal hematoma, petechiae, scleral hemorrhage, uterine hemorrhage, and vaginal hemorrhage.
A comparison of cumulative rates of adverse reactions reported in ≥10% of patients with minimum follow-up of 1 and 5 years in a randomized trial of newly diagnosed patients with chronic phase CML treated with dasatinib are shown in Table 7.
Table 7: Adverse Reactions Reported in ≥10% of Adult Patients with Newly Diagnosed Chronic Phase CML in the Dasatinib-Treated Arm (n=258)
| Minimum of 1 Year Follow-up | Minimum of 5 Years Follow-up | |||||
| All Grades | Grade 3/4 | All Grades | Grade 3/4 | |||
| Adverse Reaction | Percent (%) of Patients | |||||
| Fluid retention | 19 | 1 | 38 | 5 | ||
| Pleural effusion | 10 | 0 | 28 | 3 | ||
| Superficial localized edema | 9 | 0 | 14 | 0 | ||
| Pulmonary hypertension | 1 | 0 | 5 | 1 | ||
| Generalized edema | 2 | 0 | 4 | 0 | ||
| Pericardial effusion | 1 | <1 | 4 | 1 | ||
| Congestive heart failure/cardiac dysfunctiona | 2 | <1 | 2 | <1 | ||
| Pulmonary edema | <1 | 0 | 1 | 0 | ||
| Diarrhea | 17 | <1 | 22 | 1 | ||
| Musculoskeletal pain | 11 | 0 | 14 | 0 | ||
| Rashb | 11 | 0 | 14 | 0 | ||
| Headache | 12 | 0 | 14 | 0 | ||
| Abdominal pain | 7 | 0 | 11 | 0 | ||
| Fatigue | 8 | <1 | 11 | <1 | ||
| Nausea | 8 | 0 | 10 | 0 | ||
a Includes cardiac failure acute, cardiac failure congestive, cardiomyopathy, diastolic dysfunction, ejection fraction decreased, and left ventricular dysfunction.
b Includes erythema, erythema multiforme, rash, rash generalized, rash macular, rash papular, rash pustular, skin exfoliation, and rash vesicular.
At 60 months, there were 26 deaths in dasatinib-treated patients (10.1%) and 26 deaths in imatinib-treated patients (10.1%); 1 death in each group was assessed by the investigator as related to study therapy.
Table 8: Adverse Reactions Reported in ≥10% of Adult Patients with Chronic Phase CML Resistant or Intolerant to Prior Imatinib Therapy (minimum of 84 months follow-up)
| 100 mg Once Daily | ||
| Chronic (n=165) | ||
| All Grades | Grade 3/4 | |
| Adverse Reaction | Percent (%) of Patients | |
| Fluid retention | 48 | 7 |
| Superficial localized edema | 22 | 0 |
| Pleural effusion | 28 | 5 |
| Generalized edema | 4 | 0 |
| Pericardial effusion | 3 | 1 |
| Pulmonary hypertension | 2 | 1 |
| Headache | 33 | 1 |
| Diarrhea | 28 | 2 |
| Fatigue | 26 | 4 |
| Dyspnea | 24 | 2 |
| Musculoskeletal pain | 22 | 2 |
| Nausea | 18 | 1 |
| Skin rasha | 18 | 2 |
| Myalgia | 13 | 0 |
| Arthralgia | 13 | 1 |
| Infection (including bacterial, viral, fungal, and non-specified) | 13 | 1 |
| Abdominal pain | 12 | 1 |
| Hemorrhage | 12 | 1 |
| Gastrointestinal bleeding | 2 | 1 |
| Pruritus | 12 | 1 |
| Pain | 11 | 1 |
| Constipation | 10 | 1 |
a Includes drug eruption, erythema, erythema multiforme, erythrosis, exfoliative rash, generalized erythema, genital rash, heat rash, milia, rash, rash erythematous, rash follicular, rash generalized, rash macular, rash maculopapular, rash papular, rash pruritic, rash pustular, skin exfoliation, skin irritation, urticaria vesiculosa, and rash vesicular.
Cumulative rates of selected adverse reactions that were reported over time in patients treated with the 100 mg once daily recommended starting dose in a randomized dose-optimization trial of imatinib-resistant or -intolerant patients with chronic phase CML are shown in Table 9.
Table 9: Selected Adverse Reactions Reported in Adult Dose Optimization Trial (Imatinib-Intolerant or -Resistant Chronic Phase CML)a
| Minimum of 2 Years Follow-up | Minimum of 5 Years Follow-up | Minimum of 7 Years Follow-up | |||||
| All Grades | Grade 3/4 | All Grades | Grade 3/4 | All Grades | Grade 3/4 | ||
| Adverse Reaction | Percent (%) of Patients | ||||||
| Diarrhea | 27 | 2 | 28 | 2 | 28 | 2 | |
| Fluid retention | 34 | 4 | 42 | 6 | 48 | 7 | |
| Superficial edema | 18 | 0 | 21 | 0 | 22 | 0 | |
| Pleural effusion | 18 | 2 | 24 | 4 | 28 | 5 | |
| Generalized edema | 3 | 0 | 4 | 0 | 4 | 0 | |
| Pericardial effusion | 2 | 1 | 2 | 1 | 3 | 1 | |
| Pulmonary hypertension | 0 | 0 | 0 | 0 | 2 | 1 | |
| Hemorrhage | 11 | 1 | 11 | 1 | 12 | 1 | |
| Gastrointestinal bleeding | 2 | 1 | 2 | 1 | 2 | 1 | |
a Randomized dose-optimization trial results reported in the recommended starting dose of 100 mg once daily (n=165) population.
Table 10: Adverse Reactions Reported in ≥10% of Adult Patients with Advanced Phase CML Resistant or Intolerant to Prior Imatinib Therapy
| 140 mg Once Daily | ||||||||||
| Accelerated (n=157) | Myeloid Blast (n=74) | Lymphoid Blast (n=33) | ||||||||
| All Grades | Grade 3/4 | All Grades | Grade 3/4 | All Grades | Grade 3/4 | |||||
| Adverse Reaction | Percent (%) of Patients | |||||||||
| Fluid retention | 35 | 8 | 34 | 7 | 21 | 6 | ||||
| Superficial localized edema | 18 | 1 | 14 | 0 | 3 | 0 | ||||
| Pleural effusion | 21 | 7 | 20 | 7 | 21 | 6 | ||||
| Generalized edema | 1 | 0 | 3 | 0 | 0 | 0 | ||||
| Pericardial effusion | 3 | 1 | 0 | 0 | 0 | 0 | ||||
| Congestive heart failure/cardiac dysfunction a | 0 | 0 | 4 | 0 | 0 | 0 | ||||
| Pulmonary edema | 1 | 0 | 4 | 3 | 0 | 0 | ||||
| Headache | 27 | 1 | 18 | 1 | 15 | 3 | ||||
| Diarrhea | 31 | 3 | 20 | 5 | 18 | 0 | ||||
| Fatigue | 19 | 2 | 20 | 1 | 9 | 3 | ||||
| Dyspnea | 20 | 3 | 15 | 3 | 3 | 3 | ||||
| Musculoskeletal pain | 11 | 0 | 8 | 1 | 0 | 0 | ||||
| Nausea | 19 | 1 | 23 | 1 | 21 | 3 | ||||
| Skin rashb | 15 | 0 | 16 | 1 | 21 | 0 | ||||
| Arthralgia | 10 | 0 | 5 | 1 | 0 | 0 | ||||
| Infection (including bacterial, viral, fungal, and non-specified) | 10 | 6 | 14 | 7 | 9 | 0 | ||||
| Hemorrhage | 26 | 8 | 19 | 9 | 24 | 9 | ||||
| Gastrointestinal bleeding | 8 | 6 | 9 | 7 | 9 | 3 | ||||
| CNS bleeding | 1 | 1 | 0 | 0 | 3 | 3 | ||||
| Vomiting | 11 | 1 | 12 | 0 | 15 | 0 | ||||
| Pyrexia | 11 | 2 | 18 | 3 | 6 | 0 | ||||
| Febrile neutropenia | 4 | 4 | 12 | 12 | 12 | 12 | ||||
a Includes ventricular dysfunction, cardiac failure, cardiac failure congestive, cardiomyopathy, congestive cardiomyopathy, diastolic dysfunction, ejection fraction decreased, and ventricular failure.
b Includes drug eruption, erythema, erythema multiforme, erythrosis, exfoliative rash, generalized erythema, genital rash, heat rash, milia, rash, rash erythematous, rash follicular, rash generalized, rash macular, rash maculopapular, rash papular, rash pruritic, rash pustular, skin exfoliation, skin irritation, urticaria vesiculosa, and rash vesicular.
Table 11: Adverse Reactions Reported in ≥10% of Dasatinib-Treated Pediatric Patients with Chronic Phase CML (n=97)
| All Grades | Grade 3/4 | |
| Adverse Reaction | Percent (%) of Patients | |
| Headache | 28 | 3 |
| Nausea | 20 | 0 |
| Diarrhea | 21 | 0 |
| Skin rash | 19 | 0 |
| Vomiting | 13 | 0 |
| Pain in extremity | 19 | 1 |
| Abdominal pain | 16 | 0 |
| Fatigue | 10 | 0 |
| Arthralgia | 10 | 1 |
Adverse reactions associated with bone growth and development were reported in 5 (5.2%) of pediatric patients with chronic phase CML [see Warnings and Precautions (5.10)].
Laboratory Abnormalities
Myelosuppression was commonly reported in all patient populations. The frequency of Grade 3 or 4 neutropenia, thrombocytopenia, and anemia was higher in patients with advanced phase CML than in chronic phase CML (Tables 12 and 13). Myelosuppression was reported in patients with normal baseline laboratory values as well as in patients with pre-existing laboratory abnormalities.
