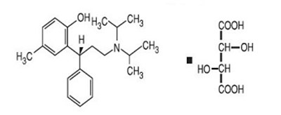
Product Images Tolterodine Tartrate

View Photos of Packaging, Labels & Appearance

Product Label Images

The following 7 images provide visual information about the product associated with Tolterodine Tartrate NDC 60687-319 by American Health Packaging, such as packaging, labeling, and the appearance of the drug itself. This resource could be helpful for medical professionals, pharmacists, and patients seeking to verify medication information and ensure they have the correct product.

812c8595 ea0c 6ab4 e053 2a91aa0ab89b

812c8595 ea0c 6ab4 e053 2a91aa0ab89b

812c8595 ea0d 6ab4 e053 2a91aa0ab89b

812c8595 ea0d 6ab4 e053 2a91aa0ab89b

image 01

image 01

image 02

image 02

This is a description of a medication with the NDC code 60687-319-21. The medication is tolterodine tartrate, which comes in the form of extended-release capsules made by Axony. The package contains 30 capsules (3 x 10), and must be dispensed with the accompanying patient information sheet by the pharmacist. The recommended dosage is not provided in the text. It should be stored at a temperature between 20°C to 25°C (68°F to 77°F), with excursions permitted between 15°C to 50°C (59°F to 85°F). The medication should be protected from light and kept away from children. The package was distributed by American Health Packaging in Columbus, Ohio.*

image 03

image 03

image 04

image 04

This is a medication with the National Drug Code 60687-330-21. It is Tolterodine Tartrate in the form of extended-release capsules. It comes in a pack of 30 capsules (3x 10) for prescription only use. The medication is typically prescribed in dosages provided in the package insert. It should be stored at a temperature between 20°C and 25°C (66°F to 77°F) with protection from light. This drug should be kept away from children and should not be used if the seal is broken. It has been distributed by American Health Packaging in Columbus, Ohio. A patient information sheet is included with each package.*

image 05

image 05

* The product label images have been analyzed using a combination of traditional computing and machine learning techniques. It should be noted that the descriptions provided may not be entirely accurate as they are experimental in nature. Use the information in this page at your own discretion and risk.