Product Images Doxycycline Hyclate
View Photos of Packaging, Labels & Appearance
Product Label Images
The following 2 images provide visual information about the product associated with Doxycycline Hyclate NDC 60760-651 by St. Mary's Medical Park Pharmacy, such as packaging, labeling, and the appearance of the drug itself. This resource could be helpful for medical professionals, pharmacists, and patients seeking to verify medication information and ensure they have the correct product.
Doxycycline hyclate tablets - 8eb5f1eb d021 4c1d bbdb 0685b46c5d3a 01

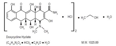
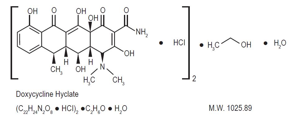
Doxycycline Hyclate is a chemical compound with a molecular formula of (C,H,N,O, @ HCI), «C H.O H,O and a molecular weight of 1025.89.*
651-60 - DOXYCYCLINE 651 60

This is a prescription drug bottle label. It contains information such as the drug name, strength, usage instructions, quantity, lot number, and expiration date. The medication is Doxycycline Hyclate in tablet form with 100mg strength. The bottle contains 60 tablets, and the National Drug Code (NDC) is 60760-651-60. The label also contains information on the pharmacy that manufactured and packaged the drug.*
* The product label images have been analyzed using a combination of traditional computing and machine learning techniques. It should be noted that the descriptions provided may not be entirely accurate as they are experimental in nature. Use the information in this page at your own discretion and risk.