In patients who experienced severe myelosuppression, recovery generally occurred following dose interruption or reduction; permanent discontinuation of treatment occurred in 2% of adult patients with newly diagnosed chronic phase CML and 5% of adult patients with resistance or intolerance to prior imatinib therapy [see Warnings and Precautions (5.1)].
Grade 3 or 4 elevations of transaminases or bilirubin and Grade 3 or 4 hypocalcemia, hypokalemia, and hypophosphatemia were reported in patients with all phases of CML but were reported with an increased frequency in patients with myeloid or lymphoid blast phase CML. Elevations in transaminases or bilirubin were usually managed with dose reduction or interruption. Patients developing Grade 3 or 4 hypocalcemia during dasatinib therapy often had recovery with oral calcium supplementation.
Laboratory abnormalities reported in adult patients with newly diagnosed chronic phase CML are shown in Table 12. There were no discontinuations of dasatinib therapy in this patient population due to biochemical laboratory parameters.
Table 12: CTC Grade 3/4 Laboratory Abnormalities in Adult Patients with Newly Diagnosed Chronic Phase CML (minimum of 60 months follow-up)
| Dasatinib(n=258) | Imatinib(n=258) | |
| Percent (%) of Patients | ||
| Hematology Parameters | ||
| Neutropenia | 29 | 24 |
| Thrombocytopenia | 22 | 14 |
| Anemia | 13 | 9 |
| Biochemistry Parameters | ||
| Hypophosphatemia | 7 | 31 |
| Hypokalemia | 0 | 3 |
| Hypocalcemia | 4 | 3 |
| Elevated SGPT (ALT) | <1 | 2 |
| Elevated SGOT (AST) | <1 | 1 |
| Elevated Bilirubin | 1 | 0 |
| Elevated Creatinine | 1 | 1 |
CTC grades: neutropenia (Grade 3 ≥0.5 to <1 × 109/L, Grade 4 <0.5 × 109/L); thrombocytopenia (Grade 3 ≥25 to <50× 109/L, Grade 4 <25 × 10 9/L); anemia (hemoglobin Grade 3 ≥65 to <80 g/L, Grade 4 <65 g/L); elevated creatinine (Grade 3 >3 to 6 × upper limit of normal range (ULN), Grade 4 >6 × ULN); elevated bilirubin (Grade 3 >3 to 10 × ULN, Grade 4 >10 × ULN); elevated SGOT or SGPT (Grade 3 >5 to 20 × ULN, Grade 4 >20 × ULN); hypocalcemia (Grade 3 <7 to 6 mg/dL, Grade 4 <6 mg/dL); hypophosphatemia (Grade 3 <2 to 1 mg/dL, Grade 4<1 mg/dL); hypokalemia (Grade 3 <3 to 2.5 mmol/L, Grade 4 <2.5 mmol/L).
Laboratory abnormalities reported in patients with CML resistant or intolerant to imatinib who received the recommended starting doses of dasatinib are shown by disease phase in Table 13.
Table 13: CTC Grade 3/4 Laboratory Abnormalities in Clinical Studies of CML in Adults: Resistance or Intolerance to Prior Imatinib Therapy
| Chronic Phase CML 100 mg Once Daily | Advanced Phase CML 140 mg Once Daily | |||
| (n=165) | ||||
| Accelerated Phase (n=157) | Myeloid Blast Phase (n=74) | Lymphoid Blast Phase (n=33) | ||
| Percent (%) of Patients | ||||
| Hematology Parameters* | ||||
| Neutropenia | 36 | 58 | 77 | 79 |
| Thrombocytopenia | 24 | 63 | 78 | 85 |
| Anemia | 13 | 47 | 74 | 52 |
| Biochemistry Parameters | ||||
| Hypophosphatemia | 10 | 13 | 12 | 18 |
| Hypokalemia | 2 | 7 | 11 | 15 |
| Hypocalcemia | <1 | 4 | 9 | 12 |
| Elevated SGPT (ALT) | 0 | 2 | 5 | 3 |
| Elevated SGOT (AST) | <1 | 0 | 4 | 3 |
| Elevated Bilirubin | <1 | 1 | 3 | 6 |
| Elevated Creatinine | 0 | 2 | 8 | 0 |
CTC grades: neutropenia (Grade 3 ≥0.5 to <1 × 109/L, Grade 4 <0.5 × 109/L); thrombocytopenia (Grade 3 ≥25 to <50× 109/L, Grade 4 <25 × 10 9/L); anemia (hemoglobin Grade 3 ≥65 to <80 g/L, Grade 4 <65 g/L); elevated creatinine (Grade 3 >3 to 6 × upper limit of normal range (ULN), Grade 4 >6 × ULN); elevated bilirubin (Grade 3 >3 to 10 × ULN, Grade 4 >10 × ULN); elevated SGOT or SGPT (Grade 3 >5 to 20 × ULN, Grade 4 >20 × ULN); hypocalcemia (Grade 3 <7 to 6 mg/dL, Grade 4 <6 mg/dL); hypophosphatemia (Grade 3 <2 to 1 mg/dL, Grade 4<1 mg/dL); hypokalemia (Grade 3 <3 to 2.5 mmol/L, Grade 4 <2.5 mmol/L).
*Hematology parameters for 100 mg once-daily dosing in chronic phase CML reflects 60-month minimum follow-up.
Among adult patients with chronic phase CML with resistance or intolerance to prior imatinib therapy, cumulative Grade 3 or 4 cytopenias were similar at 2 and 5 years including: neutropenia (36% vs 36%), thrombocytopenia (23% vs 24%), and anemia (13% vs 13%).
In the pediatric studies in CML, the rates of laboratory abnormalities were consistent with the known profile for laboratory parameters in adults.
Philadelphia Chromosome-Positive Acute Lymphoblastic Leukemia (Ph+ All) In Adults
A total of 135 adult patients with Ph+ ALL were treated with dasatinib in clinical studies. The median duration of treatment was 3 months (range 0.03 to 31 months). The safety profile of patients with Ph+ ALL was similar to those with lymphoid blast phase CML. The most frequently reported adverse reactions included fluid retention events, such as pleural effusion (24%) and superficial edema (19%), and gastrointestinal disorders, such as diarrhea (31%), nausea (24%), and vomiting (16%). Hemorrhage (19%), pyrexia (17%), rash (16%), and dyspnea (16%) were also frequently reported. Serious adverse reactions reported in ≥5% of patients included pleural effusion (11%), gastrointestinal bleeding (7%), febrile neutropenia (6%), and infection (5%).
Philadelphia Chromosome-Positive Acute Lymphoblastic Leukemia (Ph+ ALL) in Pediatric Patients
The safety of dasatinib tablets administered continuously in combination with multiagent chemotherapy was determined in a multicohort study of 81 pediatric patients with newly diagnosed Ph+ ALL. [see Clinical Studies (14.4)]. The median duration of therapy was 24 months (range 2 to 27 months).
Fatal adverse reactions occurred in 3 patients (4%), all of which were due to infections. Eight (10%) patients experienced adverse reactions leading to treatment discontinuation, including fungal sepsis, hepatotoxicity in the setting of graft versus host disease, thrombocytopenia, CMV infection, pneumonia, nausea, enteritis and drug hypersensitivity.
The most common serious adverse reactions (incidence ≥10%) were pyrexia, febrile neutropenia, mucositis, diarrhea, sepsis, hypotension, infections (bacterial, viral and fungal), hypersensitivity, vomiting, renal insufficiency, abdominal pain, and musculoskeletal pain.
The incidence of common adverse reactions (incidence >20%) on study are shown in Table 14:
Table 14: Adverse Reactions Reported in ≥20% of Pediatric Patients with Ph+ ALL Treated with dasatinib tablets in Combination with Chemotherapy CA180372 (N=81)
| Percent (%) of Patients | ||
| Adverse Reaction | All Grades | Grade 3/4 |
| Mucositis | 93 | 60 |
| Febrile neutropenia | 86 | 86 |
| Pyrexia | 85 | 17 |
| Diarrhea | 84 | 31 |
| Nausea | 84 | 11 |
| Vomiting | 83 | 17 |
| Musculoskeletal pain | 83 | 25 |
| Abdominal pain | 78 | 17 |
| Cough | 78 | 1 |
| Headache | 77 | 15 |
| Rash | 68 | 7 |
| Fatigue | 59 | 3 |
| Constipation | 57 | 1 |
| Arrhythmia | 47 | 12 |
| Hypertension | 47 | 10 |
| Edema | 47 | 6 |
| Viral infection | 40 | 12 |
| Hypotension | 40 | 26 |
| Decreased appetite | 38 | 22 |
| Hypersensitivity | 36 | 20 |
| Upper respiratory tract infection | 36 | 10 |
| Dyspnea | 35 | 10 |
| Epistaxis | 31 | 6 |
| Peripheral neuropathy | 31 | 7 |
| Sepsis (excluding fungal) | n/a | 31 |
| Altered state of consciousness | 30 | 4 |
| Fungal infection | 30 | 11 |
| Pneumonia (excluding fungal) | 28 | 25 |
| Pruritus | 28 | - |
| Clostridial infection (excluding sepsis) | 25 | 14 |
| Urinary Tract Infection | 24 | 14 |
| Bacteremia (excluding fungal) | 22 | 20 |
| Erythema | 22 | 6 |
| Chills | 21 | - |
| Pleural effusion | 21 | 9 |
| Sinusitis | 21 | 10 |
| Dehydration | 20 | 9 |
| Renal insufficiency | 20 | 9 |
| Visual impairment | 20 | - |
The incidence of common adverse reactions attributed by the investigator to dasatinib tablets (reported at a frequency of ≥10%, all grades and grade 3/4, respectively) on study (N=81), included febrile neutropenia (23%, 23%), nausea (21%, 4%), vomiting (19%, 4%), mucositis (17%, 6%), musculoskeletal pain (17%, 2%), abdominal pain (16%, 5%), diarrhea (16%, 7%), rash (15%, 0%), fatigue (12%, 0%), pyrexia (12%, 6%), and headache (12%, 5%).
