Product Images Nadolol

View Photos of Packaging, Labels & Appearance

Product Label Images

The following 7 images provide visual information about the product associated with Nadolol NDC 60687-898 by American Health Packaging, such as packaging, labeling, and the appearance of the drug itself. This resource could be helpful for medical professionals, pharmacists, and patients seeking to verify medication information and ensure they have the correct product.

AHP88721

AHP88721

AHP89821

AHP89821

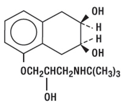
chemical structure - image 01

chemical structure - image 01

This appears to be a chemical formula with the components OCH, CHCHaNHC(CH3)3, and OH. It may represent a compound or molecule containing these elements.*

20 mg Nadolol Tablets Carton - image 02

20 mg Nadolol Tablets Carton - image 02

This is a description of a medication called Nadolol in tablet form. Each tablet contains 20mg of Nadolol. The usual dosage and prescribing information should be followed. It is recommended to store the tablets at room temperature and protect them from excessive heat and light. The tablets should not be used if the packaging is damaged. The medication is distributed by American Health Packaging.*

20 mg Nadolol Tablet Blister - image 03

20 mg Nadolol Tablet Blister - image 03

40 mg Nadolol Tablets Carton - image 04

40 mg Nadolol Tablets Carton - image 04

This is a description for Nadolol tablets, USP, with NDC 60687-898-21. Each tablet contains 40mg of Nadolol, with a usual dosage as per prescribing information. The tablets come in a pack of 30 (3 x 10) meant for prescription only. It is advised to store the tablets at room temperature, avoiding excessive heat and sunlight. The package is distributed by American Health Packaging, Columbus. Additional details and usage instructions can be found on the packaging.*

40 mg Nadolol Tablet Blister - image 05

40 mg Nadolol Tablet Blister - image 05

* The product label images have been analyzed using a combination of traditional computing and machine learning techniques. It should be noted that the descriptions provided may not be entirely accurate as they are experimental in nature. Use the information in this page at your own discretion and risk.