Product Images Lisinopril

View Photos of Packaging, Labels & Appearance

Product Label Images

The following 2 images provide visual information about the product associated with Lisinopril NDC 60760-358 by St. Mary's Medical Park Pharmacy, such as packaging, labeling, and the appearance of the drug itself. This resource could be helpful for medical professionals, pharmacists, and patients seeking to verify medication information and ensure they have the correct product.

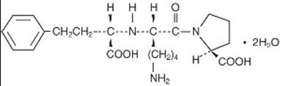
Chemical Structure - e299d477 a612 4af4 b6aa f5addc8a736d 01

Chemical Structure - e299d477 a612 4af4 b6aa f5addc8a736d 01

lisinopril 60760 358 90

lisinopril 60760 358 90

This looks like a prescription label for Lisinopril tablets, with varying dosages and quantities. There are several different lot numbers and expiration dates listed, and the manufacturer is identified as Zhejiang Huahai Pharmaceutical Co., Ltd in China. The medication should be used as directed and stored at controlled room temperatures.*

* The product label images have been analyzed using a combination of traditional computing and machine learning techniques. It should be noted that the descriptions provided may not be entirely accurate as they are experimental in nature. Use the information in this page at your own discretion and risk.