CTCAE grade 3/4 laboratory abnormalities in pediatric patients with Ph+ ALL treated with dasatinib tablets in combination with chemotherapy are shown in Table 15.
Table 15: CTCAE Grade 3/4 Laboratory Abnormalities in ≥10% of Pediatric Patients with Ph+ ALL Treated with dasatinib tablets in Combination with Chemotherapy CA180372 (N=81)
| Percent (%) of Patients | |
| Hematology Parameters | |
| Neutropenia | 96 |
| Thrombocytopenia | 88 |
| Anemia | 82 |
| Biochemistry Parameters | |
| Elevated SGPT (ALT) | 47 |
| Hypokalemia | 40 |
| Elevated SGOT (AST) | 26 |
| Hypocalcemia | 19 |
| Hyponatremia | 19 |
| Elevated Bilirubin | 11 |
| Hypophosphatemia | 11 |
Toxicity grading is per CTCAE version 4.
Additional Pooled Data from Clinical Trials
The following additional adverse reactions were reported in adult and pediatric patients (n=2,809) in dasatinib CML clinical studies and adult patients in Ph+ ALL clinical studies at a frequency of ≥10%, 1% to <10%, 0.1% to <1%, or <0.1%. These adverse reactions are included based on clinical relevance.
Gastrointestinal Disorders: 1% to <10% – mucosal inflammation (including mucositis/stomatitis), dyspepsia, abdominal distension, constipation, gastritis, colitis (including neutropenic colitis), oral soft tissue disorder; 0.1% to <1% – ascites, dysphagia, anal fissure, upper gastrointestinal ulcer, esophagitis, pancreatitis, gastroesophageal reflux disease; <0.1% – protein losing gastroenteropathy, ileus, acute pancreatitis, anal fistula.
General Disorders and Administration-Site Conditions: ≥10% – peripheral edema, face edema; 1% to <10% – asthenia, chest pain, chills; 0.1% to <1% – malaise, other superficial edema, peripheral swelling; <0.1% – gait disturbance.
Skin and Subcutaneous Tissue Disorders: 1% to <10% – alopecia, acne, dry skin, hyperhidrosis, urticaria, dermatitis (including eczema); 0.1% to <1% – pigmentation disorder, skin ulcer, bullous conditions, photosensitivity, nail disorder, neutrophilic dermatosis, panniculitis, palmar-plantar erythrodysesthesia syndrome, hair disorder; <0.1% – leukocytoclastic vasculitis, skin fibrosis.
Respiratory, Thoracic, and Mediastinal Disorders: 1% to <10% – lung infiltration, pneumonitis, cough; 0.1% to <1% – asthma, bronchospasm, dysphonia, pulmonary arterial hypertension; <0.1% – acute respiratory distress syndrome, pulmonary embolism.
Nervous System Disorders: 1% to <10% – neuropathy (including peripheral neuropathy), dizziness, dysgeusia, somnolence; 0.1% to <1% – amnesia, tremor, syncope, balance disorder; <0.1% – convulsion, cerebrovascular accident, transient ischemic attack, optic neuritis, VIIth nerve paralysis, dementia, ataxia.
Blood and Lymphatic System Disorders: 0.1% to <1% – lymphadenopathy, lymphopenia; <0.1% - aplasia pure red cell.
Musculoskeletal and Connective Tissue Disorders: 1% to <10% – muscular weakness, musculoskeletal stiffness; 0.1% to <1% – rhabdomyolysis, tendonitis, muscle inflammation, osteonecrosis, arthritis; <0.1% – epiphyses delayed fusion (reported at 1% to <10% in the pediatric studies), growth retardation (reported at 1% to <10% in the pediatric studies).
Investigations: 1% to <10% – weight increased, weight decreased; 0.1% to <1% – blood creatine phosphokinase increased, gamma-glutamyltransferase increased.
Infections and Infestations: 1% to <10% – pneumonia (including bacterial, viral, and fungal), upper respiratory tract infection/inflammation, herpes virus infection, enterocolitis infection, sepsis (including fatal outcomes [0.2%]).
Metabolism and Nutrition Disorders:1% to <10% – appetite disturbances, hyperuricemia; 0.1% to <1% – hypoalbuminemia, tumor lysis syndrome, dehydration, hypercholesterolemia; <0.1% – diabetes mellitus.
Cardiac Disorders: 1% to <10% – arrhythmia (including tachycardia), palpitations; 0.1% to <1% – angina pectoris, cardiomegaly, pericarditis, ventricular arrhythmia (including ventricular tachycardia), electrocardiogram T-wave abnormal, troponin increased; <0.1% – cor pulmonale, myocarditis, acute coronary syndrome, cardiac arrest, electrocardiogram PR prolongation, coronary artery disease, pleuropericarditis.
Eye Disorders: 1% to <10% – visual disorder (including visual disturbance, vision blurred, and visual acuity reduced), dry eye; 0.1% to <1% – conjunctivitis, visual impairment, lacrimation increased, <0.1% - photophobia.
Vascular Disorders: 1% to <10% – flushing, hypertension; 0.1% to <1% – hypotension, thrombophlebitis, thrombosis; <0.1% – livedo reticularis, deep vein thrombosis, embolism.
Psychiatric Disorders: 1% to <10% – insomnia, depression; 0.1% to <1% – anxiety, affect lability, confusional state, libido decreased.
Pregnancy, Puerperium, and Perinatal Conditions: <0.1% – abortion.
Reproductive System and Breast Disorders: 0.1% to <1% – gynecomastia, menstrual disorder.
Injury, Poisoning, and Procedural Complications: 1% to <10% – contusion.
Ear and Labyrinth Disorders: 1% to <10% – tinnitus; 0.1% to <1% – vertigo, hearing loss.
Hepatobiliary Disorders: 0.1% to <1% – cholestasis, cholecystitis, hepatitis.
Renal and Urinary Disorders: 0.1% to <1% – urinary frequency, renal failure, proteinuria; <0.1% – renal impairment.
Immune System Disorders: 0.1% to <1% – hypersensitivity (including erythema nodosum).
Endocrine Disorders: 0.1% to <1% – hypothyroidism; <0.1% – hyperthyroidism, thyroiditis.
6.2 Postmarketing Experience
The following additional adverse reactions have been identified during post approval use of dasatinib. Because these reactions are reported voluntarily from a population of uncertain size, it is not always possible to reliably estimate their frequency or establish a causal relationship to drug exposure.
Infections: hepatitis B virus reactivation
Cardiac disorders: atrial fibrillation/atrial flutter
Respiratory, thoracic, and mediastinal disorders: interstitial lung disease, chylothorax
Skin and subcutaneous tissue disorders: Stevens-Johnson syndrome
Renal and urinary disorders: nephrotic syndrome
Blood and lymphatic system disorders: thrombotic microangiopathy
Hepatobiliary disorders: hepatotoxicity
7.1 Effect Of Other Drugs On Dasatinib
Strong CYP3A4 Inhibitors
The coadministration with strong CYP3A inhibitors may increase dasatinib concentrations [see Clinical Pharmacology (12.3)]. Increased dasatinib concentrations may increase the risk of toxicity. Avoid concomitant use of strong CYP3A4 inhibitors. If concomitant administration of a strong CYP3A4 inhibitor cannot be avoided, consider a dasatinib dose reduction [see Dosage and Administration (2.5)].
Strong CYP3A4 Inducers
The coadministration of dasatinib with strong CYP3A inducers may decrease dasatinib concentrations [see Clinical Pharmacology (12.3)]. Decreased dasatinib concentrations may reduce efficacy. Consider alternative drugs with less enzyme induction potential. If concomitant administration of a strong CYP3A4 inducer cannot be avoided, consider a dasatinib dose increase.
Gastric Acid Reducing Agents
The coadministration of dasatinib with a gastric acid reducing agent may decrease the concentrations of dasatinib. Decreased dasatinib concentrations may reduce efficacy.
Do not administer H2 antagonists or proton pump inhibitors with dasatinib. Consider the use of antacids in place of H2 antagonists or proton pump inhibitors. Administer the antacid at least 2 hours prior to or 2 hours after the dose of dasatinib. Avoid simultaneous administration of dasatinib with antacids.
Risk Summary
Based on limited human data, dasatinib can cause fetal harm when administered to a pregnant woman. Adverse pharmacologic effects including hydrops fetalis, fetal leukopenia, and fetal thrombocytopenia have been reported with maternal exposure to dasatinib. Animal reproduction studies in rats have demonstrated extensive mortality during organogenesis, the fetal period, and in neonates. Skeletal malformations were observed in a limited number of surviving rat and rabbit conceptuses. These findings occurred at dasatinib plasma concentrations below those in humans receiving therapeutic doses of dasatinib [see Data]. Advise a pregnant woman of the potential risk to a fetus.
The estimated background risk in the U.S. general population of major birth defects is 2% to 4% and of miscarriage is 15% to 20% of clinically recognized pregnancies.
Clinical Considerations
Fetal/Neonatal Adverse Reactions
Transplacental transfer of dasatinib has been reported. Dasatinib has been measured in fetal plasma and amniotic fluid at concentrations comparable to those in maternal plasma. Hydrops fetalis, fetal leukopenia, and fetal thrombocytopenia have been reported with maternal exposure to dasatinib. These adverse pharmacologic effects on the fetus are similar to adverse reactions observed in adult patients and may result in fetal harm or neonatal death [see Warnings and Precautions (5.1, 5.3)].
Data
Human Data
Based on human experience, dasatinib is suspected to cause congenital malformations, including neural tube defects, and harmful pharmacological effects on the fetus when administered during pregnancy.
