Product Images Pregabalin

View Photos of Packaging, Labels & Appearance

Product Label Images

The following 14 images provide visual information about the product associated with Pregabalin NDC 60760-509 by St Mary's Medical Park Pharmacy, such as packaging, labeling, and the appearance of the drug itself. This resource could be helpful for medical professionals, pharmacists, and patients seeking to verify medication information and ensure they have the correct product.

PRE - PREGABALIN 60760 509 60

PRE - PREGABALIN 60760 509 60

This is a description for a medication called Pregabalin, presented in capsule form and containing 300mg. The medication is packed with 60 capsules, and it was manufactured by ScieGen Pharmaceuticals in Hauppauge, NY 11788, with packaging done at St. Mary's in Oro Valley, AZ 85737. The medication is suggested to be used as directed, and the information provides an Rx number, lot number, and expiration date.*

Figure 1 - pregabalin fig01

Figure 1 - pregabalin fig01

The description is: Percent of Patients Improved: 8 8 8 8 8 3 88 8 3 o 3 v Shemmm it @ 2 2o 2 20 20 2 20 W. Percent Improvement in Pain from Baseline.*

Figure 2 - pregabalin fig02

Figure 2 - pregabalin fig02

The text shows a chart or table indicating the percentage of patients who improved after taking Pregabalin 160 mg three times a day for three days. There is also a measurement of improvement in pain from a baseline, which is not clearly defined. It is unclear what the numbers "2w 220 23 20 280 2 20 2w 23w" represent.*

Figure 3 - pregabalin fig03

Figure 3 - pregabalin fig03

Figure 4 - pregabalin fig04

Figure 4 - pregabalin fig04

Figure 5 - pregabalin fig05

Figure 5 - pregabalin fig05

The text seems to be a table showing the dosage and improvement in pain for patients taking Fregabalin, Pregataiin, and a Placebo for three times a day. The improvement percentages are shown in the last row of the table.*

Figure 6 - pregabalin fig06

Figure 6 - pregabalin fig06

This appears to be a table or graph with multiple rows and columns containing figures for different studies with different dosages of an unknown medication. There is a mention of "statistically significant vs. placebo." The text may not be helpful without more context or information.*

Figure 7 - pregabalin fig07

Figure 7 - pregabalin fig07

Figure 9 - pregabalin fig08

Figure 9 - pregabalin fig08

The text shows a graph indicating the percentage of patients who improved their pain levels after taking either a daily dose of Pregabalin at 300mg or 450mg, or a placebo. The x-axis shows the range of percentage improvement in pain from baseline, while the y-axis shows the percentage of patients who improved. There is not enough context to determine what the baseline was or the purpose of the study.*

Figure 10 - pregabalin fig09

Figure 10 - pregabalin fig09

This appears to be a graph showing estimated percentages of subjects without LTR (not sure what that stands for) for a drug called Progabain and a placebo. The x-axis shows the number of days (up to 180), while the y-axis shows the percentage of subjects.*

Figure 11 - pregabalin fig10

Figure 11 - pregabalin fig10

Figure 12 - pregabalin fig11

Figure 12 - pregabalin fig11

This appears to be a table displaying the percentage of subjects improved after 16 weeks of a treatment, possibly involving pregabalin and a placebo. The percentages are shown on the vertical axis, starting at 100 and increasing in intervals of 10 until reaching 280. The horizontal axis displays increments of 10 from 210 to 270. There is not enough information to determine the exact nature of the subjects or the treatment being evaluated.*

Cockcroft and Gault equation - pregabalin formula

Cockcroft and Gault equation - pregabalin formula

This text appears to be a formula used for calculating CLCT (Creatinine clearance) based on a patient's age, weight, and serum creatinine levels. The formula is different for female patients, as the result needs to be multiplied by 0.85. However, it is difficult to provide further information without additional context about the purpose of this calculation.*

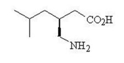
Chemical Structure - pregabalin str

Chemical Structure - pregabalin str

* The product label images have been analyzed using a combination of traditional computing and machine learning techniques. It should be noted that the descriptions provided may not be entirely accurate as they are experimental in nature. Use the information in this page at your own discretion and risk.