Product Images Clonidine Hydrochloride
View Photos of Packaging, Labels & Appearance
Product Label Images
The following 6 images provide visual information about the product associated with Clonidine Hydrochloride NDC 60687-462 by American Health Packaging, such as packaging, labeling, and the appearance of the drug itself. This resource could be helpful for medical professionals, pharmacists, and patients seeking to verify medication information and ensure they have the correct product.
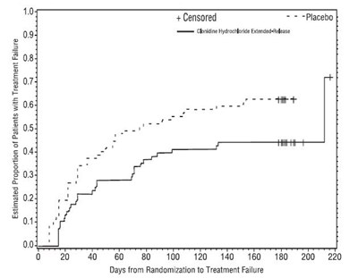
Figure 2: Kaplan-Meier Estimation of Cumulative Proportion of Patients with Treatment Failure (Study 3) - Figure 2

This appears to be a graph displaying the proportion of patients with treatment failure over time, comparing a censored treatment with a placebo treatment. The graph shows the number of days from randomization to treatment failure, ranging from 0 to 220. The text seems to reference a drug called Chnidn Hyrochlorde ExandadAcase, which may be a misspelling.*
image 01

Clonidine Hydrochloride Extended Release Tablets are prescription medicine in the form of 30 tablets used for treating high blood pressure conditions. Each tablet contains 0.1 mg Cloridine, Hycrochioride, USP equivalent to 0,087 mg Clonidine. Tablets must be swallowed whole and never crushed, cut, or chewed. These tablets are for use only by prescription and require appropriate dosage as per package insert for complete prescribing information. The product is distributed by American Hodih Packaging, Columbus, Ohio 43517.*
image 02

This is a list of medications containing Clonidine Hydrochloride. The medications come in tablet form with a concentration of either 0.1 mg or 0.4 mg. Some of the tablets feature an extended-release formula. There are also lot and expiry numbers included with each medication.*
* The product label images have been analyzed using a combination of traditional computing and machine learning techniques. It should be noted that the descriptions provided may not be entirely accurate as they are experimental in nature. Use the information in this page at your own discretion and risk.