Animal Data
In nonclinical studies at plasma concentrations below those observed in humans receiving therapeutic doses of dasatinib, embryo-fetal toxicities were observed in rats and rabbits. Fetal death was observed in rats. In both rats and rabbits, the lowest doses of dasatinib tested (rat: 2.5 mg/kg/day [15 mg/m2/day] and rabbit: 0.5 mg/kg/day [6 mg/m2/day]) resulted in embryo-fetal toxicities. These doses produced maternal AUCs of 105 ng•h/mL and 44 ng•h/mL (0.1-fold the human AUC) in rats and rabbits, respectively. Embryo-fetal toxicities included skeletal malformations at multiple sites (scapula, humerus, femur, radius, ribs, and clavicle), reduced ossification (sternum; thoracic, lumbar, and sacral vertebrae; forepaw phalanges; pelvis; and hyoid body), edema, and microhepatia. In a pre- and postnatal development study in rats, administration of dasatinib from gestation day (GD) 16 through lactation day (LD) 20, GD 21 through LD 20, or LD 4 through LD 20 resulted in extensive pup mortality at maternal exposures that were below the exposures in patients treated with dasatinib at the recommended labeling dose.
8.2 Lactation
Risk Summary
No data are available regarding the presence of dasatinib in human milk, the effects of the drug on the breastfed child, or the effects of the drug on milk production. However, dasatinib is present in the milk of lactating rats. Because of the potential for serious adverse reactions in nursing children from dasatinib, breastfeeding is not recommended during treatment with dasatinib and for 2 weeks after the last dose.
8.3 Females And Males Of Reproductive Potential
Dasatinib can cause fetal harm when administered to a pregnant woman [see Use in Specific Populations (8.1)].
Contraception
Advise females of reproductive potential and males with female partners of reproductive potential to use effective contraception during treatment with dasatinib and for 30 days after the last dose.
Infertility
Based on animal data, dasatinib may result in damage to female and male reproductive tissues [see Nonclinical Toxicology (13.1)].
8.4 Pediatric Use
Ph+ CML in Chronic Phase
The safety and effectiveness of dasatinib tablets monotherapy have been demonstrated in pediatric patients with newly diagnosed chronic phase CML [see Clinical Studies (14.3)]. There are no data in children under 1 year of age. Adverse reactions associated with bone growth and development were reported in 5 (5.2%) of patients [see Warnings and Precautions (5.10)].
Ph+ ALL
The safety and effectiveness of dasatinib tablets in combination with chemotherapy have been demonstrated in pediatric patients one year and over with newly diagnosed Ph+ ALL. Use of dasatinib tablets in pediatric patients is supported by evidence from one pediatric study. There are no data in children under 1 year of age. One case of grade 1 osteopenia was reported.
The safety profile of dasatinib in pediatric subjects was comparable to that reported in studies in adult subjects [see Adverse Reactions (6.1) and Clinical Studies (14.3, 14.4)].
Monitor bone growth and development in pediatric patients [see Warnings and Precautions (5.10)].
Pediatric Patients with Difficulty Swallowing Tablets
Five patients with Ph+ ALL 2 to 10 years of age received at least one dose of dasatinib tablet dispersed in juice on Study CA180372. The exposure for dispersed tablets was 36% lower as compared to intact tablets in pediatric patients [see Clinical Pharmacology (12.3)]. Due to the limited available clinical data, it is unclear whether dispersing dasatinib tablets significantly alters the safety and/or efficacy of dasatinib tablets.
8.5 Geriatric Use
Of the 2,712 patients in clinical studies of dasatinib, 617 (23%) were 65 years of age and older, and 123 (5%) were 75 years of age and older. No differences in confirmed Complete Cytogenetic Response (cCCyR) and MMR were observed between older and younger patients. While the safety profile of dasatinib in the geriatric population was similar to that in the younger population, patients aged 65 years and older are more likely to experience the commonly reported adverse reactions of fatigue, pleural effusion, diarrhea, dyspnea, cough, lower gastrointestinal hemorrhage, and appetite disturbance, and more likely to experience the less frequently reported adverse reactions of abdominal distention, dizziness, pericardial effusion, congestive heart failure, hypertension, pulmonary edema, and weight decrease, and should be monitored closely.
10 Overdosage
Experience with overdose of dasatinib in clinical studies is limited to isolated cases. The highest overdosage of 280 mg per day for 1 week was reported in two patients and both developed severe myelosuppression and bleeding. Since dasatinib is associated with severe myelosuppression [see Warnings and Precautions (5.1) and Adverse Reactions (6.1)], monitor patients who ingest more than the recommended dosage closely for myelosuppression and give appropriate supportive treatment.
Acute overdose in animals was associated with cardiotoxicity. Evidence of cardiotoxicity included ventricular necrosis and valvular/ventricular/atrial hemorrhage at single doses ≥100 mg/kg (600 mg/m2) in rodents. There was a tendency for increased systolic and diastolic blood pressure in monkeys at single doses ≥10 mg/kg (120 mg/m2).
11 Description
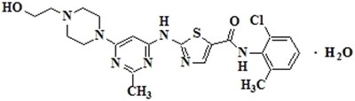
Dasatinib is a kinase inhibitor. The chemical name for dasatinib is N-(2-chloro-6-methylphenyl)-2-[[6-[4-(2-hydroxyethyl)-1-piperazinyl]-2-methyl-4-pyrimidinyl]amino]-5-thiazolecarboxamide, monohydrate. The molecular formula is C22H26ClN7O2S•H2O, which corresponds to a formula weight of 506.02 (monohydrate). The anhydrous free base has a molecular weight of 488.01. Dasatinib has the following chemical structure:
Dasatinib is a white to off-white powder. The drug substance is insoluble in water and slightly soluble in ethanol and methanol, polyethylene glycol 400 and propylene glycol; very slightly soluble in acetone and acetonitrile; and practically insoluble in corn oil.
Dasatinib tablets are white to off-white, biconvex, film-coated tablets containing dasatinib, with the following inactive ingredients: colloidal silicon dioxide, croscarmellose sodium, lactose monohydrate, magnesium stearate and microcrystalline cellulose. The tablet coating consists of hydroxypropyl cellulose, hypromellose, titanium dioxide and triethyl citrate. Dasatinib tablets are supplied for oral administration.
12.1 Mechanism Of Action
Dasatinib, at nanomolar concentrations, inhibits the following kinases: BCR-ABL, SRC family (SRC, LCK, YES, FYN), c-KIT, EPHA2, and PDGFRβ. Based on modeling studies, dasatinib is predicted to bind to multiple conformations of the ABL kinase.
In vitro, dasatinib was active in leukemic cell lines representing variants of imatinib mesylate-sensitive and resistant disease. Dasatinib inhibited the growth of chronic myeloid leukemia (CML) and acute lymphoblastic leukemia (ALL) cell lines overexpressing BCR-ABL. Under the conditions of the assays, dasatinib could overcome imatinib resistance resulting from BCR-ABL kinase domain mutations, activation of alternate signaling pathways involving the SRC family kinases (LYN, HCK), and multi-drug resistance gene overexpression.
12.2 Pharmacodynamics
Cardiac Electrophysiology
Of 2,440 patients treated with dasatinib at all doses tested in clinical trials, 16 patients (<1%) had QTc prolongation reported as an adverse reaction. Twenty-two patients (1%) experienced a QTcF > 500 ms. In 865 patients with leukemia treated with dasatinib 70 mg BID in five Phase 2 studies, the maximum mean changes in QTcF (90% upper bound CI) from baseline ranged from 7 ms to 13.4 ms.
An analysis of the data from five Phase 2 studies in patients (70 mg BID) and a Phase 1 study in healthy subjects (100 mg single dose) suggests that there is a maximum increase of 3 to 6 milliseconds in Fridericia corrected QTc interval from baseline for subjects receiving therapeutic doses of dasatinib, with associated upper 95% confidence intervals <10 msec.
12.3 Pharmacokinetics
The pharmacokinetics of dasatinib exhibits dose proportional increases in AUC and linear elimination characteristics over the dose range of 15 mg/day (0.15 times the lowest approved recommended dose) to 240 mg/day (1.7 times the highest approved recommended dose). At 100 mg QD, the maximum concentration at steady state (Cmax) is 82.2 ng/mL (CV% 69%), area under the plasma drug concentration time curve (AUC) is 397 ng/mL*hr (CV% 55%). The clearance of dasatinib is found to be time-invariant. When administered to adult healthy subjects as dispersed tablets in juice, the adjusted geometric mean ratio was 0.97 (90% CI: 0.85, 1.10) for Cmax and 0.84 (90% CI: 0.78, 0.91) for AUC as compared to intact tablets.
Absorption
The maximum plasma concentrations (Cmax) of dasatinib are observed between 0.5 hours and 6 hours (Tmax) following oral administration.
Food Effect
A high-fat meal increased the mean AUC of dasatinib following a single dose of 100 mg by 14%. The total calorie content of the high-fat meal was 985 kcal. The calories derived from fat, carbohydrates, and protein were 52%, 34%, and 14% for the high-fat meal.
Distribution
The apparent volume of distribution is 2,505 L (CV% 93%). Binding of dasatinib to human plasma proteins in vitro was approximately 96% and of its active metabolite was 93%, with no concentration dependence over the range of 100 ng/mL to 500 ng/mL.
Dasatinib is a P-gp substrate in vitro.
Elimination
The mean terminal half-life of dasatinib is 3 hours to 5 hours. The mean apparent oral clearance is 363.8 L/hr (CV% 81.3%).
Metabolism
Dasatinib is metabolized in humans, primarily by CYP3A4. CYP3A4 is the primary enzyme responsible for the formation of the active metabolite. Flavin-containing monooxygenase 3 (FMO-3) and uridine diphosphate-glucuronosyltransferase (UGT) enzymes are also involved in the formation of dasatinib metabolites.
The exposure of the active metabolite, which is equipotent to dasatinib, represents approximately 5% of the AUC of dasatinib. The active metabolite of dasatinib is unlikely to play a major role in the observed pharmacology of the drug. Dasatinib also has several other inactive oxidative metabolites.
Excretion
Elimination is primarily via the feces. Following a single radiolabeled dose of oral dasatinib, 4% of the administered radioactivity was recovered in the urine and 85% in the feces within 10 days. Unchanged dasatinib accounted for 0.1% of the administered dose in the urine and 19% of the administered dose in the feces with the remainder of the dose being metabolites.
Specific Populations
Age (15 to 86 years old), sex, and renal impairment (creatinine clearance 21.6 mL/min to 342.3 mL/min as estimated by Cockcroft Gault) have no clinically relevant effect on the pharmacokinetics of dasatinib.
Pediatric Patients
The pharmacokinetics of dasatinib were evaluated in 43 pediatric patients with leukemia or solid tumors at oral doses ranging from 60 mg/m2 to 120 mg/m2 once daily, taken with or without food. The pharmacokinetics showed dose proportionality with a dose-related increase in exposure. The mean Tmax was observed between 0.5 hours and 6 hours and the mean half-life was 2 hours to 5 hours. The geometric mean (CV%) of body weight normalized clearance in these 43 pediatric patients is 5.98 (41.5%) L/h/kg. In pediatric patients with a dosing regimen of 60 mg/m2, the model simulated geometric mean (CV%) steady-state plasma average concentrations of dasatinib were 14.7 (64.6%) ng/mL (for 2 to <6 years old), 16.3 (97.5%) ng/mL (for 6 to <12 years old), and 18.2 (67.7%) ng/mL (for 12 years and older) [see Dosage and Administration (2.2)]. Dasatinib clearance and volume of distribution change with body weight in pediatric patients. Dasatinib has not been studied in patients < 1 year old.
The bioavailability of dispersed tablets in pediatric patients was estimated to be 36% lower than that of intact tablets.
Patients with Hepatic Impairment
Compared to subjects with normal liver function, patients with moderate hepatic impairment (Child Pugh B) had decreases in mean Cmax by 47% and mean AUC by 8%. Patients with severe hepatic impairment (Child Pugh C) had decreases in mean Cmax by 43% and in mean AUC by 28% compared to the subjects with normal liver function.
Drug Interaction Studies
Cytochrome P450 Enzymes
The coadministration of ketoconazole (strong CYP3A4 inhibitor) twice daily increased the mean Cmax of dasatinib by 4-fold and the mean AUC of dasatinib by 5-fold following a single oral dose of 20 mg.
The coadministration of rifampin (strong CYP3A4 inducer) once daily decreased the mean Cmax of dasatinib by 81% and the mean AUC of dasatinib by 82%.
Dasatinib is a time-dependent inhibitor of CYP3A4. Dasatinib does not inhibit CYP1A2, 2A6, 2B6, 2C8, 2C9, 2C19, 2D6, or 2E1. Dasatinib does not induce CYP enzymes.
Gastric Acid Reducing Agents
The administration of 30 mL of aluminum hydroxide/magnesium hydroxide 2 hours prior to a single dose of dasatinib was associated with no relevant change in the mean AUC of dasatinib; however, the mean Cmax of dasatinib was increased by 26%.
The simultaneous administration of 30 mL of aluminum hydroxide/magnesium hydroxide with a single dose of dasatinib was associated with a 55% reduction in the mean AUC of dasatinib and a 58% reduction in the mean Cmax of dasatinib.
The administration of a single dose of dasatinib 10 hours following famotidine (H2 antagonist) reduced the mean AUC of dasatinib by 61% and the mean Cmax of dasatinib by 63%. The administration of a single 100 mg dose of dasatinib 22 hours following a 40 mg dose of omeprazole (proton pump inhibitor) at steady state reduced the mean AUC of dasatinib by 43% and the mean Cmax of dasatinib by 42%.
Transporters
Dasatinib is not an inhibitor of P-gp in vitro.
13.1 Carcinogenesis, Mutagenesis, Impairment Of Fertility
In a 2-year carcinogenicity study, rats were administered oral doses of dasatinib at 0.3, 1, and 3 mg/kg/day. The highest dose resulted in a plasma drug exposure (AUC) level approximately 60% of the human exposure at 100 mg once daily. Dasatinib induced a statistically significant increase in the combined incidence of squamous cell carcinomas and papillomas in the uterus and cervix of high-dose females and prostate adenoma in low-dose males.
Dasatinib was clastogenic when tested in vitro in Chinese hamster ovary cells, with and without metabolic activation. Dasatinib was not mutagenic when tested in an in vitro bacterial cell assay (Ames test) and was not genotoxic in an in vivo rat micronucleus study.
Dasatinib did not affect mating or fertility in male and female rats at plasma drug exposure (AUC) similar to the human exposure at 100 mg daily. In repeat dose studies, administration of dasatinib resulted in reduced size and secretion of seminal vesicles, and immature prostate, seminal vesicle, and testis. The administration of dasatinib resulted in uterine inflammation and mineralization in monkeys, and cystic ovaries and ovarian hypertrophy in rodents.
14.1 Newly Diagnosed Chronic Phase Cml In Adults
DASISION (Dasatinib vs Imatinib Study in Treatment-Naive Chronic Myeloid Leukemia Patients) (NCT00481247) was an open-label, multicenter, international, randomized trial conducted in adult patients with newly diagnosed chronic phase CML. A total of 519 patients were randomized to receive either dasatinib 100 mg once daily or imatinib 400 mg once daily. Patients with a history of cardiac disease were included in this trial except those who had a myocardial infarction within 6 months, congestive heart failure within 3 months, significant arrhythmias, or QTc prolongation. The primary endpoint was the rate of confirmed complete cytogenetic response (CCyR) within 12 months. Confirmed CCyR was defined as a CCyR noted on two consecutive occasions (at least 28 days apart).
Median age was 46 years in the dasatinib group and 49 years in the imatinib groups, with 10% and 11% of patients ≥65 years of age, respectively. There were slightly more male than female patients in both groups (59% vs 41%). Fifty-three percent of all patients were Caucasian and 39% were Asian. At baseline, the distribution of Hasford scores was similar in the dasatinib and imatinib treatment groups (low risk: 33% and 34%; intermediate risk: 48% and 47%; high risk: 19% and 19%, respectively). With a minimum of 12 months follow-up, 85% of patients randomized to dasatinib and 81% of patients randomized to imatinib were still on study.
With a minimum of 24 months follow-up, 77% of patients randomized to dasatinib and 75% of patients randomized to imatinib were still on study and with a minimum of 60 months follow-up, 61% and 62% of patients, respectively, were still on treatment at the time of study closure.
Efficacy results are summarized in Table 16.
Table 16: Efficacy Results in a Randomized Newly Diagnosed Chronic Phase CML Trial
| Dasatinib (n=259) | Imatinib (n=260) | ||
| Confirmed CCyRa | |||
| Within 12 months (95% CI) | 76.8% (71.2 to 81.8) | 66.2% (60.1 to 71.9) | |
| P-value | 0.007* | ||
| Major Molecular Reponseb | |||
| 12 months (95% CI) | 52.1% (45.9 to 58.3) | 33.8% (28.1 to 39.9) | |
| P-value | <0.0001 | ||
| 60 months (95% CI) | 76.4% (70.8 to 81.5) | 64.2% (58.1 to 70.1) |
aConfirmed CCyR is defined as a CCyR noted on two consecutive occasions at least 28 days apart.
bMajor molecular response (at any time) was defined as BCR-ABL ratios ≤ 0.1% by RQ-PCR in peripheral blood samples standardized on the International scale. These are cumulative rates representing minimum follow up for the time frame specified.
*Adjusted for Hasford score and indicated statistical significance at a pre-defined nominal level of significance.
CI = confidence interval.
The confirmed CCyR within 24, 36, and 60 months for dasatinib versus imatinib arms were 80% versus 74%, 83% versus 77%, and 83% versus 79%, respectively. The MMR at 24 and 36 months for dasatinib versus imatinib arms were 65% versus 50% and 69% versus 56%, respectively.
After 60 months follow-up, median time to confirmed CCyR was 3.1 months in 215 dasatinib responders and 5.8 months in 204 imatinib responders. Median time to MMR after 60 months follow-up was 9.3 months in 198 dasatinib responders and 15 months in 167 imatinib responders.
At 60 months, 8 patients (3%) on the dasatinib arm progressed to either accelerated phase or blast crisis while 15 patients (6%) on the imatinib arm progressed to either accelerated phase or blast crisis.
The estimated 60-month survival rates for dasatinib - and imatinib-treated patients were 90.9% (CI: 86.6% to 93.8%) and 89.6% (CI: 85.2% to 92.8%), respectively. Based on data 5 years after the last patient was enrolled in the trial, 83% and 77% of patients were known to be alive in the dasatinib and imatinib treatment groups, respectively, 10% were known to have died in both treatment groups, and 7% and 13% had unknown survival status in the dasatinib and imatinib treatment groups, respectively.
At 60 months follow-up in the dasatinib arm, the rate of MMR at any time in each risk group determined by Hasford score was 90% (low risk), 71% (intermediate risk) and 67% (high risk). In the imatinib arm, the rate of MMR at any time in each risk group determined by Hasford score was 69% (low risk), 65% (intermediate risk), and 54% (high risk).
BCR-ABL sequencing was performed on blood samples from patients in the newly diagnosed trial who discontinued dasatinib or imatinib therapy. Among dasatinib-treated patients the mutations detected were T315I, F317I/L, and V299L.
Dasatinib does not appear to be active against the T315I mutation, based on in vitro data.
14.2 Imatinib-Resistant Or -Intolerant Cml Or Ph+ All In Adults
The efficacy and safety of dasatinib were investigated in adult patients with CML or Ph+ ALL whose disease was resistant to or who were intolerant to imatinib: 1,158 patients had chronic phase CML, 858 patients had accelerated phase, myeloid blast phase, or lymphoid blast phase CML, and 130 patients had Ph+ ALL. In a clinical trial in chronic phase CML, resistance to imatinib was defined as failure to achieve a complete hematologic response (CHR; after 3 months), major cytogenetic response (MCyR; after 6 months), or complete cytogenetic response (CCyR; after 12 months); or loss of a previous molecular response (with concurrent ≥10% increase in Ph+ metaphases), cytogenetic response, or hematologic response. Imatinib intolerance was defined as inability to tolerate 400 mg or more of imatinib per day or discontinuation of imatinib because of toxicity.
Results described below are based on a minimum of 2 years follow-up after the start of dasatinib therapy in patients with a median time from initial diagnosis of approximately 5 years. Across all studies, 48% of patients were women, 81% were white, 15% were black or Asian, 25% were 65 years of age or older, and 5% were 75 years of age or older. Most patients had long disease histories with extensive prior treatment, including imatinib, cytotoxic chemotherapy, interferon, and stem cell transplant. Overall, 80% of patients had imatinib-resistant disease and 20% of patients were intolerant to imatinib. The maximum imatinib dose had been 400 to 600 mg/day in about 60% of the patients and >600 mg/day in 40% of the patients.
The primary efficacy endpoint in chronic phase CML was MCyR, defined as elimination (CCyR) or substantial diminution (by at least 65%, partial cytogenetic response) of Ph+ hematopoietic cells. The primary efficacy endpoint in accelerated phase, myeloid blast phase, lymphoid blast phase CML, and Ph+ ALL was major hematologic response (MaHR), defined as either a CHR or no evidence of leukemia (NEL).
Chronic Phase Cml
Dose-Optimization Trial: A randomized, open-label trial (NCT00123474) was conducted in adult patients with chronic phase CML to evaluate the efficacy and safety of dasatinib administered once daily compared with dasatinib administered twice daily. Patients with significant cardiac diseases, including myocardial infarction within 6 months, congestive heart failure within 3 months, significant arrhythmias, or QTc prolongation were excluded from the trial. The primary efficacy endpoint was MCyR in patients with imatinib-resistant CML. A total of 670 patients, of whom 497 had imatinib-resistant disease, were randomized to the dasatinib 100 mg once-daily, 140 mg once-daily, 50 mg twice-daily, or 70 mg twice-daily group. Median duration of treatment was 22 months.
Efficacy was achieved across all dasatinib treatment groups with the once-daily schedule demonstrating comparable efficacy (non-inferiority) to the twice-daily schedule on the primary efficacy endpoint (difference in MCyR 1.9%; 95% CI [-6.8% to 10.6%]); however, the 100-mg once-daily regimen demonstrated improved safety and tolerability.
Efficacy results are presented in Tables 17 and 18 for adult patients with chronic phase CML who received the recommended starting dose of 100 mg once daily.
| All Patients | 100 mg Once Daily (n=167) |
|---|---|
| a CHR (response confirmed after 4 weeks): WBC ≤ institutional ULN, platelets <450,000/mm3, no blasts or promyelocytes in peripheral blood, <5% myelocytes plus metamyelocytes in peripheral blood, basophils in peripheral blood <20%, and no extramedullary involvement. | |
| b MCyR combines both complete (0% Ph+ metaphases) and partial (>0% to 35%) responses. | |
| Hematologic Response Rate % (95% CI) | |
| CHRa | 92% (86 to 95) |
| Cytogenetic Response Rate % (95% CI) | |
| MCyRb | 63% (56 to 71) |
| CCyR | 50% (42 to 58) |
Table 18: Long-Term MMR of Dasatinib in the Dose Optimization Trial: Adult Patients with Imatinib-Resistant or -Intolerant Chronic Phase CMLa
| Minimum Follow-up Period | |||
2 Years | 5 Years | 7 Years | |
| Major Molecular Responseb % (n/N) | |||
| All Patients Randomized | 34% (57/167) | 43% (71/167) | 44% (73/167) |
| Imatinib-Resistant Patients | 33% (41/124) | 40% (50/124) | 41% (51/124) |
| Imatinib-Intolerant Patients | 37% (16/43) | 49% (21/43) | 51% (22/43) |
a Results reported in recommended starting dose of 100 mg once daily.
b Major molecular response criteria: Defined as BCR-ABL/control transcripts ≤0.1% by RQ-PCR in peripheral blood samples.
Based on data 7 years after the last patient was enrolled in the trial, 44% were known to be alive, 31% were known to have died, and 25% had an unknown survival status.
By 7 years, transformation to either accelerated or blast phase occurred in nine patients on treatment in the 100 mg once-daily treatment group.
Advanced Phase Cml And Ph+ All
Dose-Optimization Trial: One randomized open-label trial (NCT00123487) was conducted in patients with advanced phase CML (accelerated phase CML, myeloid blast phase CML, or lymphoid blast phase CML) to evaluate the efficacy and safety of dasatinib administered once daily compared with dasatinib administered twice daily. The primary efficacy endpoint was MaHR. A total of 611 patients were randomized to either the dasatinib 140 mg once-daily or 70 mg twice-daily group. Median duration of treatment was approximately 6 months for both treatment groups. The once-daily schedule demonstrated comparable efficacy (non-inferiority) to the twice-daily schedule on the primary efficacy endpoint; however, the 140-mg once-daily regimen demonstrated improved safety and tolerability.
Response rates for patients in the 140 mg once-daily group are presented in Table 19.
| 140 mg Once Daily | ||||
|---|---|---|---|---|
| Accelerated (n=158) | Myeloid Blast (n=75) | Lymphoid Blast (n=33) | Ph+ ALL (n=40) | |
| aHematologic response criteria (all responses confirmed after 4 weeks): Major hematologic response: (MaHR) = complete hematologic response (CHR) + no evidence of leukemia (NEL). CHR: WBC ≤ institutional ULN, ANC ≥1,000/mm3, platelets ≥100,000/mm3, no blasts or promyelocytes in peripheral blood, bone marrow blasts ≤5%, <5% myelocytes plus metamyelocytes in peripheral blood, basophils in peripheral blood <20%, and no extramedullary involvement. NEL: same criteria as for CHR but ANC ≥500/mm3 and <1,000/mm3, or platelets ≥20,000/mm3and ≤100,000/mm3. | ||||
| bMCyR combines both complete (0% Ph+ metaphases) and partial (>0% to 35%) responses. | ||||
| CI = confidence interval ULN = upper limit of normal range. | ||||
| MaHRa | 66% | 28% | 42% | 38% |
| (95% CI) | (59 to 74) | (18 to 40) | (26 to 61) | (23 to 54) |
| CHRa | 47% | 17% | 21% | 33% |
| (95% CI) | (40 to 56) | (10 to 28) | (9 to 39) | (19 to 49) |
| NELa | 19% | 11% | 21% | 5% |
| (95% CI) | (13 to 26) | (5 to 20) | (9 to 39) | (1 to 17) |
| MCyRa | 39% | 28% | 52% | 70% |
| (95% CI) | (31 to 47) | (18 to 40) | (34 to 69) | (54 to 83) |
| CCyRb | 32% | 17% | 39% | 50% |
| (95% CI) | (25 to 40) | (10 to 28) | (23 to 58) | (34 to 66) |
In the dasatinib 140 mg once-daily group, the median time to MaHR was 1.9 months (min-max: 0.7 to 14.5) for patients with accelerated phase CML, 1.9 months (min-max: 0.9 to 6.2) for patients with myeloid blast phase CML, and 1.8 months (min-max: 0.9 to 2.8) for patients with lymphoid blast phase CML.
In patients with myeloid blast phase CML, the median duration of MaHR was 8.1 months (min-max: 2.7 to 21.1) and 9 (min-max: 1.8 to 23.1) months for the 140 mg once-daily group and the 70 mg twice-daily group, respectively. In patients with lymphoid blast phase CML, the median duration of MaHR was 4.7 months (min-max:3 to 9) and 7.9 months (min-max:1.6 to 22.1) for the 140 mg once-daily group and the 70 mg twice-daily group, respectively. In patients with Ph+ ALL who were treated with dasatinib 140 mg once-daily, the median duration of MaHR was 4.6 months (min-max:1.4 to 10.2). The medians of progression-free survival for patients with Ph+ ALL treated with dasatinib 140 mg once-daily and 70 mg twice-daily were 4 months (min-max:0.4 to 11.1) and 3.1 months (min-max:0.3 to 20.8), respectively.
14.3 Cml In Pediatric Patients
The efficacy of dasatinib in pediatric patients was evaluated in two pediatric studies of 97 patients with chronic phase CML. Among 97 patients with chronic phase CML treated in two pediatric studies, an open-label, non-randomized dose-ranging trial (NCT00306202) and an open-label, non-randomized, single-arm trial (NCT00777036), 51 patients (exclusively from the single-arm trial) had newly diagnosed chronic phase CML and 46 patients (17 from the dose-ranging trial and 29 from the single-arm trial) were resistant or intolerant to previous treatment with imatinib. Ninety-one of the 97 pediatric patients were treated with dasatinib tablets 60 mg/m2 once daily (maximum dose of 100 mg once daily for patients with high BSA). Patients were treated until disease progression or unacceptable toxicity.
Baseline demographic characteristics of the 46 imatinib resistant or intolerant patients were: median age 13.5 years (range 2 to 20 years), 78.3% White, 15.2% Asian, 4.4% Black, 2.2% other, and 52% female. Baseline characteristics of the 51 newly diagnosed patients were: median age 12.8 years (range 1.9 to 17.8 years), 60.8% White, 31.4% Asian, 5.9% Black, 2% Other, and 49% female.
Median duration of follow-up was 5.2 years (range 0.5 to 9.3 years) for the imatinib resistant or intolerant patients and 4.5 years (range 1.3 to 6.4 years) for the newly diagnosed patients, respectively. Efficacy results for the two pediatric studies are summarized in Table 20.
Table 20 shows increasing trend for response for CCyR, MCyR, and MMR across time (3 months to 24 months). The increasing trend in response for all three endpoints is seen in both the newly diagnosed and imatinib resistant or intolerant patients.
Table 20: Efficacy of Dasatinib in Pediatric Patients with CP-CML Cumulative Response Over Time by Minimum Follow-Up Period
| 3 months | 6 months | 12 months | 24 months | |
| CCyR (95% CI) | ||||
| Newly diagnosed (N = 51)a | 43.1% (29.3, 57.8) | 66.7% (52.1, 79.2) | 96.1% (86.5, 99.5) | 96.1% (86.5, 99.5) |
| Prior imatinib (N = 46)b | 45.7% (30.9, 61.0) | 71.7% (56.5, 84.0) | 78.3% (63.6, 89.1) | 82.6% (68.6, 92.2) |
| MCyR (95% CI) | ||||
| Newly diagnosed (N = 51)a | 60.8% (46.1, 74.2) | 90.2% (78.6, 96.7) | 98.0% (89.6, 100) | 98.0% (89.6, 100) |
| Prior imatinib (N = 46)b | 60.9% (45.4, 74.9) | 82.6% (68.6, 92.2) | 89.1% (76.4, 96.4) | 89.1% (76.4, 96.4) |
| MMR (95% CI) | ||||
| Newly diagnosed (N = 51)a | 7.8% (2.2, 18.9) | 31.4% (19.1, 45.9) | 56.9% (42.2, 70.7) | 74.5% (60.4, 85.7) |
| Prior imatinib (N = 46)b | 15.2% (6.3, 28.9) | 26.1% (14.3, 41.1) | 39.1% (25.1, 54.6) | 52.2% (36.9, 67.1) |
aPatients from pediatric study of newly diagnosed CP-CML receiving oral tablet formulation
bPatients from pediatric studies of imatinib-resistant or -intolerant CP-CML receiving oral tablet formulation
With a median follow-up of 4.5 years in newly diagnosed patients, the median durations of CCyR, MCyR, MMR could not be estimated as more than half of the responding patients had not progressed at the time of data cut-off. Range of duration of response was (2.5+ to 66.5+ months for CCyR), (1.4 to 66.5+ months for MCyR), and (5.4+ to 72.5+ months for subjects who achieved MMR by month 24 and 0.03+ to 72.5+ months for subjects who achieved MMR at any time), where ‘+’ indicates a censored observation.
With a median follow-up of 5.2 years in imatinib-resistant or - intolerant patients, the median durations of CCyR, MCyR, and MMR could not be estimated as more than half the responding patients had not progressed at the time of data cut-off. Range of duration of response was (2.4 to 86.9+ months for CCyR), (2.4 to 86.9+ months for MCyR), and (2.6+ to 73.6+ months for MMR), where ‘+’ indicates a censored observation.
The median time to response for MCyR was 2.9 months (95% CI: 2.8 months, 3.5 months) in the pooled imatinib-resistant/intolerant CP-CML patients. The median time to response for CCyR was 3.3 months (95% CI: 2.8 months, 4.7 months) in the pooled imatinib-resistant/intolerant CP-CML patients. The median time to response for MMR was 8.3 months (95% CI: 5 months, 11.8 months) in the pooled imatinib- resistant/intolerant CP-CML patients.
The median time to response for MCyR was 3 months (95% CI: 2.8 months, 4.3 months) in the newly diagnosed treatment-naïve CP-CML patients. The median time to response for CCyR was 5.5 months (95% CI: 3 months, 5.7 months) in the newly diagnosed treatment-naïve CP-CML patients. The median time to response for MMR was 8.9 months (95% CI: 6.2 months, 11.7 months) in the newly diagnosed treatment-naïve CP-CML patients.
In the Phase II pediatric study, 1 newly diagnosed patient and 2 imatinib-resistant or -intolerant patients progressed to blast phase CML.
14.4 Ph+ All In Pediatric Patients
The efficacy of dasatinib tablets in combination with chemotherapy was evaluated in a single cohort (cohort 1) of Study CA180372 (NCT01460160), a multicenter, multiple-cohort study of pediatric patients with newly diagnosed B-cell precursor Ph+ ALL. The 78 patients in cohort 1 received dasatinib tablets at a daily dose of 60 mg/m2 for up to 24 months, in combination with chemotherapy. The backbone chemotherapy regimen was the AIEOP-BFM ALL 2,000 multi-agent chemotherapy protocol.
Patients had a median age of 10.4 years (range 2.6 to 17.9 years) and included 20 patients (25%) 2 to 6 years of age, 37 patients (46%) 7 to 12 years of age, and 24 patients (30%) 13 to 17 years of age. Eighty-two percent of patients were white, and 55% were male. Thirty-two patients (41%) had a white blood cell count (WBC) of ≥50,000 mcl at diagnosis, and 17 patients (22%) had extramedullary disease.
Efficacy was established on the basis of 3-year event-free survival (EFS), defined as the time from the start of dasatinib tablets to lack of complete response at the end of the third high risk block, relapse, secondary malignancy, or death from any cause. The 3-year EFS binary rate for patients on Study CA180372 was 64.1% (95% CI: 52.4, 74.7). At the end of induction, 75 patients (96%) had a bone marrow with <5% lymphoblasts, and 76 patients (97%) achieved this by the end of consolidation.
15 References
1. http://www.osha.gov/SLTC/hazardousdrugs/index.html
17 Patient Counseling Information
Advise the patient to read the FDA-approved patient labeling (Patient Information).
Myelosuppression
Inform patients of the possibility of developing low blood cell counts. Advise patients to immediately report fever particularly in association with any suggestion of infection [see Warnings and Precautions (5.1)].
Bleeding
Inform patients of the possibility of serious bleeding and to report immediately any signs or symptoms suggestive of hemorrhage (unusual bleeding or easy bruising) [see Warnings and Precautions (5.2)].
Fluid Retention
Patients should be informed of the possibility of developing fluid retention (swelling, weight gain, dry cough, chest pain on respiration, or shortness of breath) and advised to seek medical attention promptly if those symptoms arise [see Warnings and Precautions (5.3)].
Cardiovascular Toxicity
Inform patients of the possibility of developing cardiovascular toxicity, including cardiac ischemic events, cardiac-related fluid retention, conduction abnormalities, and TIAs. Advise patients to seek immediate medical attention if symptoms suggestive of cardiovascular toxicity occur, such as chest pain, shortness of breath, palpitations, transient vision problems, or slurred speech [see Warnings and Precautions (5.4)].
Pulmonary Arterial Hypertension
Inform patients of the possibility of developing pulmonary arterial hypertension (dyspnea, fatigue, hypoxia, and fluid retention) and advise them to seek medical attention promptly if those symptoms arise [see Warnings and Precautions (5.5)].
Tumor Lysis Syndrome
Inform patients to immediately report and seek medical attention for any symptoms such as nausea, vomiting, weakness, edema, shortness of breath, muscle cramps, and seizures, which may indicate tumor lysis syndrome [see Warnings and Precautions (5.8)].
Growth and Development in Pediatric Patients
Inform pediatric patients and their caregivers of the possibility of developing bone growth abnormalities, bone pain, or gynecomastia and advise them to seek medical attention promptly if those symptoms arise [see Warnings and Precautions (5.10)].
Embryo-Fetal Toxicity
- Advise pregnant women of the potential risk to a fetus [see Warnings and Precautions (5.9) and Use in Specific Populations (8.1)].
- Advise females of reproductive potential and males with female partners of reproductive potential to use effective contraception during treatment with dasatinib and for 30 days after the last dose.
- Advise females to contact their healthcare provider if they become pregnant, or if pregnancy is suspected, while taking dasatinib [see Warnings and Precautions (5.9) and Use in Specific Populations (8.1, 8.3)].
- Advise women that breastfeeding is not recommended during treatment with dasatinib and for 2 weeks after the final dose [see Use in Specific Populations (8.2)].
- Missed Dose
Advise patients that if they miss a dose of dasatinib, they should take the next scheduled dose at its regular time. The patient should not take two doses at the same time.
- Grapefruit Juice
Advise patients not to drink grapefruit juice as it may increase the amount of dasatinib in their blood and therefore increase their risk of adverse reactions.
Lactation
Gastrointestinal Complaints
Inform patients that they may experience nausea, vomiting, or diarrhea with dasatinib. Advise patients to seek medical attention if these symptoms are bothersome or persistent.
Advise patients using antacids to avoid taking dasatinib and antacids less than 2 hours apart [see Drug Interactions (7.1)].
Pain
Inform patients that they may experience headache or musculoskeletal pain with dasatinib. Advise patients to seek medical attention if these symptoms are bothersome or persistent.
Fatigue
Inform patients that they may experience fatigue with dasatinib. Advise patients to seek medical attention if this symptom is bothersome or persistent.
Rash
Inform patients that they may experience skin rash with dasatinib. Advise patients to seek medical attention if this symptom is bothersome or persistent.
Lactose
Inform patients that dasatinib contains 135 mg of lactose monohydrate in a 100-mg daily dose and 189 mg of lactose monohydrate in a 140-mg daily dose.
Hepatotoxicity
Advise patients that dasatinib tablets can cause hepatotoxicity and that patients with previous history of liver diseases may be at risk. Advise patients to seek immediate medical attention if any symptoms suggestive of hepatotoxicity occur, such as abdominal pain, jaundice and scleral icterus, anorexia, bleeding, bruising, and dark-colored urine [see Warnings and Precautions (5.11)].
Instructions for Taking Dasatinib Tablets
APOTEX INC.
DASATINIB TABLETS
20 mg, 50 mg, 70 mg and 100 mg
| Manufactured by Apotex Inc. Toronto, Ontario Canada M9L 1T9 | Manufactured for Apotex Corp. Weston, Florida USA, 33326 |
Revision 15
Patient Information
Dasatinib
(da-SA-ti-nib)
Tablets
What are dasatinib tablets?
Dasatinib tablets are a prescription medicine used to treat:
- adults with newly diagnosed Philadelphia chromosome-positive (Ph+) chronic myeloid leukemia (CML) in chronic phase.
- adults with Ph+ CML who no longer benefit from, or did not tolerate, other treatment, including imatinib.
- adults with Ph+ acute lymphoblastic leukemia (Ph+ ALL) who no longer benefit from, or did not tolerate, other treatment.
- children 1 year of age and older with Ph+ CML in chronic phase.
- children 1 year of age and older with newly diagnosed Ph+ ALL in combination with chemotherapy.
- have problems with your immune system
- have heart problems, including a condition called congenital long QT syndrome
- have low potassium or low magnesium levels in your blood
- have liver problems
- are lactose (milk sugar) intolerant
- are pregnant or plan to become pregnant. Dasatinib can harm your unborn baby.
Females who can become pregnant:
- You should not become pregnant during treatment with dasatinib tablets.
- You should use effective birth control (contraception) during treatment and for 30 days after your last dose of dasatinib tablets.
- Talk to your healthcare provider right away if you become pregnant or think you may be pregnant during treatment with dasatinib tablets. Males with female partners who can become pregnant:
- You should use effective birth control (contraception) during treatment and for 30 days after your last dose of dasatinib tablets.
- Your female partner should call her healthcare provider if she becomes pregnant or thinks she is pregnant during your treatment with dasatinib tablets.
- are breastfeeding or plan to breastfeed. It is not known if dasatinib passes into your breast milk. You should not breastfeed during treatment and for 2 weeks after your last dose of dasatinib tablets.
- Take dasatinib tablets exactly as your healthcare provider tells you to take it.
- Your healthcare provider may change your dose of dasatinib tablets or temporarily stop treatment with dasatinib tablets. Do not change your dose or stop taking dasatinib tablets without first talking to your healthcare provider.
- Take dasatinib tablet 1 time a day.
- Take dasatinib tablets with or without food, either in the morning or in the evening.
- Swallow dasatinib tablets whole. Do not crush, cut or chew the tablets.
- If your child cannot swallow tablets whole, talk with your healthcare provider.
- You should not drink grapefruit juice during treatment with dasatinib tablets.
- If you miss a dose of dasatinib tablets, take your next scheduled dose at your regular time. Do not take two doses at the same time.
- If you take too much dasatinib tablets, call your healthcare provider or go to the nearest hospital emergency room right away.
- Low blood cell counts. Low blood cell counts are common with dasatinib tablets and can be severe, including low red blood cell counts (anemia), low white blood cell counts (neutropenia), and low platelet counts (thrombocytopenia). Your healthcare provider will do blood tests to check your blood cell counts regularly during your treatment with dasatinib tablets. Call your healthcare provider right away if you have a fever or any signs of an infection during treatment with dasatinib tablets.
- Bleeding problems. Bleeding problems are common with dasatinib tablets. Sometimes these bleeding problems can be serious and lead to death. Call your healthcare provider right away if you have:
- unusual bleeding or bruising of your skin
- bright red or dark tar-like stools
- decreased alertness, headache, or change in speech
- Your body may hold too much fluid (fluid retention). Fluid retention is common with dasatinib tablets and can sometimes be severe. In severe cases, fluid may build up in the lining of your lungs, the sac around your heart, or your stomach cavity. Call your healthcare provider right away if you get any of these symptoms during treatment with dasatinib tablets:
- swelling all over your body
- weight gain
- shortness of breath, especially if this happens with low levels of physical activity or at rest
- dry cough
- chest pain when taking a deep breath
- Heart and blood vessel (cardiovascular) problems. Dasatinib tablets may cause heart problems, including an abnormal heart rate, a heart attack, or small strokes that last only a few minutes or a few hours, called transient ischemic attacks (TIAs). TIAs are often a warning sign that you are at risk for a more serious stroke. Your healthcare provider will monitor the potassium and magnesium levels in your blood and your heart function.
Get medical help right away if you develop any of the following symptoms during treatment with dasatinib tablets:- chest pain
- shortness of breath
- feeling like your heart is beating too fast or you feel abnormal heart beats
- vision changes that may last for a short time
- slurred speech
- Pulmonary Arterial Hypertension (PAH). Dasatinib tablets may cause high blood pressure in the vessels of your lungs. PAH may happen at any time during your treatment with dasatinib tablets. Your healthcare provider should check your heart and lungs before and during treatment with dasatinib tablets. Call your healthcare provider right away if you have shortness of breath, tiredness, or swelling all over your body (fluid retention).
- Severe skin reactions. Dasatinib tablets may cause skin reactions that can sometimes be severe. Get medical help right away if you get a skin reaction with fever, sore mouth or throat, or blistering or peeling of your skin or in the mouth.
- Tumor Lysis Syndrome (TLS). TLS is caused by a fast breakdown of cancer cells. TLS can cause you to have kidney failure and the need for dialysis treatment, and an abnormal heartbeat. Your healthcare provider may do blood tests to check you for TLS. Call your healthcare provider or get emergency medical help right away if you develop any of these symptoms during treatment with dasatinib tablets:
- nausea
- shortness of breath
- vomiting
- muscle cramps
- weakness
- seizures
- swelling
- Slowing of growth and development in children. Effects on bone growth and development in children have happened with dasatinib tablets and can sometimes be severe. Your healthcare provider will monitor your child’s bone growth and development during treatment with dasatinib tablets. Get medical help right away if your child develops bone pain.
- Liver problems. Dasatinib tablets can cause liver problems. People who have had liver problems in the past may be at risk for getting liver problems with dasatinib tablets. Your healthcare provider will monitor your liver function as needed during the treatment with dasatinib tablets. Call your healthcare provider or get medical help right away if you develop any symptoms of liver problems, including:
- stomach-area (abdominal) pain
- bleeding
- yellowing of your skin or white part of your eyes
- bruising
- loss of appetite
- dark “tea-colored” urine
- swelling, pain and redness of the lining of your mouth, throat, stomach and bowel (mucositis)
- tiredness
- low white blood cell counts with fever
- fever
- diarrhea
- nausea
- vomiting
- muscle pain
- stomach (abdominal) pain
- cough
- headache
- rash
- constipation
- abnormal heart rate
- high blood pressure (hypertension)
- swelling
- infections
- low blood pressure
- decreased appetite
- allergic reactions
- shortness of breath
- nose bleed
- numbness or tingling of your hands and feet
- feeling confused or disoriented
- Store dasatinib tablets at room temperature between 68°F to 77°F (20°C to 25°C).
- Ask your healthcare provider or pharmacist about the right way to throw away expired or unused dasatinib tablets.
- Wear latex or nitrile gloves when handling tablets that have accidentally been crushed or broken.
- Females who are pregnant should not handle crushed or broken dasatinib tablets.
It is not known if dasatinib tablets are safe and effective in children under 1 year of age.
Before taking dasatinib tablets, tell your healthcare provider about all of your medical conditions, including if you:
Tell your healthcare provider about all the medicines you take, including prescription and over-the-counter medicines, vitamins, antacids, and herbal supplements. If you take an antacid medicine, take it 2 hours before or 2 hours after your dose of dasatinib tablets.
How should I take dasatinib tablets?
What are the possible side effects of dasatinib tablets?
Dasatinib tablets may cause serious side effects, including:
The most common side effects of dasatinib tablets in adults and children receiving dasatinib tablets alone include:
| • diarrhea | • tiredness |
| • headache | • nausea |
| • skin rash | • muscle pain |
| • shortness of breath |
The most common side effects of dasatinib tablets in children receiving dasatinib tablets with chemotherapy include:
Dasatinib tablets may cause fertility problems in males and females. Talk to your healthcare provider if this is a concern for you.
Tell your healthcare provider if you have any side effect that bothers you or that does not go away.
These are not all of the possible side effects of dasatinib. Call your doctor for medical advice about side effects. You may report side effects to FDA at 1-800-FDA-1088.
How should I store dasatinib tablets?
Keep dasatinib tablets and all medicines out of the reach of children.
General information about the safe and effective use of dasatinib tablets
Medicines are sometimes prescribed for purposes other than those listed in a Patient Information leaflet. Do not use dasatinib tablets for a condition for which it is not prescribed. Do not give dasatinib tablets to other people even if they have the same symptoms you have. It may harm them.
You can ask your healthcare provider or pharmacist for information about dasatinib that is written for health professionals.
For more information, go to www.apotex.com or call Apotex Corp at 1-800-706-5575
What are the ingredients in dasatinib tablets?
Active ingredient: dasatinib
Inactive ingredients: colloidal silicon dioxide, croscarmellose sodium, lactose monohydrate, magnesium stearate and microcrystalline cellulose. The tablet coating consists of hydroxypropyl cellulose, hypromellose, titanium dioxide and triethyl citrate.
This Patient Information has been approved by the U.S. Food and Drug Administration.
APOTEX INC.
DASATINIB TABLETS
20 mg, 50 mg, 70 mg and 100 mg
| Manufactured by | Manufactured for |
| Apotex Inc. | Apotex Corp |
| Toronto, Ontario | Weston, Florida |
| Canada M9L 1T9 | USA, 33326 |
Revised: September 2024
Revision 15
Principal Display Panel 20 Mg
APOTEX CORP. NDC 60505-3628-6
Dasatinib Tablets
Each film coated tablet contains dasatinib equivalent to 20 mg.
20 mg
Rx only
60 Tablets
Principal Display Panel 50 Mg
APOTEX CORP. NDC 60505-3629-6
Dasatinib Tablets
Each film coated tablet contains dasatinib equivalent to 50 mg.
50 mg
Rx only
60 Tablets
Principal Display Panel 70 Mg
APOTEX CORP. NDC 60505-3630-6
Dasatinib Tablets
Each film coated tablet contains dasatinib equivalent to 70 mg.
70 mg
Rx only
60 Tablets
Principal Display Panel 100 Mg
PACKAGE LABEL - PRINCIPAL DISPLAY PANEL - 100 MG LABEL
APOTEX CORP. NDC 60505-3631-3
Dasatinib Tablets
Each film coated tablet contains dasatinib equivalent to 100 mg.
100 mg
Rx only
30 Tablets
* Please review the disclaimer below.




